Application Center - Maplesoft

App Preview:

TENSORS OF RELATIVISTIC ELECTRODYNAMICS WITH MAPLE

You can switch back to the summary page by clicking here.

Learn about Maple
Download Application


 

Image 

TENSORS OF RELATIVISTIC ELECTRODYNAMICS WITH MAPLE  

Alexei V. Tikhonenko 

General Physics Department,
State Technical University of Nuclear Power Engineering,
Obninsk, Russia
 

futureprint@obninsk.com
 

This work develops algorithms of construction, calculation and transformation of physical vectors and tensors in relativistic electrodynamics with MAPLE. 

1. Lorentz transformations 

> restart;
 

> with(tensor):with(linalg):
 

Consider transformations of vectors and tensors with Lorentz transformations in four-dimensional pseudo-Euclidean space-time. We will use "tensor" and "linalg" packages for operations with vectors and tensors in four-dimensional space-time. 

The first necessary step is creation of the metric tensor of four-dimensional pseudo-Euclidean space-time: 

> coord:=[t,x,y,z];
g11:=1: g22:=-1: g33:=-1: g44:=-1:
g:=create([-1,-1],array(1..4,1..4,symmetric,sparse,[(1,1)=g11(r,theta),(2,2)=g22(r,theta),(3,3)=g33(r,theta),(4,4)=g44(r,theta)]));
 

`:=`(coord, [t, x, y, z]) (1.1)
 

Typesetting:-mrow(Typesetting:-mrow(Typesetting:-mi( (1.1)
 

> g_matrix:=matrix([[1, 0, 0, 0], [0, -1, 0, 0], [0, 0, -1, 0], [0, 0, 0, -1]]);
detg:=det(g_matrix);
 

Typesetting:-mrow(Typesetting:-mrow(Typesetting:-mi( (1.2)
 

`:=`(detg, -1) (1.2)
 

> `tensor/simp`:= proc(a) simplify(a); end:
g_contr := invert(g, 'det_g');
 

Typesetting:-mrow(Typesetting:-mrow(Typesetting:-mi( (1.3)
 

Lorentz transformations (for two reference frames) are determined as 

> dim:=4; Coord_1:=[t,x,y,z]; Coord_2:=[t,x,y,z];
 

`:=`(dim, 4) (1.4)
 

`:=`(Coord_1, [t, x, y, z]) (1.4)
 

`:=`(Coord_2, [t, x, y, z]) (1.4)
 

> CHANG:=[t=gamma*(t-beta*x),x=gamma*(x-beta*t) ,y=y,z=z];
 

`:=`(CHANG, [t = `*`(gamma, `*`(`+`(t, `-`(`*`(beta, `*`(x)))))), x = `*`(gamma, `*`(`+`(x, `-`(`*`(beta, `*`(t)))))), y = y, z = z]) (1.5)
 

> Jacobian(Coord_2,CHANG,tr,TR);
op(tr); op(TR);
 

Typesetting:-mrow(Typesetting:-mrow(Typesetting:-mi( (1.6)
 

Typesetting:-mrow(Typesetting:-mrow(Typesetting:-mi( (1.6)
 

where 

Typesetting:-mrow(Typesetting:-mi(, 

Typesetting:-mrow(Typesetting:-mi( 

and V is relative velocity of reference frames in the line of x-axis. 

Components of covariant vector 

> VECT:=create([-1],array([V[1],V[2],V[3], V[4]]));
 

Typesetting:-mrow(Typesetting:-mrow(Typesetting:-mi( (1.7)
 

will transform with Lorentz transformations as 

> VECT_trans:=create([-1],array([V_trans[1], V_trans[2],V_trans[3],V_trans[4]]));
get_compts(VECT_trans)=get_compts(collect(transform(VECT,CHANG,tr,TR),gamma));
get_compts(VECT_trans)[1]=get_compts(collect(transform(VECT,CHANG,tr,TR),gamma))[1];
get_compts(VECT_trans)[2]=get_compts(collect(transform(VECT,CHANG,tr,TR),gamma))[2];
get_compts(VECT_trans)[3]=get_compts(collect(transform(VECT,CHANG,tr,TR),gamma))[3];
get_compts(VECT_trans)[4]=get_compts(collect(transform(VECT,CHANG,tr,TR),gamma))[4];
 

Typesetting:-mrow(Typesetting:-mrow(Typesetting:-mi( (1.8)
 

Typesetting:-mrow(Typesetting:-mrow(Typesetting:-mfenced(Typesetting:-mtable(Typesetting:-mtr(Typesetting:-mtd(Typesetting:-msub(Typesetting:-mi( (1.8)
 

V_trans[1] = `*`(`+`(V[1], `-`(`*`(beta, `*`(V[2])))), `*`(gamma)) (1.8)
 

V_trans[2] = `*`(`+`(`-`(`*`(beta, `*`(V[1]))), V[2]), `*`(gamma)) (1.8)
 

V_trans[3] = V[3] (1.8)
 

V_trans[4] = V[4] (1.8)
 

Components of covariant tensor 

> TENS:=create([-1,-1],array(1..4,1..4,sparse,[[T[1,1],T[1,2],T[1,3],T[1,4]],[T[2,1],T[2,2],T[2,3],T[2,4]],[T[3,1],T[3,2],T[3,3],T[3,4]],[T[4,1],T[4,2],T[4,3],T[4,4]]]));
 

Typesetting:-mrow(Typesetting:-mrow(Typesetting:-mi( (1.9)
 

will transform with Lorentz transformations as 

> TENS_trans:=create([-1,-1],array(1..4,1..4,sparse,[[T_trans[1,1],T_trans[1,2],T_trans[1,3],T_trans[1,4]],[T_trans[2,1],T_trans[2,2],T_trans[2,3],T_trans[2,4]],[T_trans[3,1],T_trans[3,2],T_trans[3,3],T_trans[3,4]],[T_trans[4,1],T_trans[4,2],T_trans[4,3],T_trans[4,4]]]));
get_compts(TENS_trans)=get_compts(collect(transform(TENS,CHANG,tr,TR),gamma));
get_compts(TENS_trans)[1,1]=get_compts(collect(transform(TENS,CHANG,tr,TR),gamma))[1,1];
get_compts(TENS_trans)[1,2]=get_compts(collect(transform(TENS,CHANG,tr,TR),gamma))[1,2];
get_compts(TENS_trans)[2,4]=get_compts(collect(transform(TENS,CHANG,tr,TR),gamma))[2,4];
 

Typesetting:-mrow(Typesetting:-mrow(Typesetting:-mi( (1.10)
 

Typesetting:-mrow(Typesetting:-mrow(Typesetting:-mfenced(Typesetting:-mrow(Typesetting:-mtable(Typesetting:-mtr(Typesetting:-mtd(Typesetting:-msub(Typesetting:-mi(
Typesetting:-mrow(Typesetting:-mrow(Typesetting:-mfenced(Typesetting:-mrow(Typesetting:-mtable(Typesetting:-mtr(Typesetting:-mtd(Typesetting:-msub(Typesetting:-mi(
(1.10)
 

T_trans[1, 1] = `*`(`+`(T[1, 1], `-`(`*`(beta, `*`(T[2, 1]))), `-`(`*`(beta, `*`(T[1, 2]))), `*`(`^`(beta, 2), `*`(T[2, 2]))), `*`(`^`(gamma, 2))) (1.10)
 

T_trans[1, 2] = `*`(`+`(`-`(`*`(beta, `*`(T[1, 1]))), `*`(`^`(beta, 2), `*`(T[2, 1])), T[1, 2], `-`(`*`(beta, `*`(T[2, 2])))), `*`(`^`(gamma, 2))) (1.10)
 

T_trans[2, 4] = `*`(`+`(`-`(`*`(beta, `*`(T[1, 4]))), T[2, 4]), `*`(gamma)) (1.10)
 

Components of the symmetrical covariant tensor 

> TENS_sym:=create([-1,-1],array(1..4,1..4,sparse,[[T[1,1],T[1,2],T[1,3],T[1,4]],[T[1,2],T[2,2],T[2,3],T[2,4]],[T[1,3],T[2,3], T[3,3],T[3,4]],[T[1,4],T[2,4],T[3,4],T[4,4]]]));
 

Typesetting:-mrow(Typesetting:-mrow(Typesetting:-mi( (1.11)
 

will transform with Lorentz transformations as 

> TENS_sym_trans:=create([-1,-1],array(1..4,1..4,sparse,[[T_trans[1,1],T_trans[1,2],T_trans[1,3],T_trans[1,4]],[T_trans[2,1],T_trans[2,2],T_trans[2,3],T_trans[2,4]],[T_trans[3,1],T_trans[3,2],T_trans[3,3],T_trans[3,4]],[T_trans[4,1],T_trans[4,2],T_trans[4,3],T_trans[4,4]]]));
get_compts(TENS_trans)=get_compts(collect(transform( TENS_sym,CHANG,tr,TR), [gamma,beta]));
 

Typesetting:-mrow(Typesetting:-mrow(Typesetting:-mi( (1.12)
 

Typesetting:-mrow(Typesetting:-mrow(Typesetting:-mfenced(Typesetting:-mrow(Typesetting:-mtable(Typesetting:-mtr(Typesetting:-mtd(Typesetting:-msub(Typesetting:-mi(
Typesetting:-mrow(Typesetting:-mrow(Typesetting:-mfenced(Typesetting:-mrow(Typesetting:-mtable(Typesetting:-mtr(Typesetting:-mtd(Typesetting:-msub(Typesetting:-mi(
(1.12)
 

or 

> TENS_sym_trans:=collect(simplify(subs (gamma =1/sqrt(1-beta^2),matrix([[(T[1,1]-2*beta*T [1,2]+ beta^2*T[2,2])*gamma^2, (beta^2*T[1,2]+(-T[1,1]-T[2,2])*beta+T[1,2])*gamma^2,(T[1,3]-beta*T[2,3])*gamma,(T[1,4]-beta*T[2,4])*gamma],[(beta^2* T[1,2]+(-T[1,1]-T[2,2])*beta +T[1,2])*gamma^2,(beta^2 *T[1,1]-2*beta*T[1,2] +T[2,2])*gamma^2,(-beta*T[1,3] +T[2,3])* gamma, -beta*T[1,4]+T[2,4]*gamma],[(T[1, 3]-beta* T[2,3])*gamma,(-beta*T[1,3] +T[2, 3])*gamma, T[3,3], T[3,4]], [(T[1,4]-beta*T[2,4])*gamma, (-beta*T[1,4]+T[2, 4])*gamma, T[3,4], T[4,4]]]))),beta) assuming (-beta^2+1)>0;
 

Typesetting:-mrow(Typesetting:-mrow(Typesetting:-mi( (1.13)
 

