Home : Maplesoft Products : Maple 18 : New Features in Maple 18 : Student "Basics" Package

Student "Basics" Package

The new Student Basics package helps to explore the foundations of higher math, making it possible to provide step-by-step breakdowns for expanding and simplifying mathematical expressions, such as simplifying fractions, expanding products of polynomials, or solving linear equations. All the steps to the solution are shown and documented, so that a student can easily understand what is happening. Students can use this package to understand where results are coming from and learn how to solve these problems on their own.

Here are 101 interesting examples showing the steps involved to solve or expand:

with(Student:-Basics); -1 

LinearSolveSteps(`+`(x, 3) = 8, x); 1 

 

LinearSolveSteps(`+`(`*`(5, `*`(x)), `-`(2)) = 13, x); 1 

 

LinearSolveSteps( 

 

 

 

 

 

LinearSolveSteps( 

 

LinearSolveSteps( 

 

LinearSolveSteps( 

 

LinearSolveSteps( 

 

LinearSolveSteps(`+`(`*`(`^`(y, 2)), x) = 12, x); 1 

 

LinearSolveSteps(`*`(`+`(`*`(`^`(x, 2)), `*`(`^`(y, 2))), `/`(1, 4)) = `+`(`*`(`/`(1, 4), `*`(`^`(x, 2))), `-`(`*`(2, `*`(x))), 14), x) 

 

LinearSolveSteps( 

 

LinearSolveSteps( 

 

LinearSolveSteps( 

 

LinearSolveSteps( 

 

LinearSolveSteps( 

 

LinearSolveSteps( 

 

 

 

LinearSolveSteps( 

 

LinearSolveSteps( 

 

LinearSolveSteps( 

 

LinearSolveSteps( 

 

LinearSolveSteps( 

 

LinearSolveSteps( 

 

LinearSolveSteps(`/`(`*`(y), `*`(`+`(x, 2))) = 1, x); 1 

 

LinearSolveSteps( 

 

LinearSolveSteps( 

 

LinearSolveSteps( 

 

LinearSolveSteps( 

 

 

 

 

 

 

 

 

 

 

 

LinearSolveSteps( 

 

LinearSolveSteps( 

 

LinearSolveSteps( 

 

LinearSolveSteps( 

 

LinearSolveSteps( 

 

LinearSolveSteps(`+`(10, `-`(`*`(3, `*`(x)))) = `/`(`*`(`+`(7, `*`(3, `*`(x)), `-`(`*`(`/`(1, 4), `*`(y))))), `*`(z)), x); 1 

 

LinearSolveSteps(`/`(1, `*`(`+`(x, 2))) = 1, x); 1 

 

LinearSolveSteps(`/`(`*`(x), `*`(`+`(x, 2))) = 1, x); 1 

 

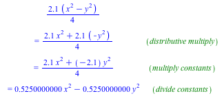
ExpandSteps( 

 

ExpandSteps( 

 

ExpandSteps( 

 

ExpandSteps( 

 

ExpandSteps( 

 

ExpandSteps( 

 

ExpandSteps( 

 

ExpandSteps( 

 

ExpandSteps( 

 

ExpandSteps( 

 

ExpandSteps( 

 

ExpandSteps( 

 

ExpandSteps( 

 

ExpandSteps( 

 

ExpandSteps( 

 

ExpandSteps( 

 

ExpandSteps( 

 

ExpandSteps( 

 

ExpandSteps( 

 

ExpandSteps(`%+`(`%+`(`+`(`*`(9, `*`(`^`(a, 2)))), `+`(`*`(6, `*`(a, `*`(b))))), `%+`(`+`(`*`(6, `*`(a, `*`(b)))), `+`(`*`(4, `*`(`^`(b, 2))))))); 1 

 

ExpandSteps( 

 

ExpandSteps( 

 

ExpandSteps( 

 

ExpandSteps( 

 

ExpandSteps( 

 

ExpandSteps( 

 

ExpandSteps( 

 

ExpandSteps( 

 

ExpandSteps( 

 

ExpandSteps( 

 

ExpandSteps( 

 

ExpandSteps(`*`(`^`(`+`(a, b), 5))); 1 

 

#Note that this could be expanded but the system chooses not to as the output would be excessively large
#(the cut-off is an exponent >= 100)ExpandSteps(`*`(`^`(`+`(a, b), 1000))); 1 

 

ExpandSteps( 

 

ExpandSteps( 

 

ExpandSteps( 

 

ExpandSteps( 

 

ExpandSteps( 

 

ExpandSteps( 

 

ExpandSteps( 

 

ExpandSteps( 

 

ExpandSteps( 

 

ExpandSteps( 

 

ExpandSteps( 

 

ExpandSteps( 

 

ExpandSteps(`%*`(`%*`(3, a), 42)); 1 

 

ExpandSteps( 

 

ExpandSteps( 

 

ExpandSteps( 

 

ExpandSteps( 

 

ExpandSteps( 

 

ExpandSteps( 

 

ExpandSteps( 

 

 

 

ExpandSteps( 

 

ExpandSteps(`/`(`*`(`+`(7, `*`(3, `*`(x)), `-`(`*`(`/`(1, 4), `*`(y))))), `*`(z))); 1 

 

In this example, the input is not quoted so some automatic simplifications happen before ExpandSteps sees the input.

ExpandSteps(`+`(`*`(17, `*`(`^`(x, 4), `*`(`^`(y, 2), `*`(`/`(`+`(`*`(64, `*`(`^`(z, 5))))))))), `/`(`*`(`*`(`+`(`*`(24, `*`(y, `*`(`^`(z, 2), `*`(`/`(`+`(`*`(85, `*`(`^`(x, 2)))))))))), `/`(`*`(`^`(x... 

 

ExpandSteps(`*`(`/`(`*`(`*`(`+`(`*`(17, `*`(`^`(x, 4), `*`(`^`(y, 2), `*`(`/`(`+`(`*`(64, `*`(`^`(z, 5)))))))))), `+`(`*`(24, `*`(y, `*`(`^`(z, 2), `*`(`/`(`+`(`*`(85, `*`(`^`(x, 2))))))))))), `*`(`^`...