Do not display this message again
Close window
Pressure-Temperature Flash - Maple Application Center
Wenden Sie sich an Maplesoft
Preisangebot anfordern
Produkte
Maple
Leistungsfähige intuitive Mathematiksoftware
• Maple für Akademiker
• Maple für Studenten
• Maple Learn
• Maple Calculator App
• Maple für Industrie und Behörden
• Maple for Individuals
Erweiterungen für Maple
• Books & Studienführer
• Maple Toolboxen
• MapleNet
• Kostenloser Maple-Player
Math Success Platform
Verbesserung der Studienerfolgsquote
Maple Flow
Engineering calculations & documentation
• Maple Flow
• Maple Flow Migration Assistant
MapleSim
Modellierung auf Systemebene
• MapleSim
• MapleSim for Web Converting Systems
• MapleSim für Digitale Zwillinge
• MapleSim für Akademiker
• Erweiterte Bibliotheken für Spezialanwendungen
• MapleSim Insight
Beratende Dienstleistungen
• Ingenieurstechnische Dienstleistungen
• Produktschulung
• Turnkey Solutions
Produkte zur Online-Ausbildung
Suchen Sie Maple T.A. oder Möbius?
Diese Produkte werden nun von unserem Technologiepartner DigitalEd angeboten. Mehr erfahren.
Lösungen
Ausbildung
• Mathematikausbildung
• Technik
• Allgemein-und berufsbildende Schulen
• Studierende
• Ressourcen zum Remote Learning
Industrie
Automobil und Luftfahrt
• Elektro- und Hybridfahrzeuge
• Antrieb
• Fahrzeugdynamik
• Schwere mobile Maschinen
• Luftfahrtsysteme
• Raumfahrtsysteme
Robotik
• Forschung zur Robotik
• Motion Control/Mechatronics
Maschinendesign & industrielle Automation
• Maschinenentwicklung
• Produktion
• Ausrüstung für Bergbau und Ölförderung
• Bahnverarbeitung
Andere
• Energiebranche
• Finanzmodelle
• Medizinprodukte
• Lebenswissenschaften
Lösungen für die Industrie
• Power Systems Engineering
• Electrical Engineering Calculations
• Mechanical Engineering Calculations
• Systemsimulation und Analyse
• Virtuelle Inbetriebnahme
• Batterieentwicklung
• Modellierung von Wärmeübertragung
• Dynamische Analyse von Mechaniken
• Werkzeuge zur Analyse und Berechnung in der Entwicklung
• Modellentwicklung für HIL
• Vibrationsanalyse und -dämpfung
Kaufen
Kaufen: Einzelheiten und Preise
• Maple
• Maple Flow
• MapleSim
• Erweiterungen und Konnektoren
• Preisangebot anfordern
Kaufen
• Maplesoft-Webstore
• Upgrade auf die aktuelle Version
• Kontakt zum Maplesoft-Vertrieb
Institutionelle Studentenlizenzierung
• Virtualisierung
• Studentenlizenzierung & Optionen zur Distribution
Elite-Wartungsprogramm
• Übersicht EMP
• Fragen & Antworten zu EMP
Support & Ressourcen
Support
• Technischer Support und Kundendienst
• Häufig gestellte Fragen
• Produktdokumentation
• Download Produktupdates
Produktschulung
• Help-Center für Studierende
• Online-Produktschulung
• Schulung vor Ort
Online Hilfe zu Produkten
• Online Hilfe Maple
• Online Hilfe MapleSim
Webinare und Veranstaltungen
• Live-Webinare
• Aufgezeichnete Webinare
• Geplante Veranstaltungen
Veröffentlichungen
• Technische Whitepapers
• E-Mail-Newsletter
• Maple-Bücher
• Mathematik ist wichtig
Content Hubs
• Resource-Center für Lehrer
• Help-Center für Studierende
• Ressourcen zum Remote Learning
Anwendungsbeispiele
• Anwendungs-Center
• MapleSim Modell-Galerie
• Anwenderberichte