Components of the asymmetrical covariant tensor 

> TENS_as:=create([-1,-1],array(1..4,1..4 ,sparse ,[[0,T[1,2],T[1,3],T[1,4]],[-T[1, 2],0,T[2,3], T[2,4]],[-T[1,3],-T[2,3],0, T[3,4]],[-T[1,4],-T[2,4],-T[3,4],0]]));
 

Typesetting:-mrow(Typesetting:-mrow(Typesetting:-mi( (1.14)
 

will transform with Lorentz transformations as 

> TENS_as_trans:=create([-1,-1],array(1..4,1..4,sparse,[[0,T_trans[1,2],T_trans[1,3],T_trans[1,4]],[-T_trans[1,2],0,T_trans[2, 3],T_trans[2,4]],[-T_trans[1,3],-T_trans [2,3],0,T_trans[3,4]],[-T_trans[1,4],-T_trans[2,4],-T_trans[3,4],0]]));
get_compts(TENS_trans)=get_compts(simplify(collect(transform(TENS_as,CHANG,tr,TR),[gamma,beta])));
 

Typesetting:-mrow(Typesetting:-mrow(Typesetting:-mi( (1.15)
 

Typesetting:-mrow(Typesetting:-mrow(Typesetting:-mfenced(Typesetting:-mrow(Typesetting:-mtable(Typesetting:-mtr(Typesetting:-mtd(Typesetting:-msub(Typesetting:-mi( (1.15)
 

or 

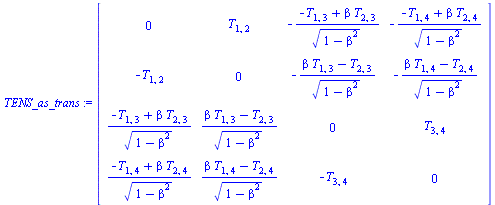
> TENS_as_trans:=simplify(subs(gamma=1/sqrt (1-beta^2),matrix([[0, -T[1,2]*(-1+beta^2) *gamma^2,-(-T[1,3]+beta*T[2,3])*gamma,-(-T[1,4]+beta*T[2,4] )*gamma], [T[1,2]*(-1+ beta^2)*gamma^2, 0,-(beta* T[1,3]-T[2,3])* gamma, -(beta*T[1,4]-T[2,4])*gamma], [(-T[1,3]+beta*T[2,3])*gamma, (beta*T[1,3]-T[2,3] )*gamma, 0, T[3,4]], [(-T[1,4]+beta *T[2,4])*gamma, (beta*T[1,4]-T[2,4]) *gamma,-T[3,4], 0]]))) assuming (-beta^2+1)>0;
 

Typesetting:-mrow(Typesetting:-mrow(Typesetting:-mi( (1.16)
 

Typesetting:-mrow(Typesetting:-mi( 

2. 4-velocity ? 4-acceleration 

Consider 4-radius-vector of particle moving in four-dimensional space-time: 

> R(t):=create([-1],array([x[1](t),x[2](t),x[3] (t),x[4](t)]));
 

Typesetting:-mrow(Typesetting:-mrow(Typesetting:-mrow(Typesetting:-mi( (2.1)
 

Consider 4-velocity of particle in four-dimensional space-time: 

> V(t):=create([-1],array([v[1](t),v[2](t), v[3](t),v[4](t)]));
V(t):=create([-1],array([1/sqrt(1-(v[2](t)^2+v[3](t)^2+v[4](t)^2)/c^2)/c*diff(x[1](t),t),1/sqrt(1-(v[2](t)^2+v[3](t)^2+v[4](t)^2)/c^2)/c*diff(x[2](t),t),1/sqrt(1-(v[2](t)^2+v[3](t)^2+v[4](t)^2)/c^2)/c*diff(x[3](t),t),1/sqrt(1-(v[2](t)^2+v[3](t)^2+ v[4](t)^2)/c^2)/ c*diff(x[4](t),t)]));
V(t):=create([-1],array([1/sqrt(1-(v[2](t)^2+v[3](t)^2+v[4](t)^2)/c^2),1/sqrt(1-(v[2](t)^2+v[3](t)^2+v[4](t)^2)/c^2)/c*v[2](t),1/sqrt(1-(v[2](t)^2+v[3](t)^2+v[4](t) ^2)/c^2)/c*v[3](t),1/sqrt(1-(v[2](t)^2+v[3](t)^2+v[4](t)^2)/c^2)/c*v[4](t)]));
 

Typesetting:-mrow(Typesetting:-mrow(Typesetting:-mrow(Typesetting:-mi( (2.2)
 

Typesetting:-mrow(Typesetting:-mrow(Typesetting:-mrow(Typesetting:-mi(
Typesetting:-mrow(Typesetting:-mrow(Typesetting:-mrow(Typesetting:-mi(
Typesetting:-mrow(Typesetting:-mrow(Typesetting:-mrow(Typesetting:-mi(
(2.2)
 

Typesetting:-mrow(Typesetting:-mrow(Typesetting:-mrow(Typesetting:-mi(
Typesetting:-mrow(Typesetting:-mrow(Typesetting:-mrow(Typesetting:-mi(
Typesetting:-mrow(Typesetting:-mrow(Typesetting:-mrow(Typesetting:-mi(
(2.2)
 

> V[1](t):=get_compts(V(t))[1];
V[2](t):=get_compts(V(t))[2];
V[3](t):=get_compts(V(t))[3];
V[4](t):=get_compts(V(t))[4];
 

`:=`(V[1](t), `/`(1, `*`(`*`(`^`(`+`(1, `-`(`/`(`*`(`+`(`*`(`^`(v[2](t), 2)), `*`(`^`(v[3](t), 2)), `*`(`^`(v[4](t), 2)))), `*`(`^`(c, 2))))), `/`(1, 2)))))) (2.3)
 

`:=`(V[2](t), `/`(`*`(v[2](t)), `*`(`^`(`+`(1, `-`(`/`(`*`(`+`(`*`(`^`(v[2](t), 2)), `*`(`^`(v[3](t), 2)), `*`(`^`(v[4](t), 2)))), `*`(`^`(c, 2))))), `/`(1, 2)), `*`(c)))) (2.3)
 

`:=`(V[3](t), `/`(`*`(v[3](t)), `*`(`^`(`+`(1, `-`(`/`(`*`(`+`(`*`(`^`(v[2](t), 2)), `*`(`^`(v[3](t), 2)), `*`(`^`(v[4](t), 2)))), `*`(`^`(c, 2))))), `/`(1, 2)), `*`(c)))) (2.3)
 

`:=`(V[4](t), `/`(`*`(v[4](t)), `*`(`^`(`+`(1, `-`(`/`(`*`(`+`(`*`(`^`(v[2](t), 2)), `*`(`^`(v[3](t), 2)), `*`(`^`(v[4](t), 2)))), `*`(`^`(c, 2))))), `/`(1, 2)), `*`(c)))) (2.3)
 

Square of 4-velocity is 

> V_sqw=simplify(subs(beta=sqrt(v[2](t)^2+ v[3](t)^2 +v[4](t)^2)/c,prod(prod(V(t),V(t)) ,g_contr,[1,1],[2,2])));
 

V_sqw = TABLE([index_char = [], compts = 1]) (2.4)
 

Consider 4-acceleration of particle in four-dimensional space-time: 

> Accl[1](t):=1/sqrt(1-(v[2](t)^2+v[3](t)^2 +v[4](t)^2)/c^2)/c*diff(V[1](t),t);
Accl[2](t):=1/sqrt(1-(v[2](t)^2+v[3](t)^2+ v[4](t)^2)/c^2)/c*diff(V[2](t),t);
Accl[3](t):=1/sqrt(1-(v[2](t)^2+v[3](t)^2+ v[4](t)^2)/c^2)/c*diff(V[3](t),t);
Accl[4](t):=1/sqrt(1-(v[2](t)^2+v[3](t)^2+v [4](t)^2)/c^2)/c*diff(V[4](t),t);
 

`:=`(Accl[1](t), `+`(`*`(`/`(1, 2), `*`(`/`(`*`(`+`(`*`(2, `*`(v[2](t), `*`(diff(v[2](t), t)))), `*`(2, `*`(v[3](t), `*`(diff(v[3](t), t)))), `*`(2, `*`(v[4](t), `*`(diff(v[4](t), t)))))), `*`(`^`(`+`... (2.5)
 

`:=`(Accl[2](t), `/`(`*`(`+`(`*`(`/`(1, 2), `*`(`/`(`*`(v[2](t), `*`(`+`(`*`(2, `*`(v[2](t), `*`(diff(v[2](t), t)))), `*`(2, `*`(v[3](t), `*`(diff(v[3](t), t)))), `*`(2, `*`(v[4](t), `*`(diff(v[4](t),... (2.5)
 

`:=`(Accl[3](t), `/`(`*`(`+`(`*`(`/`(1, 2), `*`(`/`(`*`(v[3](t), `*`(`+`(`*`(2, `*`(v[2](t), `*`(diff(v[2](t), t)))), `*`(2, `*`(v[3](t), `*`(diff(v[3](t), t)))), `*`(2, `*`(v[4](t), `*`(diff(v[4](t),... (2.5)
 

`:=`(Accl[4](t), `/`(`*`(`+`(`*`(`/`(1, 2), `*`(`/`(`*`(v[4](t), `*`(`+`(`*`(2, `*`(v[2](t), `*`(diff(v[2](t), t)))), `*`(2, `*`(v[3](t), `*`(diff(v[3](t), t)))), `*`(2, `*`(v[4](t), `*`(diff(v[4](t),... (2.5)
 

> Accl:=create([-1],array([Accl[1](t),Accl[2](t),Accl[3](t),Accl[4](t)]));
 

Typesetting:-mrow(Typesetting:-mrow(Typesetting:-mi(
Typesetting:-mrow(Typesetting:-mrow(Typesetting:-mi(
Typesetting:-mrow(Typesetting:-mrow(Typesetting:-mi(
Typesetting:-mrow(Typesetting:-mrow(Typesetting:-mi(
(2.6)
 

The scalar product of 4-velocity ? 4-acceleration is equal to 

> prod(prod(V(t),Accl),g_contr,[1,1],[2,2]);
 

TABLE([index_char = [], compts = 0]) (2.7)
 

This value means orthogonality of 4-velocity ? 4-acceleration. 

