Do not display this message again
Close window
Application Center - Maplesoft
Wenden Sie sich an Maplesoft
Preisangebot anfordern
Produkte
Maple
Leistungsfähige intuitive Mathematiksoftware
• Maple für Akademiker
• Maple für Studenten
• Maple Learn
• Maple Calculator App
• Maple für Industrie und Behörden
• Maple for Individuals
Erweiterungen für Maple
• Books & Studienführer
• Maple Toolboxen
• MapleNet
• Kostenloser Maple-Player
Math Success Platform
Verbesserung der Studienerfolgsquote
Maple Flow
Engineering calculations & documentation
• Maple Flow
• Maple Flow Migration Assistant
MapleSim
Modellierung auf Systemebene
• MapleSim
• MapleSim for Web Converting Systems
• MapleSim für Digitale Zwillinge
• MapleSim für Akademiker
• Erweiterte Bibliotheken für Spezialanwendungen
• MapleSim Insight
Beratende Dienstleistungen
• Ingenieurstechnische Dienstleistungen
• Produktschulung
• Turnkey Solutions
Produkte zur Online-Ausbildung
Suchen Sie Maple T.A. oder Möbius?
Diese Produkte werden nun von unserem Technologiepartner DigitalEd angeboten. Mehr erfahren.
Lösungen
Ausbildung
• Mathematikausbildung
• Technik
• Allgemein-und berufsbildende Schulen
• Studierende
• Ressourcen zum Remote Learning
Industrie
Automobil und Luftfahrt
• Elektro- und Hybridfahrzeuge
• Antrieb
• Fahrzeugdynamik
• Schwere mobile Maschinen
• Luftfahrtsysteme
• Raumfahrtsysteme
Robotik
• Forschung zur Robotik
• Motion Control/Mechatronics
Maschinendesign & industrielle Automation
• Maschinenentwicklung
• Produktion
• Ausrüstung für Bergbau und Ölförderung
• Bahnverarbeitung
Andere
• Energiebranche
• Finanzmodelle
• Medizinprodukte
• Lebenswissenschaften
Lösungen für die Industrie
• Power Systems Engineering
• Electrical Engineering Calculations
• Mechanical Engineering Calculations
• Systemsimulation und Analyse
• Virtuelle Inbetriebnahme
• Batterieentwicklung
• Modellierung von Wärmeübertragung
• Dynamische Analyse von Mechaniken
• Werkzeuge zur Analyse und Berechnung in der Entwicklung
• Modellentwicklung für HIL
• Vibrationsanalyse und -dämpfung
Kaufen
Kaufen: Einzelheiten und Preise
• Maple
• Maple Flow
• MapleSim
• Erweiterungen und Konnektoren
• Preisangebot anfordern
Kaufen
• Maplesoft-Webstore
• Upgrade auf die aktuelle Version
• Kontakt zum Maplesoft-Vertrieb
Institutionelle Studentenlizenzierung
• Virtualisierung
• Studentenlizenzierung & Optionen zur Distribution
Elite-Wartungsprogramm
• Übersicht EMP
• Fragen & Antworten zu EMP
Support & Ressourcen
Support
• Technischer Support und Kundendienst
• Häufig gestellte Fragen
• Produktdokumentation
• Download Produktupdates
Produktschulung
• Help-Center für Studierende
• Online-Produktschulung
• Schulung vor Ort
Online Hilfe zu Produkten
• Online Hilfe Maple
• Online Hilfe MapleSim
Webinare und Veranstaltungen
• Live-Webinare
• Aufgezeichnete Webinare
• Geplante Veranstaltungen
Veröffentlichungen
• Technische Whitepapers
• E-Mail-Newsletter
• Maple-Bücher
• Mathematik ist wichtig
Content Hubs
• Resource-Center für Lehrer
• Help-Center für Studierende
• Ressourcen zum Remote Learning
Anwendungsbeispiele
• Anwendungs-Center
• MapleSim Modell-Galerie
• Anwenderberichte
• Exploring Engineering Fundamentals
• Lehrkonzepte mit Maple
Community
• MaplePrimes
• MapleCloud
• Maple Conference
Unternehmen
Über Maplesoft
• Übersicht zum Unternehmen
• Geschäftsführung
• Kunden
• Mission Statement and Core Values
• Partnerships und OEM Opportunities
Pressezentrum
• Veröffentlichungen
• User Case Studies
• Medienberichte
User Community
• MaplePrimes
• Maple Ambassador Programm
• Maple Conference
Kontakt
• Vertriebskontakte Weltweit
• Offene Stellen
Home
Produkte
Maple
Maple Add-Ons
Maple Learn
Maple Calculator App
Maple Flow
MapleSim
MapleSim Add-Ons
Consulting Services
Online-Ausbildung
Lösungen
Ausbildung
Industrie
Lösungen für die Industrie
Kaufen
Kaufen: Einzelheiten und Preise
Purchasing
Institutional Student Licensing
Elite-Wartungsprogramm
Support & Ressourcen
Support
Produktschulung
Online Product Help
Webinare und Veranstaltungen
Veröffentlichungen
Content Hubs
Anwendungsbeispiele
Community
Unternehmen
Über Maplesoft
Pressezentrum
User Community
Contact
Toggle navigation
Sign in
Register
Submit your work
Application Center
Applications
Simulated Reality Hologram Matrix State Space (click-through calibration check)
Preview
App Preview:
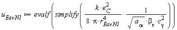
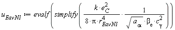
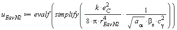
Simulated Reality Hologram Matrix State Space (click-through calibration check)
You can switch back to the summary page by clicking
here.
Learn about Maple
Download Application
(1)
(2)
(3)
(4)
(5)
(6)
(7)
(8)
(9)
(10)
(11)
(12)
(13)
(14)
(15)
(16)
(17)
(18)
(19)
(20)
(21)
(22)
(23)
(24)
(25)
(26)
(27)
(28)
(29)
(30)
(31)
(32)
(33)
(34)
(35)
(36)
(37)
(38)
(39)
(40)
(41)
(42)
(43)
(44)
(45)
(46)
(47)
(48)
(49)
(50)
(51)
(52)
(53)
(54)
(55)
(56)
(57)
(58)
(59)
(60)
(61)
(62)
(63)
(64)
(65)
(66)
(67)
(68)
(69)
(70)
(71)
(72)
(73)
(74)
(75)
(76)
(77)
(78)
(79)
(80)
(81)
(82)
(83)
(84)
(85)
(86)
(87)
(88)
(89)
(90)
(91)
(92)
(93)
(94)
(95)
(96)
(97)
(98)
(99)
(100)
(101)
(102)
(103)
(104)
(105)
(106)
(107)
(108)
(109)
(110)
(111)
(112)
(113)
(114)
(115)
(116)
(117)
(118)
(119)
(120)
(121)
(122)
(123)
(124)
(125)
(126)
(127)
(128)
(129)
(130)
(131)
(132)
(133)
(134)
(135)
(136)
(137)
(138)
(139)
(140)