Application Center - Maplesoft

App Preview:

Classroom Tips and Techniques: The Sliding Ladder

You can switch back to the summary page by clicking here.

Learn about Maple
Download Application




 

Classroom Tips and Techniques: The Sliding Ladder

NULL

Robert J. Lopez

Emeritus Professor of Mathematics and Maple Fellow

MaplesoftNULL

``

Introduction

``

A January 10, 2013 post to MaplePrimes asked for an animation of the trajectory traced by the center of a "sliding ladder." A short time later, Adri van der Meer posted a solution. This month's article generalizes that solution to show the trajectory of an arbitrary point on the ladder as its top slides down a vertical wall and its bottom moves away from that wall along an orthogonal "floor." The location of the arbitrary point on the ladder is controlled by a slider, the animation being generated with the updated Explore command.

``

In Adri van der Meer's approach, three separate animations are joined with the display command. The separate animations are for the ladder, the midpoint of the ladder, and for the trajectory of the midpoint. Doug Meade also commented that the animate command could be applied to a function that returned a single frame of desired animation, but did not provide the appropriate function.

 

The work below, along the lines sketched by Doug Meade, shows how to write an appropriate function that animates the motion of the ladder, and displays the trajectory of an arbitrary point on the ladder, with control of the arbitrary point via slider.

``

The Mathematical Model

``

Model a ladder of length L as the line segment between a, 0 and 0, sqrt(L^2-a^2) in the first quadrant of the xy-plane. (See Figure 1.)

 

Let `in`(t, [0, 1]) determine the position of a point on the ladder by writing

 

(Vector(2, {(1) = x, (2) = y})) = (Vector(2, {(1) = a, (2) = 0}))+t((Vector(2, {(1) = 0, (2) = sqrt(L^2-a^2)}))-(Vector(2, {(1) = a, (2) = 0}))) 

 

so x = a*(1-t), y = t*sqrt(L^2-a^2).

p1:=plot([[1,0],[0,2]],style=line,color=black,thickness=3):
p2:=plots:-textplot({[.5,.1,typeset(a)],[.6,1,typeset(L)],[.2,.8,typeset(sqrt(L^2-a^2))]}):
plots:-display(p1,p2,scaling=constrained,tickmarks=[0,0]);

 

Figure 1   Sliding ladder of length L

``

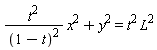
Eliminate a to discover that the orbits of the fixed point lie on the ellipse x^2/(L^2*(1-t)^2)+y^2/(t^2*L^2) = 1. This result is obtained by solving x = a*(1-t) for a = x/(1-t), and substituting for a in y = t*sqrt(L^2-a^2) to obtain the first entry in Table 1. The remaining steps in the calculation are annotated in Table 1.

 

y = t*sqrt(L^2-x^2/(1-t)^2) 

Set a = x/(1-t) in y = t*sqrt(L^2-a^2)

y^2 = t(L^2-x^2/(1-t)^2)^2

Square both sides

t^2*x^2/(1-t)^2+y^2 = t^2*L^2

Add t^2*x^2/(1-t)^2 to both sides

x^2/(L^2*(1-t)^2)+y^2/(t^2*L^2) = 1

Divide both sides by t^2*L^2

Table 1   Calculations showing that the trajectory of a point on a sliding ladder is part of an ellipse

``

The midpoint of the ladder, characterized by t = 1/2, traces the first quadrant portion of the circle

NULL

x^2+y^2 = ((1/2)*L)^2 

 

Table 3 in the Appendix provides an interactive and annotated derivation of the results in Table 1.

 

Visualization

NULL

• 

Figure 2 provides a version of Adri van der Meer's solution for the sliding ladder. The trajectory of the midpoint traces the first-quadrant portion of a circle of radius 1.

• 

The x-coordinate of the bottom of the ladder is given by the value of the parameter p.

• 

Clicking the button "Figure 2" re-initializes the animation.

• 

Click on the graph to access the animation toolbar, in the center of which is a slider that can be used to move through the frames of the animation.

``

   Adri van der Meer's animation for the midpoint of the ladder

 

Doug Meade's suggested applying the animate command to a function whose output was a single frame of the animation. The code in Table 2 defines F(x, t), a function whose output is the single frame of an animation in which an arbitrary point on the ladder is determined by the value of `in`(t, [0, 1]).

 

F := proc (x, t) local a, f, g, h; f := plot([[x, 0], [0, sqrt(1-x^2)]], thickness = 3, color = black); g := plot([[x*(1-t), t*sqrt(1-x^2)]], style = point, symbol = solidcircle, symbolsize = 20, color = green); h := plot([a*(1-t), t*sqrt(1-a^2), a = 0 .. x], color = red); plots:-display(f, g, h, scaling = constrained, view = [0 .. 1, 0 .. 1], tickmarks = [0, 0]) end proc

Table 2   Definition of the function F(x, t) 

NULL

There are several ways to utilize the function F. The older interactiveparams command can be applied to generate a Maplet pop-up with either one or two sliders. With two sliders, the "animation" is executed by moving the slider for x; with one, the animation is auto-executing.

 

Alternatively, the revised Explore command can be applied, this time resulting in embedded components with again, either one or two sliders.