Another form of 4-acceleration is: 

> Accl[1]:=1/((1-beta^2)^2)/(c^3)*(v[2] (t)*w[2](t) +v[3](t)*w[3](t)+v[4](t)* w[4](t));
Accl[2]:=1/(1-beta^2)^2/c^4*v[2](t)*(v[2](t) *w[2](t)+v[3](t)*w[3](t)+v[4](t)*w[4](t))+1/(1-beta^2)/c^2*w[2](t);
Accl[3]:=1/(1-beta^2)^2/c^4*v[3](t)*(v[2](t) *w[2](t)+v[3](t)*w[3](t)+v[4](t)*w[4](t))+1/(1-beta^2)/c^2*w[3](t);
Accl[4]:=1/(1-beta^2)^2/c^4*v[4](t)*(v[2](t)* w[2](t)+v[3](t)*w[3](t)+v[4](t)*w[4](t))+1/(1-beta^2)/c^2*w[4](t);
Accl:=create([-1],array([Accl[1],Accl[2], Accl[3],Accl[4]]));
 

`:=`(Accl[1], `/`(`*`(`+`(`*`(v[2](t), `*`(w[2](t))), `*`(v[3](t), `*`(w[3](t))), `*`(v[4](t), `*`(w[4](t))))), `*`(`^`(`+`(1, `-`(`*`(`^`(beta, 2)))), 2), `*`(`^`(c, 3))))) (2.8)
 

`:=`(Accl[2], `+`(`/`(`*`(v[2](t), `*`(`+`(`*`(v[2](t), `*`(w[2](t))), `*`(v[3](t), `*`(w[3](t))), `*`(v[4](t), `*`(w[4](t)))))), `*`(`^`(`+`(1, `-`(`*`(`^`(beta, 2)))), 2), `*`(`^`(c, 4)))), `/`(`*`(... (2.8)
 

`:=`(Accl[3], `+`(`/`(`*`(v[3](t), `*`(`+`(`*`(v[2](t), `*`(w[2](t))), `*`(v[3](t), `*`(w[3](t))), `*`(v[4](t), `*`(w[4](t)))))), `*`(`^`(`+`(1, `-`(`*`(`^`(beta, 2)))), 2), `*`(`^`(c, 4)))), `/`(`*`(... (2.8)
 

`:=`(Accl[4], `+`(`/`(`*`(v[4](t), `*`(`+`(`*`(v[2](t), `*`(w[2](t))), `*`(v[3](t), `*`(w[3](t))), `*`(v[4](t), `*`(w[4](t)))))), `*`(`^`(`+`(1, `-`(`*`(`^`(beta, 2)))), 2), `*`(`^`(c, 4)))), `/`(`*`(... (2.8)
 

Typesetting:-mrow(Typesetting:-mrow(Typesetting:-mi(
Typesetting:-mrow(Typesetting:-mrow(Typesetting:-mi(
(2.8)
 

3. energy-momentum vector 

Consider 4-velocity 

> V[1](t):=1/((1-(v[2](t)^2+v[3](t)^2+ v[4](t)^2)/c^2)^(1/2));
V[2](t):=1/(1-(v[2](t)^2+v[3](t)^2+ v[4](t)^2)/c^2)^(1/2)/c*v[2](t);
V[3](t):=1/(1-(v[2](t)^2+v[3](t)^2+ v[4](t)^2)/c^2)^(1/2)/c*v[3](t);
V[4](t):=1/(1-(v[2](t)^2+v[3](t)^2+ v[4](t)^2)/c^2)^(1/2)/c*v[4](t);
V(t):=create([-1],array([V[1](t),V[2](t), V[3](t),V[4](t)]));
 

`:=`(V[1](t), `/`(1, `*`(`*`(`^`(`+`(1, `-`(`/`(`*`(`+`(`*`(`^`(v[2](t), 2)), `*`(`^`(v[3](t), 2)), `*`(`^`(v[4](t), 2)))), `*`(`^`(c, 2))))), `/`(1, 2)))))) (3.1)
 

`:=`(V[2](t), `/`(`*`(v[2](t)), `*`(`^`(`+`(1, `-`(`/`(`*`(`+`(`*`(`^`(v[2](t), 2)), `*`(`^`(v[3](t), 2)), `*`(`^`(v[4](t), 2)))), `*`(`^`(c, 2))))), `/`(1, 2)), `*`(c)))) (3.1)
 

`:=`(V[3](t), `/`(`*`(v[3](t)), `*`(`^`(`+`(1, `-`(`/`(`*`(`+`(`*`(`^`(v[2](t), 2)), `*`(`^`(v[3](t), 2)), `*`(`^`(v[4](t), 2)))), `*`(`^`(c, 2))))), `/`(1, 2)), `*`(c)))) (3.1)
 

`:=`(V[4](t), `/`(`*`(v[4](t)), `*`(`^`(`+`(1, `-`(`/`(`*`(`+`(`*`(`^`(v[2](t), 2)), `*`(`^`(v[3](t), 2)), `*`(`^`(v[4](t), 2)))), `*`(`^`(c, 2))))), `/`(1, 2)), `*`(c)))) (3.1)
 

Typesetting:-mrow(Typesetting:-mrow(Typesetting:-mrow(Typesetting:-mi(
Typesetting:-mrow(Typesetting:-mrow(Typesetting:-mrow(Typesetting:-mi(
Typesetting:-mrow(Typesetting:-mrow(Typesetting:-mrow(Typesetting:-mi(
(3.1)
 

and define 4-energy-momentum vector as 

> P[1](t):=c*m*V[1](t);
P[2](t):=c*m*V[2](t);
P[3](t):=c*m*V[3](t);
P[4](t):=c*m*V[4](t);
P(t):=create([-1],array([P[1](t),P[2](t),P[3](t), P[4](t)]));
 

`:=`(P[1](t), `/`(`*`(c, `*`(m)), `*`(`^`(`+`(1, `-`(`/`(`*`(`+`(`*`(`^`(v[2](t), 2)), `*`(`^`(v[3](t), 2)), `*`(`^`(v[4](t), 2)))), `*`(`^`(c, 2))))), `/`(1, 2))))) (3.2)
 

`:=`(P[2](t), `/`(`*`(m, `*`(v[2](t))), `*`(`^`(`+`(1, `-`(`/`(`*`(`+`(`*`(`^`(v[2](t), 2)), `*`(`^`(v[3](t), 2)), `*`(`^`(v[4](t), 2)))), `*`(`^`(c, 2))))), `/`(1, 2))))) (3.2)
 

`:=`(P[3](t), `/`(`*`(m, `*`(v[3](t))), `*`(`^`(`+`(1, `-`(`/`(`*`(`+`(`*`(`^`(v[2](t), 2)), `*`(`^`(v[3](t), 2)), `*`(`^`(v[4](t), 2)))), `*`(`^`(c, 2))))), `/`(1, 2))))) (3.2)
 

`:=`(P[4](t), `/`(`*`(m, `*`(v[4](t))), `*`(`^`(`+`(1, `-`(`/`(`*`(`+`(`*`(`^`(v[2](t), 2)), `*`(`^`(v[3](t), 2)), `*`(`^`(v[4](t), 2)))), `*`(`^`(c, 2))))), `/`(1, 2))))) (3.2)
 

Typesetting:-mrow(Typesetting:-mrow(Typesetting:-mrow(Typesetting:-mi(
Typesetting:-mrow(Typesetting:-mrow(Typesetting:-mrow(Typesetting:-mi(
(3.2)
 

Square of 4-energy-momentum vector is: 

> P_sqw=prod(prod(P(t),P(t)),g_contr,[1,1], [2,2]);
 

P_sqw = TABLE([index_char = [], compts = `*`(`^`(c, 2), `*`(`^`(m, 2)))]) (3.3)
 

As another form of 4-energy-momentum vector is 

> P_:=create([-1],array([E/c,p[2],p[3], p[4]]));
 

Typesetting:-mrow(Typesetting:-mrow(Typesetting:-mi( (3.4)
 

we have 

> prod(prod(P_,P_),g_contr,[1,1],[2,2])= prod(prod(P(t),P(t)),g_contr,[1,1],[2,2]);
 

TABLE([index_char = [], compts = `/`(`*`(`+`(`*`(`^`(E, 2)), `-`(`*`(`^`(p[2], 2), `*`(`^`(c, 2)))), `-`(`*`(`^`(p[3], 2), `*`(`^`(c, 2)))), `-`(`*`(`^`(p[4], 2), `*`(`^`(c, 2)))))), `*`(`^`(c, 2)))])... (3.5)
 

4-energy-momentum vectorwill transform with Lorentz transformations as 

> P:=create([-1],array([E/c,p[2],p[3],p[4]]));
P_trans_:=create([-1],array([E_trans/c,p_trans[2], p_trans[3],p_trans[4]]));
P_trans:=collect(transform(P,CHANG,tr,TR),gamma);
 

Typesetting:-mrow(Typesetting:-mrow(Typesetting:-mi( (3.6)
 

Typesetting:-mrow(Typesetting:-mrow(Typesetting:-mi( (3.6)
 

Typesetting:-mrow(Typesetting:-mrow(Typesetting:-mi( (3.6)
 

or 

> get_compts(P_trans_)[1]=get_compts (P_trans)[1];
get_compts(P_trans_)[2]=get_compts (P_trans)[2];
get_compts(P_trans_)[3]=get_compts (P_trans)[3];
get_compts(P_trans_)[4]=get_compts (P_trans)[4];
 

`/`(`*`(E_trans), `*`(c)) = `/`(`*`(gamma, `*`(`+`(E, `-`(`*`(beta, `*`(p[2], `*`(c))))))), `*`(c)) (3.7)
 

p_trans[2] = `+`(`-`(`/`(`*`(gamma, `*`(`+`(`*`(beta, `*`(E)), `-`(`*`(p[2], `*`(c)))))), `*`(c)))) (3.7)
 

p_trans[3] = p[3] (3.7)
 

p_trans[4] = p[4] (3.7)
 

Make sure that square of 4-energy-momentum vector is invariant relatively to Lorentz transformations: 

> P_sqw:=get_compts(prod(prod(P,P),g_contr, [1,1],[2,2]));
 

`:=`(P_sqw, `/`(`*`(`+`(`*`(`^`(E, 2)), `-`(`*`(`^`(p[2], 2), `*`(`^`(c, 2)))), `-`(`*`(`^`(p[3], 2), `*`(`^`(c, 2)))), `-`(`*`(`^`(p[4], 2), `*`(`^`(c, 2)))))), `*`(`^`(c, 2)))) (3.8)
 

> P_trans_sqw:=get_compts(prod(prod(P_trans,P_trans),g_contr,[1,1],[2,2]));
P_trans_sqw:=simplify(subs(gamma=1/sqrt (1-beta^2),(gamma^2*E^2+gamma^2*beta^2* p[2]^2*c^2-gamma^2*beta^2*E^2-gamma^2 *p[2]^2*c^2-p[3]^2*c^2-p[4]^2*c^2)/c^2));
 

`:=`(P_trans_sqw, `+`(`-`(`/`(`*`(`+`(`-`(`*`(`^`(gamma, 2), `*`(`^`(E, 2)))), `-`(`*`(`^`(gamma, 2), `*`(`^`(beta, 2), `*`(`^`(p[2], 2), `*`(`^`(c, 2)))))), `*`(`^`(gamma, 2), `*`(`^`(beta, 2), `*`(`... (3.9)
 

`:=`(P_trans_sqw, `/`(`*`(`+`(`*`(`^`(E, 2)), `-`(`*`(`^`(p[2], 2), `*`(`^`(c, 2)))), `-`(`*`(`^`(p[3], 2), `*`(`^`(c, 2)))), `-`(`*`(`^`(p[4], 2), `*`(`^`(c, 2)))))), `*`(`^`(c, 2)))) (3.9)
 

and 

Typesetting:-mrow(Typesetting:-mi(=Typesetting:-mrow(Typesetting:-mi(. 

