Analytic design of non-circular gears by Maple
dr.Balint Laczik
Non-circular gears (NCG?s) transform movement between machinery parts with the given transfer function η = η(t), where t is the time. The basic types of NCG?s are:
- two gear with given paralell axes
- one gear and one rack: the axe of gear and the direction of movement of the rack is given.
The basic form of elements is shown in Fig. 1
Figure 1
Basic types of non-circular gears
The transfer function for a gear pair is the following
where φ2 = φ2(t) the angle of rotation of the driven gear, and φ1 = φ1(t) the angle of rotation of the driving gear. (The driven gear is henceforth indexed by No 2, the driving gear by 1.)
Let the angular velocities
and
The centrodes of the gears are planar curves. The centrodes (pitch curves) are in pure rolling while the gears are in the meshing. The wheel-base is constant.
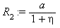
Let the radii of centrodes be R1 and R2 , then R1 + R2 = a is true, where a means the wheel-base. For the pure rolling yields and by realignment:
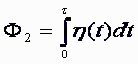
If the angular velocity of gear No. 1 ω1 = 1 the total rotation in a given moment t = τ
and for gear No. 2:
The co-ordinates of the temporary contact point of the centrodes in the co-ordinate systems fixed at the points of the axes are:
The common rolled arc lengths of the centrodes from the origin Q to P1 and P2 points are QP1 = L1 and QP2 = L2. It is true that L1 = L2 where
(+++)
The angle of tangent lines for the pitch curves relative to the horizontal in original positions of the centrodes is calculated by
i = 1, 2
The basic geometric relations are shown in Fig.2.
Figure 2
Basic geometric relations of centrodes
The teeth of NCG?s are involute type. The involute gears are generated conventionally by the basic rack cutter.
The standard form and dimensions of rack is shown in Fig. 3.
During tooth generation, the pitch line of rack cutter rolls with pure-rolling on the centrode of the gear. The generation of the tooth profiles is provided due to the rolling of the rack over the centrode of the gear. The discrete positions of the rack are shown in Fig. 4 while the tooth generation is processed.
Figure 3 Figure 4
Basic dimensions of the rack Generation of involute teeths by the rack
The complex co-ordinates of corner points of the rack are
(i = 4, 5, ?, )
P = Pi is the actual common point of the centrode of the gear No. i and the rolling line of the rack. The pitch line of the rack and the centrode of the gear are in tangency relation at the point Pi. The pure rolling of the rack over the centrode is provided, if the following equations are observed for corner points Qj and Qj+1:
(***)
The general movement of the rack consists of three parts from the original position to actual position
(i) displacement with (? L) into negative direction of real axes
(ii) rotation with angle φ + μ around the axes point of the gear and origin of the complex co-ordinate system fixed to gear
(iii) displacement with R⋅e I⋅φ
The successive discrete positions of the rack by transformation (***) are shown in Fig. 4.
In case m = 2 the rack profile is in piecewise function form defined by
Since every part of rack profile have a straight line form, they can be given with equation
G(u) = k.u - c
The function G(u) have Fourier series in continuous form:
where the Fourier coefficients are
The common number of the gear No.1 and No.2 is z. The actual module yield by
where S is the total arc length of centrode No. 1 (or No. 2), see formulae (+++).
The Fourier series of the rack with actual modul m is defined by substitution in to Fourier series Z
The complex function of rack is applied as
for the gear No.1 and the conjugate of Q1 by
The worksheet demonstrate the analytic design method of non-circular gears by given transfer function η for number of teeth?s z and axes distance a.
The precision of the involute profile depends on
(i) the number of the discrete rack positions N during generation of profile of teeths
(ii) the number of the coefficients of Fourier series M0 for the rack function Z.
If the transfer function η(t) = 1 the worksheet calculate the profile of circular involute gear.
Construction of gear and rack type drive make by similar technique too.
Figure 5
The real gears was desgned by Maple 12. The mechanism is shown in Fig. 5. They manufactured by EDM technologie.