Finding the Arc Length of a Curve
? Maplesoft, a division of Waterloo Maple Inc., 2007
Introduction
This application is one of a collection of examples teaching Calculus with Maple. These applications use Clickable Calculus? methods to solve problems interactively. Steps are given at every stage of the solution, and many are illustrated using short video clips. Click on the buttons to watch the videos.
This application is reusable. Modify the problem, then click the !!! button on the toolbar to re-execute the document to solve the new problem.
Problem Statement
Find the length of each of the following curves:
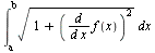
Use the formula for arc length on an interval.
Solution
The arc length of a curve defined by over the interval can be calculated by computing
Problem 1
Step
Result
Form the integral.
Use the templates in the Expression palette. To insert a template, click on it. Press [Enter] to evaluate.
Approximate the result to a more understandable value by right clicking and choosing Approximate>5 digits.
Problem 2
Enter the expression for the function.
In the Expression palette click on the expressions and icons to insert them into the document. Press [Enter] to obtain an equation label.
Use the templates in the Expression palette to formulate the arc length integral. Use the equation label to reference [Ctrl]+L and then type the equation number into the window that appears.
Approximate the result as a floating-point number by right clicking and choosing Approximate>5 digits.
Legal Notice: The copyright for this application is owned by Maplesoft. The application is intended to demonstrate the use of Maple to solve a particular problem. It has been made available for product evaluation purposes only and may not be used in any other context without the express permission of Maplesoft.