Differentiate 4-energy-momentum vector by interval: 

> P[1](t):=c*m/(1-(v[2](t)^2+v[3](t)^2+ v[4](t)^2) /c^2)^(1/2):
P[2](t):=m/(1-(v[2](t)^2+v[3](t)^2+ v[4](t)^2) /c^2)^(1/2)*v[2](t):
P[3](t):=m/(1-(v[2](t)^2+v[3](t)^2+ v[4](t)^2) /c^2)^(1/2)*v[3](t):
P[4](t):=m/(1-(v[2](t)^2+v[3](t)^2+ v[4](t)^2) /c^2)^(1/2)*v[4](t):
Dif_P(t):=create([-1],array([1/sqrt(1-(v[2](t)^ 2+v[3](t)^2+v[4](t)^2)/c^2)/c *diff(P[1](t),t),1/sqrt(1-(v[2](t)^2+ v[3](t)^2+v[4](t)^2)/c^2)/c* diff(P[2] (t),t),1/sqrt(1-(v[2](t)^2+v[3](t) ^2+v[4](t)^2)/c^2 )/c*diff(P[3](t), t),1/sqrt(1-(v[2](t)^2+v[3](t)^2+ v[4](t)^2)/c^2)/c* diff(P[4](t),t)]));
 

Typesetting:-mrow(Typesetting:-mrow(Typesetting:-mrow(Typesetting:-mi(
Typesetting:-mrow(Typesetting:-mrow(Typesetting:-mrow(Typesetting:-mi(
Typesetting:-mrow(Typesetting:-mrow(Typesetting:-mrow(Typesetting:-mi(
Typesetting:-mrow(Typesetting:-mrow(Typesetting:-mrow(Typesetting:-mi(
(3.10)
 

or 

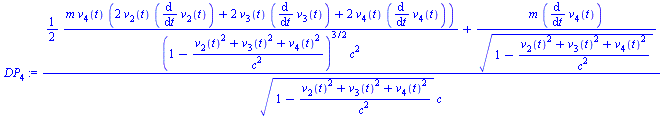
> DP[1]:=get_compts(Dif_P(t))[1];
DP[2]:=get_compts(Dif_P(t))[2];
DP[3]:=get_compts(Dif_P(t))[3];
DP[4]:=get_compts(Dif_P(t))[4];
 

`:=`(DP[1], `+`(`*`(`/`(1, 2), `*`(`/`(`*`(m, `*`(`+`(`*`(2, `*`(v[2](t), `*`(diff(v[2](t), t)))), `*`(2, `*`(v[3](t), `*`(diff(v[3](t), t)))), `*`(2, `*`(v[4](t), `*`(diff(v[4](t), t))))))), `*`(`^`(... (3.11)
 

`:=`(DP[2], `/`(`*`(`+`(`*`(`/`(1, 2), `*`(`/`(`*`(m, `*`(v[2](t), `*`(`+`(`*`(2, `*`(v[2](t), `*`(diff(v[2](t), t)))), `*`(2, `*`(v[3](t), `*`(diff(v[3](t), t)))), `*`(2, `*`(v[4](t), `*`(diff(v[4](t... (3.11)
 

`:=`(DP[3], `/`(`*`(`+`(`*`(`/`(1, 2), `*`(`/`(`*`(m, `*`(v[3](t), `*`(`+`(`*`(2, `*`(v[2](t), `*`(diff(v[2](t), t)))), `*`(2, `*`(v[3](t), `*`(diff(v[3](t), t)))), `*`(2, `*`(v[4](t), `*`(diff(v[4](t... (3.11)
 

`:=`(DP[4], `/`(`*`(`+`(`*`(`/`(1, 2), `*`(`/`(`*`(m, `*`(v[4](t), `*`(`+`(`*`(2, `*`(v[2](t), `*`(diff(v[2](t), t)))), `*`(2, `*`(v[3](t), `*`(diff(v[3](t), t)))), `*`(2, `*`(v[4](t), `*`(diff(v[4](t... (3.11)
 

These formulas can be rewritten as: 

> DP[1]:=m/(1-beta^2)^2/c^2*(v[2](t)*w[2] (t)+v[3] (t)*w[3](t)+v[4](t)*w[4](t));
DP[2]:=m/(1-beta^2)^2/c^3*v[2](t)*(v[2] (t)*w[2](t)+v[3](t)*w[3](t)+v[4](t)* w[4](t))+1/(1-beta^2)/c*w[2](t);
DP[3]:=m/(1-beta^2)^2/c^3*v[3](t)*(v[2](t)*w[2] (t)+v[3](t)*w[3](t)+v[4] (t)*w[4](t))+1/(1-beta^2)/c*w[3](t);
DP[4]:=m/(1-beta^2)^2/c^3*v[4](t)*(v[2](t)*w[2] (t)+v[3](t)*w[3](t)+v[4] (t)*w[4](t))+1/(1-beta^2)/c*w[4](t);
 

`:=`(DP[1], `/`(`*`(m, `*`(`+`(`*`(v[2](t), `*`(w[2](t))), `*`(v[3](t), `*`(w[3](t))), `*`(v[4](t), `*`(w[4](t)))))), `*`(`^`(`+`(1, `-`(`*`(`^`(beta, 2)))), 2), `*`(`^`(c, 2))))) (3.12)
 

`:=`(DP[2], `+`(`/`(`*`(m, `*`(v[2](t), `*`(`+`(`*`(v[2](t), `*`(w[2](t))), `*`(v[3](t), `*`(w[3](t))), `*`(v[4](t), `*`(w[4](t))))))), `*`(`^`(`+`(1, `-`(`*`(`^`(beta, 2)))), 2), `*`(`^`(c, 3)))), `/... (3.12)
 

`:=`(DP[3], `+`(`/`(`*`(m, `*`(v[3](t), `*`(`+`(`*`(v[2](t), `*`(w[2](t))), `*`(v[3](t), `*`(w[3](t))), `*`(v[4](t), `*`(w[4](t))))))), `*`(`^`(`+`(1, `-`(`*`(`^`(beta, 2)))), 2), `*`(`^`(c, 3)))), `/... (3.12)
 

`:=`(DP[4], `+`(`/`(`*`(m, `*`(v[4](t), `*`(`+`(`*`(v[2](t), `*`(w[2](t))), `*`(v[3](t), `*`(w[3](t))), `*`(v[4](t), `*`(w[4](t))))))), `*`(`^`(`+`(1, `-`(`*`(`^`(beta, 2)))), 2), `*`(`^`(c, 3)))), `/... (3.12)
 

Therefore, we have that derivatives of components of 4-energy-momentum vector differ from accel-eration components by the factor m/c. 

Now we denote derivatives of components of 4-energy-momentum vector by 

> f[1]:=m/(1-beta^2)^2/c^3*(v[2]*w[2]+v[3]*w[3]+v[4]*w[4]);
f[2]:=m/(1-beta^2)^2/c^4*v[2]*(v[2]*w[2]+v[3]*w[3]+v[4]*w[4])+m/(1-beta^2)/c^2* w[2];
f[3]:=m/(1-beta^2)^2/c^4*v[3]*(v[2]*w[2]+v[3]*w[3]+v[4]*w[4])+m/(1-beta^2) /c^2*w[3];
f[4]:=m/(1-beta^2)^2/c^4*v[4]*(v[2]*w[2]+v[3]*w[3]+v[4]*w[4])+m/(1-beta^2 )/c^2*w[4];
 

`:=`(f[1], `/`(`*`(m, `*`(`+`(`*`(v[2], `*`(w[2])), `*`(v[3], `*`(w[3])), `*`(v[4], `*`(w[4]))))), `*`(`^`(`+`(1, `-`(`*`(`^`(beta, 2)))), 2), `*`(`^`(c, 3))))) (3.13)
 

`:=`(f[2], `+`(`/`(`*`(m, `*`(v[2], `*`(`+`(`*`(v[2], `*`(w[2])), `*`(v[3], `*`(w[3])), `*`(v[4], `*`(w[4])))))), `*`(`^`(`+`(1, `-`(`*`(`^`(beta, 2)))), 2), `*`(`^`(c, 4)))), `/`(`*`(m, `*`(w[2])), `... (3.13)
 

`:=`(f[3], `+`(`/`(`*`(m, `*`(v[3], `*`(`+`(`*`(v[2], `*`(w[2])), `*`(v[3], `*`(w[3])), `*`(v[4], `*`(w[4])))))), `*`(`^`(`+`(1, `-`(`*`(`^`(beta, 2)))), 2), `*`(`^`(c, 4)))), `/`(`*`(m, `*`(w[3])), `... (3.13)
 

`:=`(f[4], `+`(`/`(`*`(m, `*`(v[4], `*`(`+`(`*`(v[2], `*`(w[2])), `*`(v[3], `*`(w[3])), `*`(v[4], `*`(w[4])))))), `*`(`^`(`+`(1, `-`(`*`(`^`(beta, 2)))), 2), `*`(`^`(c, 4)))), `/`(`*`(m, `*`(w[4])), `... (3.13)
 

whence 

Typesetting:-mrow(Typesetting:-mi( 

and 4-force vector is: 

> F:=create([-1],array([f[1],f[2],f[3],f[4]]));
 

Typesetting:-mrow(Typesetting:-mrow(Typesetting:-mi(
Typesetting:-mrow(Typesetting:-mrow(Typesetting:-mi(
(3.14)
 

or 

> F:=create([-1],array([(v[2]*f[2]+v[3]*f[3]+v[4]*f[4])/c,f[2],f[3],f[4]])):
 

4. Tensor of electromagnetic field 

Consider covariant 4-tensor of electromagnetic field: 

> T[1,2]:=E[1]; T[1,3]:=E[2]; T[1,4]:=E[3]; T[2,3]:=-H[3]; T[2,4]:=H[2]; T[3,4]:=-H[1];
F:=create([-1,-1],array(1..4,1..4,sparse,[[0,T[1,2],T[1,3],T[1,4]],[-T[1,2],0,T[2,3],T[2,4]],[-T[1,3],-T[2,3],0,T[3,4]],[-T[1,4],-T[2,4],-T[3,4],0]]));
 

`:=`(T[1, 2], E[1]) (4.1)
 

`:=`(T[1, 3], E[2]) (4.1)
 