• Exploring Engineering Fundamentals
• Lehrkonzepte mit Maple
Community
• MaplePrimes
• MapleCloud
• Maple Conference
Unternehmen
Über Maplesoft
• Übersicht zum Unternehmen
• Geschäftsführung
• Kunden
• Mission Statement and Core Values
• Partnerships und OEM Opportunities
Pressezentrum
• Veröffentlichungen
• User Case Studies
• Medienberichte
User Community
• MaplePrimes
• Maple Ambassador Programm
• Maple Conference
Kontakt
• Vertriebskontakte Weltweit
• Offene Stellen
Home
Produkte
Maple
Maple Add-Ons
Maple Learn
Maple Calculator App
Maple Flow
MapleSim
MapleSim Add-Ons
Consulting Services
Online-Ausbildung
Lösungen
Ausbildung
Industrie
Lösungen für die Industrie
Kaufen
Kaufen: Einzelheiten und Preise
Purchasing
Institutional Student Licensing
Elite-Wartungsprogramm
Support & Ressourcen
Support
Produktschulung
Online Product Help
Webinare und Veranstaltungen
Veröffentlichungen
Content Hubs
Anwendungsbeispiele
Community
Unternehmen
Über Maplesoft
Pressezentrum
User Community
Contact
Toggle navigation
Sign in
Register
Submit your work
Application Center
Applications
Pressure-Temperature Flash
Pressure-Temperature Flash
Author
:
Samir Khan
0
Download
PDF Preview
This Application runs in Maple Flow.
Don't have Maple Flow? No problem!
Try Maple Flow free for 15 days!
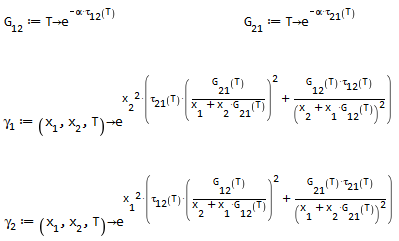
This application calculates the liquid and vapor mole fractions for a non-ideal binary flash. The vapor phase is assumed to be ideal and ignores fugacity. The NRTL activity equations and Raoult's Law are employed
Application Details
Publish Date
:
April 26, 2022
Created In
:
Maple Flow 2021
Language
:
English
Share
Copy URL
Tweet
This application is in the following
Collections
:
Chemical Engineering
Chemistry
Add to a Collection
You must be logged in to add to a collection
Tags
chemical-engineering
chemistry
thermodynamics
More Like This
Analysis of a Refrigeration Cycle with CoolProp
Samir Khan
1
Editors Choice
chemical-engineering
heat-transfer
thermophysicaldata
Binary Distillation with the McCabe-Thiele Method
Samir Khan
8
chemical-engineering
Portfolio Optimization with the Omega Ratio
Samir Khan
1
Editors Choice
finance
globaloptimization
linear-programming
Flow Between Two Tanks Assisted by a Pump
Samir Khan
11
Editors Choice
engineering
chemical-engineering
fluid-dynamics
hydraulics
Spectogram Generator
Samir Khan
0
Editors Choice
electrical
signal-processing
Interacting Tank Reservoirs
Samir Khan
2
chemical-engineering
fluid-dynamics
Optimising Asset Allocation by Maximising the Sharpe Ratio
Samir Khan
1
finance
The Countdown Numbers Game
Samir Khan
1
Liquid Flow Through a Pump
Samir Khan
7
fluid-dynamics
Pricing European Call Options with FFTs
Samir Khan
0
signal-processing
finance
fft
Automatic Optimization of Controller
Samir Khan
2
optimization
optimization
chemical-engineering
Optimize the Flight Path of a Pan-US Delivery Drone
Samir Khan
2
Editors Choice
graph-theory
sqlite
travelling-salesman-problem
×
Create a Collection
Name:
Description (optional):
Collections
×
Collections are user-defined, publicly available groups of applications. Add applications to your own Collections, and share them with other Maple users.