Green functions for regular differential operators
by Aleksas Domarkas
Vilnius Lniversity, Faculty of Mathematics and Informatics,
Naugarduko 24, Vilnius, Lithuania
aleksas@ieva.mif.vu.lt
NOTE: In this session we find Green functions for regular differential
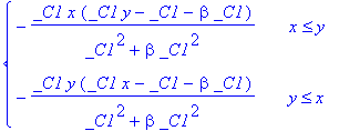
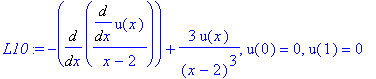
operators Au=-diff(p(x)*diff(u(x),x),x)+q(x)*u(x).
Introduction
Please input number of examples n (1..12) and Execute Worksheet
Operators
Solution
Example
While every effort has been made to validate the solutions in this worksheet, Waterloo Maple Inc. and the contributors are not responsible for any errors contained and are not liable for any damages resulting from the use of this material.
Back to contents