`:=`(T[1, 4], E[3]) (4.1)
 

`:=`(T[2, 3], `+`(`-`(H[3]))) (4.1)
 

`:=`(T[2, 4], H[2]) (4.1)
 

`:=`(T[3, 4], `+`(`-`(H[1]))) (4.1)
 

Typesetting:-mrow(Typesetting:-mrow(Typesetting:-mi( (4.1)
 

Contravariant tensor of electromagnetic field is: 

> F_contr:=raise(g_contr,raise(g_contr,F,1),2);
 

Typesetting:-mrow(Typesetting:-mrow(Typesetting:-mi( (4.2)
 

Dual tensor to covariant tensor of electromagnetic field is: 

> Levi_Civita (detg,4,cov_LC,con_LC);
F_star:=dual(con_LC,F,[1,2]);
 

Typesetting:-mrow(Typesetting:-mrow(Typesetting:-mi( (4.3)
 

Dual tensor to contravariant tensor of electromagnetic field is: 

> F_star_cov:=lower(g,lower(g,F_star,1),2);
 

Typesetting:-mrow(Typesetting:-mrow(Typesetting:-mi( (4.4)
 

Calculate invariants of electromagnetic field: 

> INV[1]:=get_compts(prod(F,F_contr,[1,1], [2,2]));
 

`:=`(INV[1], `+`(`-`(`*`(2, `*`(`^`(E[1], 2)))), `-`(`*`(2, `*`(`^`(E[2], 2)))), `-`(`*`(2, `*`(`^`(E[3], 2)))), `*`(2, `*`(`^`(H[3], 2))), `*`(2, `*`(`^`(H[2], 2))), `*`(2, `*`(`^`(H[1], 2))))) (4.5)
 

> INV[2]:=get_compts(prod(F,F_star,[1,1], [2,2]));
 

`:=`(INV[2], `+`(`*`(4, `*`(E[1], `*`(H[1]))), `*`(4, `*`(E[2], `*`(H[2]))), `*`(4, `*`(E[3], `*`(H[3]))))) (4.6)
 

Components of  tensor of electromagnetic field will transform with Lorentz transformations as 

> dim:=4: Coord_1:=[t,x,y,z]; Coord_2:=[t,x,y,z];
CHANG:=[t=gamma*(t-beta*x),x=gamma*(x-beta*t),y=y,z=z];
Jacobian(Coord_2,CHANG,tr,TR);op(tr):op(TR);
 

`:=`(Coord_1, [t, x, y, z]) (4.7)
 

`:=`(Coord_2, [t, x, y, z]) (4.7)
 

`:=`(CHANG, [t = `*`(gamma, `*`(`+`(t, `-`(`*`(beta, `*`(x)))))), x = `*`(gamma, `*`(`+`(x, `-`(`*`(beta, `*`(t)))))), y = y, z = z]) (4.7)
 

Typesetting:-mrow(Typesetting:-mrow(Typesetting:-mi( (4.7)
 

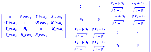
> F_trans:=transform(F,CHANG,tr,TR);
 

Typesetting:-mrow(Typesetting:-mrow(Typesetting:-mi( (4.8)
 

or 

> matrix([[0,E_trans[1],E_trans[2],E_trans[3]],[-E_trans[1],0,-H_trans[3],H_trans[2]],[-E_trans[2],H[3],0,-H_trans[1]],[-E_trans[3],-H_trans[2],H_trans[1],0]])=simplify(subs(gamma=1/sqrt(1-beta^2),matrix([[0,-gamma^2*beta^2*E[1]+gamma^2*E[1],gamma*E[2]+gamma*beta*H[3],gamma*E[3]-gamma*beta*H[2]],[-gamma^2*E[1]+gamma^2*beta^2*E[1],0,-gamma*beta*E[2]-gamma*H[3],-gamma*beta*E[3]+gamma*H[2]],[-gamma*E[2] -gamma*beta*H[3],gamma*beta*E[2]+gamma*H [3],0,-H[1]],[-gamma*E[3]+gamma*beta*H[2], gamma*beta*E[3]-gamma*H[2],H[1],0]])));
 

Typesetting:-mrow(Typesetting:-mrow(Typesetting:-mfenced(Typesetting:-mrow(Typesetting:-mtable(Typesetting:-mtr(Typesetting:-mtd(Typesetting:-mn( (4.9)
 

5. Energy-momentum tensor of electromagnetic field 

Consider covariant 4-tensor of electromagnetic field: 

> T[1,2]:=E[1]; T[1,3]:=E[2]; T[1,4]:=E[3]; T[2,3]:=-H[3]; T[2,4]:=H[2]; T[3,4]:=-H[1];
F:=create([-1,-1],array(1..4,1..4,sparse, [[0,T[1,2],T[1,3],T[1,4]],[-T[1,2],0,T[2, 3],T[2,4]],[-T[1,3],-T[2,3],0,T[3,4]],[-T[1,4],-T[2,4],-T[3,4],0]]));
 

`:=`(T[1, 2], E[1]) (5.1)
 

`:=`(T[1, 3], E[2]) (5.1)
 

`:=`(T[1, 4], E[3]) (5.1)
 

`:=`(T[2, 3], `+`(`-`(H[3]))) (5.1)
 

`:=`(T[2, 4], H[2]) (5.1)
 

`:=`(T[3, 4], `+`(`-`(H[1]))) (5.1)
 

Typesetting:-mrow(Typesetting:-mrow(Typesetting:-mi( (5.1)
 

Mixed and contravariant 4-tensors of electromagnetic field are: 

> F_:=raise(g_contr,F,1);
F_contr:=raise(g_contr,raise(g_contr,F,1),2);
 

Typesetting:-mrow(Typesetting:-mrow(Typesetting:-mi( (5.2)
 

Typesetting:-mrow(Typesetting:-mrow(Typesetting:-mi( (5.2)
 

Calculate miscellaneous functions: 

> T1:=prod(F_contr,F_,[2,2]);
T2:=prod(F,F_contr,[1,1],[2,2]);
 

Typesetting:-mrow(Typesetting:-mrow(Typesetting:-mi( (5.3)
 

`:=`(T2, TABLE([index_char = [], compts = `+`(`-`(`*`(2, `*`(`^`(E[1], 2)))), `-`(`*`(2, `*`(`^`(E[2], 2)))), `-`(`*`(2, `*`(`^`(E[3], 2)))), `*`(2, `*`(`^`(H[3], 2))), `*`(2, `*`(`^`(H[2], 2))), `*`(... (5.3)
 

or 

> T2:=-2*E[1]^2-2*E[2]^2-2*E[3]^2+2*H[3]^2+2*H[2]^2+2*H[1]^2;
 

`:=`(T2, `+`(`-`(`*`(2, `*`(`^`(E[1], 2)))), `-`(`*`(2, `*`(`^`(E[2], 2)))), `-`(`*`(2, `*`(`^`(E[3], 2)))), `*`(2, `*`(`^`(H[3], 2))), `*`(2, `*`(`^`(H[2], 2))), `*`(2, `*`(`^`(H[1], 2))))) (5.4)
 

So contravariant energy-momentum tensor of electromagnetic field is 

> T[1,1]:=simplify(1/4/Pi*(-get_compts(T1) [1,1]+ 1/4*get_compts(g_contr)[1,1]*T2));
T[1,2]:=simplify(1/4/Pi*(-get_compts(T1) [1,2]+ 1/4*get_compts(g_contr)[1,2]*T2));
T[1,3]:=simplify(1/4/Pi*(-get_compts(T1) [1,3]+1/4*get_compts(g_contr)[1,3]*T2));
T[1,4]:=simplify(1/4/Pi*(-get_compts(T1) [1,4]+1/4*get_compts(g_contr)[1,4]*T2));
T[2,2]:=simplify(1/4/Pi*(-get_compts(T1) [2,2]+1/4*get_compts(g_contr)[2,2]*T2));
T[2,3]:=simplify(1/4/Pi*(-get_compts(T1) [2,3] +1/4*get_compts(g_contr)[2,3]*T2));
T[2,4]:=simplify(1/4/Pi*(-get_compts(T1) [2,4]+ 1/4*get_compts(g_contr)[2,4]*T2));
T[3,3]:=simplify(1/4/Pi*(-get_compts(T1) [3,3]+ 1/4*get_compts(g_contr)[3,3]*T2));
T[3,4]:=simplify(1/4/Pi*(-get_compts(T1) [3,4]+ 1/4*get_compts(g_contr)[3,4]*T2));
T[4,4]:=simplify(1/4/Pi*(-get_compts(T1) [4,4]+ 1/4*get_compts(g_contr)[4,4]*T2));
 

`:=`(T[1, 1], `+`(`*`(`/`(1, 8), `*`(`/`(`*`(`+`(`*`(`^`(E[1], 2)), `*`(`^`(E[2], 2)), `*`(`^`(E[3], 2)), `*`(`^`(H[3], 2)), `*`(`^`(H[2], 2)), `*`(`^`(H[1], 2)))), `*`(Pi)))))) (5.5)
 

`:=`(T[1, 2], `+`(`*`(`/`(1, 4), `*`(`/`(`*`(`+`(`*`(E[2], `*`(H[3])), `-`(`*`(E[3], `*`(H[2]))))), `*`(Pi)))))) (5.5)
 

`:=`(T[1, 3], `+`(`-`(`*`(`/`(1, 4), `*`(`/`(`*`(`+`(`*`(E[1], `*`(H[3])), `-`(`*`(E[3], `*`(H[1]))))), `*`(Pi))))))) (5.5)
 

`:=`(T[1, 4], `+`(`*`(`/`(1, 4), `*`(`/`(`*`(`+`(`*`(E[1], `*`(H[2])), `-`(`*`(E[2], `*`(H[1]))))), `*`(Pi)))))) (5.5)
 

`:=`(T[2, 2], `+`(`-`(`*`(`/`(1, 8), `*`(`/`(`*`(`+`(`*`(`^`(E[1], 2)), `-`(`*`(`^`(H[3], 2))), `-`(`*`(`^`(H[2], 2))), `-`(`*`(`^`(E[2], 2))), `-`(`*`(`^`(E[3], 2))), `*`(`^`(H[1], 2)))), `*`(Pi)))))... (5.5)
 

`:=`(T[2, 3], `+`(`-`(`*`(`/`(1, 4), `*`(`/`(`*`(`+`(`*`(E[1], `*`(E[2])), `*`(H[2], `*`(H[1])))), `*`(Pi))))))) (5.5)
 

`:=`(T[2, 4], `+`(`-`(`*`(`/`(1, 4), `*`(`/`(`*`(`+`(`*`(E[1], `*`(E[3])), `*`(H[3], `*`(H[1])))), `*`(Pi))))))) (5.5)
 