 

Figure 3 illustrates the Maplet pop-up with two sliders; Figure 4, with one slider.

 

• 

In Figure 3, the slider controlling x, the location of the bottom of the ladder, implements the animation. The slider controlling t selects a point on the ladder.

 

• 

The output from this command is deliberately suppressed for several reasons, not the least of which is that the Interactive Parameter Maplet has a tendency to crash Maple when the sliders are moved too quickly or too often.

• 

In Figure 4, the single slider controls t, and hence the location of the fixed point on the Ladder tracing the curve shown in red. The Start button initiates the animation of the sliding ladder.NULL

 

• 

As for Figure 3, the output of the interactiveparams command is suppressed.

 

plots:-interactiveparams(F, [x, t], x = 0 .. 1, t = 0 .. 1)

``

Figure 3   Interactive Parameter Maplet with two sliders

plots:-interactiveparams(animate, [F, [x, t], x = 0 .. 1], t = 0 .. 1)

``

Figure 4   Interactive Parameter Maplet with one slider

 

The equivalent of Figure 3, but with embedded components, is produced by the following application of the (Maple 17) revised Explore command. (The function F must first be defined before the sliders below will work.)

 

Explore(F(x, t), parameters = [t = 0 .. 1., x = 0 .. 1.], initialvalues = [t = .5])

t:

x:

``

The equivalent of Figure 4, but with embedded components, is produced by the following application of the (Maple 17) revised Explore command. (The function F must first be defined before the sliders below will work.)

 

Explore(plots:-animate(F, [x, t], x = 0 .. 1), parameters = [t = 0 .. 1.0], initialvalues = [t = .3])

t:

``

Appendix

NULL

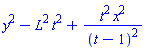
Table 3 provides an interactive and annotated derivation of the implicit form of the trajectory of an arbitrary point on the sliding ladder.

 

• 

Enter the parametric equations for the trajectory and press the Enter key.

• 

Context Menu: Solve_Eliminate a Variable_a

 

 

• 

Context Menu: Select Element_2

 

 

 

• 

Context Menu: Select Element_1

 

 

 

 

• 

Context Menu: Conversions_Equate to 0

 

 

 

• 

Select -y; add y to both sides via Smart PopUp.

 

 

• 

Context Menu: Manipulate Equation
Use Equation Manipulator to square both sides.
Return result.

 

 

• 

Context Menu: Move to Right

 

 

 

• 

Context Menu: Right-hand Side

 

 

• 

Select t^2*L^2-2*L^2*t+L^2 and use the Smart PopUp to factor this to L^2*(t-1)^2.

 

 

• 

Context Menu: Expand_
Holding Unexpanded_(t-1)^2

 

 

 

• 

Context Menu: Conversions_Equate to 0

 

 

 

• 

Select -t^2*L^2; add t^2*L^2 to both sides via Smart PopuUp.

 

• 

Select t^2*L^2; divide by L^2*t. via Smart PopUp.

 

 

 

• 

Context Menu: Expand_
Holding Unexpanded_(t-1)^2.

 

x = a*(1-t), y = t*sqrt(L^2-a^2)

x = a*(1-t), y = t*(L^2-a^2)^(1/2)

(->)

[{a = -x/(t-1)}, {-y+t*((L^2*t^2-2*L^2*t+L^2-x^2)/(t-1)^2)^(1/2)}]

(->)

{-y+t*((L^2*t^2-2*L^2*t+L^2-x^2)/(t-1)^2)^(1/2)}

(->)

-y+t*((L^2*t^2-2*L^2*t+L^2-x^2)/(t-1)^2)^(1/2)

(->)

-y+t*((L^2*t^2-2*L^2*t+L^2-x^2)/(t-1)^2)^(1/2) = 0

(->)

t*((L^2*t^2-2*L^2*t+L^2-x^2)/(t-1)^2)^(1/2) = y

(->)

t^2*(L^2*t^2-2*L^2*t+L^2-x^2)/(t-1)^2 = y^2

(->)

0 = y^2-t^2*(L^2*t^2-2*L^2*t+L^2-x^2)/(t-1)^2

(->)

y^2-t^2*(L^2*t^2-2*L^2*t+L^2-x^2)/(t-1)^2

(->)

y^2-t^2*(L^2*(t-1)^2-x^2)/(t-1)^2

(=)

y^2-L^2*t^2+t^2*x^2/(t-1)^2

(->)

y^2-L^2*t^2+t^2*x^2/(t-1)^2 = 0

(->)

y^2+t^2*x^2/(t-1)^2 = L^2*t^2

(->)

(y^2+t^2*x^2/(t-1)^2)/(L^2*t^2) = 1

(->)

y^2/(L^2*t^2)+x^2/(L^2*(t-1)^2) = 1

Table 3   Derivation of the implicit form of the trajectory of an arbitrary point on the sliding ladder

NULL

 

Legal Notice: © Maplesoft, a division of Waterloo Maple Inc. 2013. Maplesoft and Maple are trademarks of Waterloo Maple Inc. This application may contain errors and Maplesoft is not liable for any damages resulting from the use of this material. This application is intended for non-commercial, non-profit use only. Contact Maplesoft for permission if you wish to use this application in for-profit activities.

``

``

``

``

``