This is the first of a series of Maple worksheets developed for teaching chemical thermodynamics.
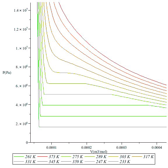
Given the van der Waals' constants, this worksheet plots: a) the PV van der Waals' isotherms as-given by the equation, b) the PV isotherms based on Maxwell's construction, c) the compressibility factor isotherms based on the low pressure series expansion, and d) the compressibility factor isotherms based on Maxwell's construction. All procedures are independent and were developed to work with the classic interface.
Lenin Araujo Castillo
Dr. Aleksey Shirko
Dr. Robert Lopez
Harald Kammerer
Prof. Carl Madigan
György Hegedûs
Yumi Mizuno