`:=`(T[3, 3], `+`(`*`(`/`(1, 8), `*`(`/`(`*`(`+`(`-`(`*`(`^`(E[2], 2))), `*`(`^`(H[3], 2)), `*`(`^`(H[1], 2)), `*`(`^`(E[1], 2)), `*`(`^`(E[3], 2)), `-`(`*`(`^`(H[2], 2))))), `*`(Pi)))))) (5.5)
 

`:=`(T[3, 4], `+`(`-`(`*`(`/`(1, 4), `*`(`/`(`*`(`+`(`*`(E[2], `*`(E[3])), `*`(H[3], `*`(H[2])))), `*`(Pi))))))) (5.5)
 

`:=`(T[4, 4], `+`(`*`(`/`(1, 8), `*`(`/`(`*`(`+`(`-`(`*`(`^`(E[3], 2))), `*`(`^`(H[2], 2)), `*`(`^`(H[1], 2)), `*`(`^`(E[1], 2)), `*`(`^`(E[2], 2)), `-`(`*`(`^`(H[3], 2))))), `*`(Pi)))))) (5.5)
 

> T_EP_contr:=create([1,1],array(1..4,1..4,sparse,[[T[1,1],T[1,2],T[1,3],T[1,4]],[T[1,2],T[2,2],T[2,3],T[2,4]],[T[1,3],T[2,3],T[3,3],T[3,4]],[T[1,4],T[2,4],T[3,4],T[4,4]]]));
 

Typesetting:-mrow(Typesetting:-mrow(Typesetting:-mi(
Typesetting:-mrow(Typesetting:-mrow(Typesetting:-mi(
Typesetting:-mrow(Typesetting:-mrow(Typesetting:-mi(
Typesetting:-mrow(Typesetting:-mrow(Typesetting:-mi(
Typesetting:-mrow(Typesetting:-mrow(Typesetting:-mi(
(5.6)
 

or in standart denotes 

> w=1/8*(E[1]^2+E[2]^2+E[3]^2+H[3]^2+H[2]^2+H[1]^2)/Pi;
T[1,1]:=w;
S[1]=c*1/4*1/Pi*(E[2]*H[3]-E[3]*H[2]);
T[1,2]:=S[1]/c;
S[2]=-1/4*(E[1]*H[3]-E[3]*H[1])/Pi;
T[1,3]:=S[2]/c;
S[3]=1/4*1/Pi*(E[1]*H[2]-E[2]*H[1]);
T[1,4]:=S[3]/c;
sigma[2,2]=-1/8*(E[1]^2-H[3]^2-H[2]^2-E[2]^2-E[3]^2+H[1]^2)/Pi;
T[2,2]:=sigma[2,2];
sigma[2,3]=-1/4*(E[1]*E[2]+H[2]*H[1])/Pi;
T[2,3]:=sigma[2,3];
sigma[2,4]=-1/4*(E[1]*E[3]+H[3]*H[1])/Pi;
T[2,4]:=sigma[2,4];
sigma[3,3]=1/8*(-E[2]^2+H[3]^2+H[1] ^2+E[1]^2+E[3]^2-H[2]^2)/Pi;
T[3,3]:=sigma[3,3];
sigma[3,4]=-1/4*(E[2]*E[3]+H[3]*H[2])/Pi;
T[3,4]:=sigma[3,4];
sigma[4,4]=1/8*(-E[3]^2+H[2]^2+H[1] ^2+E[1]^2 +E[2]^2-H[3]^2)/Pi;
T[4,4]:=sigma[4,4];
 

w = `+`(`*`(`/`(1, 8), `*`(`/`(`*`(`+`(`*`(`^`(E[1], 2)), `*`(`^`(E[2], 2)), `*`(`^`(E[3], 2)), `*`(`^`(H[3], 2)), `*`(`^`(H[2], 2)), `*`(`^`(H[1], 2)))), `*`(Pi))))) (5.7)
 

`:=`(T[1, 1], w) (5.7)
 

S[1] = `+`(`*`(`/`(1, 4), `*`(`/`(`*`(c, `*`(`+`(`*`(E[2], `*`(H[3])), `-`(`*`(E[3], `*`(H[2])))))), `*`(Pi))))) (5.7)
 

`:=`(T[1, 2], `/`(`*`(S[1]), `*`(c))) (5.7)
 

S[2] = `+`(`-`(`*`(`/`(1, 4), `*`(`/`(`*`(`+`(`*`(E[1], `*`(H[3])), `-`(`*`(E[3], `*`(H[1]))))), `*`(Pi)))))) (5.7)
 

`:=`(T[1, 3], `/`(`*`(S[2]), `*`(c))) (5.7)
 

S[3] = `+`(`*`(`/`(1, 4), `*`(`/`(`*`(`+`(`*`(E[1], `*`(H[2])), `-`(`*`(E[2], `*`(H[1]))))), `*`(Pi))))) (5.7)
 

`:=`(T[1, 4], `/`(`*`(S[3]), `*`(c))) (5.7)
 

sigma[2, 2] = `+`(`-`(`*`(`/`(1, 8), `*`(`/`(`*`(`+`(`*`(`^`(E[1], 2)), `-`(`*`(`^`(H[3], 2))), `-`(`*`(`^`(H[2], 2))), `-`(`*`(`^`(E[2], 2))), `-`(`*`(`^`(E[3], 2))), `*`(`^`(H[1], 2)))), `*`(Pi)))))... (5.7)
 

`:=`(T[2, 2], sigma[2, 2]) (5.7)
 

sigma[2, 3] = `+`(`-`(`*`(`/`(1, 4), `*`(`/`(`*`(`+`(`*`(E[1], `*`(E[2])), `*`(H[2], `*`(H[1])))), `*`(Pi)))))) (5.7)
 

`:=`(T[2, 3], sigma[2, 3]) (5.7)
 

sigma[2, 4] = `+`(`-`(`*`(`/`(1, 4), `*`(`/`(`*`(`+`(`*`(E[1], `*`(E[3])), `*`(H[3], `*`(H[1])))), `*`(Pi)))))) (5.7)
 

`:=`(T[2, 4], sigma[2, 4]) (5.7)
 

sigma[3, 3] = `+`(`*`(`/`(1, 8), `*`(`/`(`*`(`+`(`-`(`*`(`^`(E[2], 2))), `*`(`^`(H[3], 2)), `*`(`^`(H[1], 2)), `*`(`^`(E[1], 2)), `*`(`^`(E[3], 2)), `-`(`*`(`^`(H[2], 2))))), `*`(Pi))))) (5.7)
 

`:=`(T[3, 3], sigma[3, 3]) (5.7)
 

sigma[3, 4] = `+`(`-`(`*`(`/`(1, 4), `*`(`/`(`*`(`+`(`*`(E[2], `*`(E[3])), `*`(H[3], `*`(H[2])))), `*`(Pi)))))) (5.7)
 

`:=`(T[3, 4], sigma[3, 4]) (5.7)
 

sigma[4, 4] = `+`(`*`(`/`(1, 8), `*`(`/`(`*`(`+`(`-`(`*`(`^`(E[3], 2))), `*`(`^`(H[2], 2)), `*`(`^`(H[1], 2)), `*`(`^`(E[1], 2)), `*`(`^`(E[2], 2)), `-`(`*`(`^`(H[3], 2))))), `*`(Pi))))) (5.7)
 

`:=`(T[4, 4], sigma[4, 4]) (5.7)
 

> T_EP_contr:=create([1,1],array(1..4,1..4,sparse,[[T[1,1],T[1,2],T[1,3],T[1,4]],[T[1,2],T[2,2],T[2,3],T[2,4]],[T[1,3],T[2,3],T[3,3],T[3,4]],[T[1,4],T[2,4],T[3,4],T[4,4]]]));
 

Typesetting:-mrow(Typesetting:-mrow(Typesetting:-mi( (5.8)
 

Covariant energy-momentum tensor of electromagnetic field is 

> T_EP:=lower(g,lower(g,T_EP_contr,1),2);
 

Typesetting:-mrow(Typesetting:-mrow(Typesetting:-mi( (5.9)
 

Components of  energy-momentum tensor will transform with Lorentz transformations as 

> dim:=4: Coord_1:=[t,x,y,z]; Coord_2:=[t,x,y,z];
CHANG:=[t=gamma*(t-beta*x),x=gamma*(x-beta*t),y=y,z=z];
Jacobian(Coord_2,CHANG,tr,TR);op(tr):op(TR);
 

`:=`(Coord_1, [t, x, y, z]) (5.10)
 

`:=`(Coord_2, [t, x, y, z]) (5.10)
 

`:=`(CHANG, [t = `*`(gamma, `*`(`+`(t, `-`(`*`(beta, `*`(x)))))), x = `*`(gamma, `*`(`+`(x, `-`(`*`(beta, `*`(t)))))), y = y, z = z]) (5.10)
 

Typesetting:-mrow(Typesetting:-mrow(Typesetting:-mi( (5.10)
 

> T_EP_trans:=collect(transform(T_EP,CHANG, tr, TR),[gamma,beta,c]);
 

Typesetting:-mrow(Typesetting:-mrow(Typesetting:-mi(
Typesetting:-mrow(Typesetting:-mrow(Typesetting:-mi(
(5.11)
 

or 

> T_EP_trans[1,1]=get_compts(T_EP_trans)[1,1];
T_EP_trans[1,2]=get_compts(T_EP_trans)[1,2];
T_EP_trans[1,3]=get_compts(T_EP_trans)[1,3];
T_EP_trans[1,4]=get_compts(T_EP_trans)[1,4];
T_EP_trans[2,2]=get_compts(T_EP_trans)[2,2];
T_EP_trans[2,3]=get_compts(T_EP_trans)[2,3];
T_EP_trans[2,4]=get_compts(T_EP_trans)[2,4];
T_EP_trans[3,3]=get_compts(T_EP_trans)[3,3];
T_EP_trans[3,4]=get_compts(T_EP_trans)[3,4];
T_EP_trans[4,4]=get_compts(T_EP_trans)[4,4];
 

T_EP_trans[1, 1] = `*`(`+`(`*`(sigma[2, 2], `*`(`^`(beta, 2))), `/`(`*`(2, `*`(S[1], `*`(beta))), `*`(c)), w), `*`(`^`(gamma, 2))) (5.12)
 

T_EP_trans[1, 2] = `*`(`+`(`-`(`/`(`*`(S[1], `*`(`^`(beta, 2))), `*`(c))), `*`(`+`(`-`(w), `-`(sigma[2, 2])), `*`(beta)), `-`(`/`(`*`(S[1]), `*`(c)))), `*`(`^`(gamma, 2))) (5.12)
 

T_EP_trans[1, 3] = `*`(`+`(`-`(`*`(sigma[2, 3], `*`(beta))), `-`(`/`(`*`(S[2]), `*`(c)))), `*`(gamma)) (5.12)
 

T_EP_trans[1, 4] = `*`(`+`(`-`(`*`(sigma[2, 4], `*`(beta))), `-`(`/`(`*`(S[3]), `*`(c)))), `*`(gamma)) (5.12)
 

T_EP_trans[2, 2] = `*`(`+`(`*`(w, `*`(`^`(beta, 2))), `/`(`*`(2, `*`(S[1], `*`(beta))), `*`(c)), sigma[2, 2]), `*`(`^`(gamma, 2))) (5.12)
 

T_EP_trans[2, 3] = `*`(`+`(`/`(`*`(S[2], `*`(beta)), `*`(c)), sigma[2, 3]), `*`(gamma)) (5.12)
 

T_EP_trans[2, 4] = `*`(`+`(`/`(`*`(S[3], `*`(beta)), `*`(c)), sigma[2, 4]), `*`(gamma)) (5.12)
 

T_EP_trans[3, 3] = sigma[3, 3] (5.12)
 

T_EP_trans[3, 4] = sigma[3, 4] (5.12)
 

T_EP_trans[4, 4] = sigma[4, 4] (5.12)
 

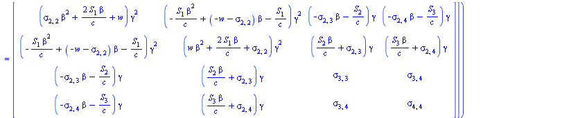
So energy density (w), components of energy flux density vector (S) and components of Maxwell stress tensor (Typesetting:-mrow(Typesetting:-msub(Typesetting:-mi() will transform as 

> w_trans=(sigma[2,2]*beta^2+2*S[1]/c*beta+ w)*gamma^2;
S_trans[1]=(-S[1]/c*beta^2+(-w-sigma[2,2]) *beta-S[1]/c)*gamma^2;
S_trans[2]=(-sigma[2,3]*beta-S[2]/c)*gamma;
S_trans[3]=(-sigma[2,4]*beta-S[3]/c)*gamma;
sigma_trans[2,2]=(w*beta^2+2*S[1]/c*beta+sigma[2,2])*gamma^2;
sigma_trans[2,3]=(S[2]/c*beta+sigma[2,3])*gamma;
sigma_trans[2,4]=(S[3]/c*beta+sigma[2,4])*gamma;
sigma_trans[3,3]=sigma[3,3];
sigma_trans[3,4]=sigma[3,4];
sigma_trans[4,4]=sigma[4,4];
 

w_trans = `*`(`+`(`*`(sigma[2, 2], `*`(`^`(beta, 2))), `/`(`*`(2, `*`(S[1], `*`(beta))), `*`(c)), w), `*`(`^`(gamma, 2))) (5.13)
 

S_trans[1] = `*`(`+`(`-`(`/`(`*`(S[1], `*`(`^`(beta, 2))), `*`(c))), `*`(`+`(`-`(w), `-`(sigma[2, 2])), `*`(beta)), `-`(`/`(`*`(S[1]), `*`(c)))), `*`(`^`(gamma, 2))) (5.13)
 

S_trans[2] = `*`(`+`(`-`(`*`(sigma[2, 3], `*`(beta))), `-`(`/`(`*`(S[2]), `*`(c)))), `*`(gamma)) (5.13)
 

S_trans[3] = `*`(`+`(`-`(`*`(sigma[2, 4], `*`(beta))), `-`(`/`(`*`(S[3]), `*`(c)))), `*`(gamma)) (5.13)
 

sigma_trans[2, 2] = `*`(`+`(`*`(w, `*`(`^`(beta, 2))), `/`(`*`(2, `*`(S[1], `*`(beta))), `*`(c)), sigma[2, 2]), `*`(`^`(gamma, 2))) (5.13)
 

sigma_trans[2, 3] = `*`(`+`(`/`(`*`(S[2], `*`(beta)), `*`(c)), sigma[2, 3]), `*`(gamma)) (5.13)
 

sigma_trans[2, 4] = `*`(`+`(`/`(`*`(S[3], `*`(beta)), `*`(c)), sigma[2, 4]), `*`(gamma)) (5.13)
 

sigma_trans[3, 3] = sigma[3, 3] (5.13)
 

sigma_trans[3, 4] = sigma[3, 4] (5.13)
 

sigma_trans[4, 4] = sigma[4, 4] (5.13)
 

6. Energy-momentum tensor of macroscopic particles 

Consider energy-momentum tensor of macroscopic particles: 

> w:=epsilon; S[1]:=0; S[2]:=0; S[3]:=0;
sigma[2,2]:=p; sigma[2,3]:=0; sigma[2,4]:=0; sigma[3,3]:=p; sigma[3,4]:=0; sigma[4,4]:=p;
 

`:=`(w, epsilon) (6.1)
 

`:=`(S[1], 0) (6.1)
 

`:=`(S[2], 0) (6.1)
 

`:=`(S[3], 0) (6.1)
 

`:=`(sigma[2, 2], p) (6.1)
 

`:=`(sigma[2, 3], 0) (6.1)
 

`:=`(sigma[2, 4], 0) (6.1)
 

`:=`(sigma[3, 3], p) (6.1)
 

`:=`(sigma[3, 4], 0) (6.1)
 

`:=`(sigma[4, 4], p) (6.1)
 

Components of  energy-momentum tensor of macroscopic particleswill transform with Lorentz transformations as 

> T_EP_trans[1,1]=get_compts(T_EP_trans)[1,1];
T_EP_trans[1,2]=get_compts(T_EP_trans)[1,2];
T_EP_trans[1,3]=get_compts(T_EP_trans)[1,3];
T_EP_trans[1,4]=get_compts(T_EP_trans)[1,4];
T_EP_trans[2,2]=get_compts(T_EP_trans)[2,2];
T_EP_trans[2,3]=get_compts(T_EP_trans)[2,3];
T_EP_trans[2,4]=get_compts(T_EP_trans)[2,4];
T_EP_trans[3,3]=get_compts(T_EP_trans)[3,3];
T_EP_trans[3,4]=get_compts(T_EP_trans)[3,4];
T_EP_trans[4,4]=get_compts(T_EP_trans)[4,4];
 

T_EP_trans[1, 1] = `*`(`+`(`*`(p, `*`(`^`(beta, 2))), epsilon), `*`(`^`(gamma, 2))) (6.2)
 

T_EP_trans[1, 2] = `*`(`+`(`-`(epsilon), `-`(p)), `*`(beta, `*`(`^`(gamma, 2)))) (6.2)
 

T_EP_trans[1, 3] = 0 (6.2)
 

T_EP_trans[1, 4] = 0 (6.2)
 

T_EP_trans[2, 2] = `*`(`+`(`*`(epsilon, `*`(`^`(beta, 2))), p), `*`(`^`(gamma, 2))) (6.2)
 

T_EP_trans[2, 3] = 0 (6.2)
 

T_EP_trans[2, 4] = 0 (6.2)
 

T_EP_trans[3, 3] = p (6.2)
 

T_EP_trans[3, 4] = 0 (6.2)
 

T_EP_trans[4, 4] = p (6.2)
 

or in standart denotes 

> w_trans=(sigma[2,2]*beta^2+2*S[1]/c*beta+w)*gamma^2;
S_trans[2]=(-S[1]/c*beta^2+(-w-sigma[2,2]) *beta-S[1]/c)*gamma^2;
S_trans[3]=(-sigma[2,3]*beta-S[2]/c)*gamma;
S_trans[4]=(-sigma[2,4]*beta-S[3]/c)*gamma;
sigma_trans[2,2]=(w*beta^2+2*S[1]/c*beta+sigma[2,2])*gamma^2;
sigma_trans[2,3]=(S[2]/c*beta+sigma[2,3])*gamma;
sigma_trans[2,4]=(S[3]/c*beta+sigma[2,4])*gamma;
sigma_trans[3,3]=sigma[3,3];
sigma_trans[3,4]=sigma[3,4];
sigma_trans[4,4]=sigma[4,4];
 

w_trans = `*`(`+`(`*`(p, `*`(`^`(beta, 2))), epsilon), `*`(`^`(gamma, 2))) (6.3)
 

S_trans[2] = `*`(`+`(`-`(epsilon), `-`(p)), `*`(beta, `*`(`^`(gamma, 2)))) (6.3)
 

S_trans[3] = 0 (6.3)
 

S_trans[4] = 0 (6.3)
 

sigma_trans[2, 2] = `*`(`+`(`*`(epsilon, `*`(`^`(beta, 2))), p), `*`(`^`(gamma, 2))) (6.3)
 

sigma_trans[2, 3] = 0 (6.3)
 

sigma_trans[2, 4] = 0 (6.3)
 

sigma_trans[3, 3] = p (6.3)
 

sigma_trans[3, 4] = 0 (6.3)
 

sigma_trans[4, 4] = p (6.3)
 

7. Energy-momentum tensor of plane electromagnetic wave 

Consider plane electromagnetic wave with filed vectors: 

> H[1]:=0; E[1]:=0; H[2]:=-E[3]; H[3]:=E[2];
 

`:=`(H[1], 0) (7.1)
 

`:=`(E[1], 0) (7.1)
 

`:=`(H[2], `+`(`-`(E[3]))) (7.1)
 

`:=`(H[3], E[2]) (7.1)
 

So energy-momentum tensor of plane electromagnetic wave is 

> T_EP_contr:=TABLE([compts=matrix([[1/8*(E[1]^2+E[2]^2+E[3]^2+H[3]^2+H[2]^2+H[1]^2)/Pi,1/4*1/Pi*(E[2]*H[3]-E[3]*H[2]),-1/4*(E[1]*H[3]-E[3]*H[1])/Pi,1/4*1/Pi*(E[1]*H[2]-E[2]*H[1])],[1/4*1/Pi*(E[2]*H[3]-E[3]*H[2]),-1/8*(E[1]^2-H[3]^2-H[2]^2-E[2]^2-E[3]^2+H[1]^2)/Pi,-1/4*(E[1]*E[2]+H[2]*H[1])/Pi,-1/4*(E[1]*E[3]+H[3]*H[1])/Pi],[-1/4*(E[1]*H[3]-E[3]*H[1])/Pi,-1/4*(E[1]*E[2]+H[2]*H[1])/Pi,1/8*(-E[2]^2+H[3]^2+H[1]^2+E[1]^2+E[3]^2-H[2]^2)/Pi,-1/4*(E[2]*E[3]+H[3]*H[2])/Pi],[1/4*1/Pi*(E[1]*H[2]-E[2]*H[1]),-1/4*(E[1]*E[3]+H[3]*H[1])/Pi,-1/4*(E[2]*E[3]+H[3]*H[2])/Pi,1/8*(-E[3]^2+H[2]^2+H[1]^2+E[1]^2+E[2]^2-H[3]^2)/Pi]]), index_char=[1,1]]);
 

Typesetting:-mrow(Typesetting:-mrow(Typesetting:-mi( (7.2)
 

or 

> w:=1/4*(E[2]^2+E[3]^2)/Pi; S[2]:=c*w; S[3]:=0; S[4]:=0; sigma[2,2]:=w;
sigma[2,3]:=0; sigma[2,4]:=0; sigma[3,3]:=0; sigma[3,4]:=0; sigma[4,4]:=0; p:=0;
T_EP := TABLE([index_char = [-1, -1], compts = matrix([[w, -S[1]/c, -S[2]/c, -S[3]/c], [-S[1]/c, sigma[2,2], sigma[2,3], sigma[2,4]], [-S[2]/c, sigma[2,3], sigma[3,3], sigma[3,4]], [-S[3]/c, sigma[2,4], sigma[3,4], sigma[4,4]]])]);
 

`:=`(w, `+`(`*`(`/`(1, 4), `*`(`/`(`*`(`+`(`*`(`^`(E[2], 2)), `*`(`^`(E[3], 2)))), `*`(Pi)))))) (7.3)
 

`:=`(S[2], `+`(`*`(`/`(1, 4), `*`(`/`(`*`(`+`(`*`(`^`(E[2], 2)), `*`(`^`(E[3], 2))), `*`(c)), `*`(Pi)))))) (7.3)
 

`:=`(S[3], 0) (7.3)
 

`:=`(S[4], 0) (7.3)
 

`:=`(sigma[2, 2], `+`(`*`(`/`(1, 4), `*`(`/`(`*`(`+`(`*`(`^`(E[2], 2)), `*`(`^`(E[3], 2)))), `*`(Pi)))))) (7.3)
 

`:=`(sigma[2, 3], 0) (7.3)
 

`:=`(sigma[2, 4], 0) (7.3)
 

`:=`(sigma[3, 3], 0) (7.3)
 

`:=`(sigma[3, 4], 0) (7.3)
 

`:=`(sigma[4, 4], 0) (7.3)
 

`:=`(p, 0) (7.3)
 

Typesetting:-mrow(Typesetting:-mrow(Typesetting:-mi( (7.3)
 

8. General Lorentz transformations 

Consider general Lorentz transformations. 

> restart;
 

> with(tensor):with(linalg):
 

> g11:=1: g22:=-1: g33:=-1: g44:=-1:
g:=create([-1,-1],array(1..4,1..4,symmetric,sparse,[(1,1)=g11(r,theta),(2,2)=g22(r,theta),(3,3)=g33(r,theta),(4,4)=g44(r,theta)]));
g_matrix:=matrix([[1, 0, 0, 0], [0, -1, 0, 0], [0, 0, -1, 0], [0, 0, 0, -1]]);
detg:=det(g_matrix);
`tensor/simp`:= proc(a) simplify(a); end:
g_contr := invert(g, 'det_g');
 

Typesetting:-mrow(Typesetting:-mrow(Typesetting:-mi( (8.1)
 

Typesetting:-mrow(Typesetting:-mrow(Typesetting:-mi( (8.1)
 

`:=`(detg, -1) (8.1)
 

Typesetting:-mrow(Typesetting:-mrow(Typesetting:-mi( (8.1)
 

> dim:=4:
Coord_1:=[t,x,y,z]; Coord_2:=[t,x,y,z];
 

`:=`(Coord_1, [t, x, y, z]) (8.2)
 

`:=`(Coord_2, [t, x, y, z]) (8.2)
 

> gamma=1/sqrt(1-(beta[1]^2+beta[2]^2 +beta [3]^2));
CHANG:=[t=gamma*(t-(beta[1]*x+beta[2]*y+ beta[3]*z)),x=x+(gamma-1)*beta[1]*(beta[1]*x+beta[2]*y+beta[3]*z)/(beta[1]^2+beta [2]^2+beta[3]^2)+gamma*beta[1]*t,y=y+(gamma-1)*beta[2]*(beta[1]*x+beta[2]*y+beta[3]*z)/(beta[1]^2+beta[2]^2+beta[3]^2)+gamma*beta[2]*t,z=z+(gamma-1)*beta[3]*(beta[1]*x+beta[2]*y+beta[3]*z)/(beta[1]^2+beta[2]^2+beta[3]^2)+gamma*beta[3]*t];
 

gamma = `/`(1, `*`(`*`(`^`(`+`(1, `-`(`*`(`^`(beta[1], 2))), `-`(`*`(`^`(beta[2], 2))), `-`(`*`(`^`(beta[3], 2)))), `/`(1, 2))))) (8.3)
 

`:=`(CHANG, [t = `*`(gamma, `*`(`+`(t, `-`(`*`(beta[1], `*`(x))), `-`(`*`(beta[2], `*`(y))), `-`(`*`(beta[3], `*`(z)))))), x = `+`(x, `/`(`*`(`+`(gamma, `-`(1)), `*`(beta[1], `*`(`+`(`*`(beta[1], `*`(...
`:=`(CHANG, [t = `*`(gamma, `*`(`+`(t, `-`(`*`(beta[1], `*`(x))), `-`(`*`(beta[2], `*`(y))), `-`(`*`(beta[3], `*`(z)))))), x = `+`(x, `/`(`*`(`+`(gamma, `-`(1)), `*`(beta[1], `*`(`+`(`*`(beta[1], `*`(...
(8.3)
 

> Jacobian(Coord_2,CHANG,tr,TR);
op(tr): op(TR);
 

Typesetting:-mrow(Typesetting:-mrow(Typesetting:-mi( (8.4)
 

Components of covariant vector will transform with Lorentz transformations as 

> VECT:=create([-1],array([V[1],V[2],V[3], V[4]]));
 

Typesetting:-mrow(Typesetting:-mrow(Typesetting:-mi( (8.5)
 

> VECT_trans:=create([-1],array([V_trans [1], V_trans[2],V_trans[3],V_trans[4]]));
get_compts(VECT_trans)=get_compts(collect(transform(VECT,CHANG,tr,TR),gamma)):
get_compts(VECT_trans)[1]=get_compts(collect(transform(VECT,CHANG,tr,TR),gamma))[1];
get_compts(VECT_trans)[2]=get_compts(collect(transform(VECT,CHANG,tr,TR),gamma))[2];
get_compts(VECT_trans)[3]=get_compts(collect(transform(VECT,CHANG,tr,TR),gamma))[3];
get_compts(VECT_trans)[4]=get_compts(collect(transform(VECT,CHANG,tr,TR),gamma))[4];
 

Typesetting:-mrow(Typesetting:-mrow(Typesetting:-mi( (8.6)
 

V_trans[1] = `*`(`+`(V[1], `*`(beta[1], `*`(V[2])), `*`(beta[2], `*`(V[3])), `*`(beta[3], `*`(V[4]))), `*`(gamma)) (8.6)
 

V_trans[2] = `+`(`-`(`/`(`*`(`+`(`*`(`^`(beta[1], 3), `*`(V[1])), `*`(beta[1], `*`(V[1], `*`(`^`(beta[2], 2)))), `*`(beta[1], `*`(V[1], `*`(`^`(beta[3], 2)))), `-`(`*`(V[2], `*`(`^`(beta[1], 2)))), `-... (8.6)
 

V_trans[3] = `+`(`-`(`/`(`*`(`+`(`*`(beta[2], `*`(V[1], `*`(`^`(beta[1], 2)))), `*`(`^`(beta[2], 3), `*`(V[1])), `*`(beta[2], `*`(V[1], `*`(`^`(beta[3], 2)))), `-`(`*`(beta[1], `*`(beta[2], `*`(V[2]))... (8.6)
 

V_trans[4] = `+`(`-`(`/`(`*`(`+`(`*`(beta[3], `*`(V[1], `*`(`^`(beta[1], 2)))), `*`(beta[3], `*`(V[1], `*`(`^`(beta[2], 2)))), `*`(`^`(beta[3], 3), `*`(V[1])), `-`(`*`(beta[1], `*`(beta[3], `*`(V[2]))... (8.6)
 

Components of covariant tensor will transform with Lorentz transformations as 

> TENS:=create([-1,-1],array(1..4,1..4,sparse,[[T[1,1],T[1,2],T[1,3],T[1,4]],[T[2,1],T[2,2],T[2,3],T[2,4]],[T[3,1],T[3,2],T[3,3],T[3,4]],[T[4,1],T[4,2],T[4,3],T[4,4]]]));
 

Typesetting:-mrow(Typesetting:-mrow(Typesetting:-mi( (8.7)
 

> TENS_trans:=create([-1,-1],array(1..4,1.. 4,sparse,[[T_trans[1,1],T_trans[1,2],T_trans[1,3],T_trans[1,4]],[T_trans[2,1],T_trans[2,2],T_trans[2,3],T_trans[2,4]],[T_trans[3,1],T_trans[3,2],T_trans[3,3],T_trans[3,4]],[T_trans[4,1],T_trans[4,2],T_trans[4,3],T_trans[4,4]]]));
get_compts(TENS_trans)=get_compts(collect(transform(TENS,CHANG,tr,TR),gamma)):

get_compts(TENS_trans)[1,1]=get_compts(collect(transform(TENS,CHANG,tr,TR),gamma))[1,1];
get_compts(TENS_trans)[1,2]=get_compts(collect(transform(TENS,CHANG,tr,TR),gamma))[1,2];
get_compts(TENS_trans)[2,4]=get_compts(collect(transform(TENS,CHANG,tr,TR),gamma))[2,4];
 

Typesetting:-mrow(Typesetting:-mrow(Typesetting:-mi( (8.8)
 

T_trans[1, 1] = `*`(`+`(T[1, 1], `*`(beta[1], `*`(T[2, 1])), `*`(beta[2], `*`(T[3, 1])), `*`(beta[3], `*`(T[4, 1])), `*`(beta[1], `*`(T[1, 2])), `*`(`^`(beta[1], 2), `*`(T[2, 2])), `*`(beta[1], `*`(be...
T_trans[1, 1] = `*`(`+`(T[1, 1], `*`(beta[1], `*`(T[2, 1])), `*`(beta[2], `*`(T[3, 1])), `*`(beta[3], `*`(T[4, 1])), `*`(beta[1], `*`(T[1, 2])), `*`(`^`(beta[1], 2), `*`(T[2, 2])), `*`(beta[1], `*`(be...
(8.8)
 

T_trans[1, 2] = `+`(`-`(`/`(`*`(`+`(`*`(`^`(beta[1], 4), `*`(T[2, 1])), `*`(`^`(beta[1], 2), `*`(T[2, 1], `*`(`^`(beta[2], 2)))), `*`(`^`(beta[1], 2), `*`(T[2, 1], `*`(`^`(beta[3], 2)))), `*`(`^`(beta...
T_trans[1, 2] = `+`(`-`(`/`(`*`(`+`(`*`(`^`(beta[1], 4), `*`(T[2, 1])), `*`(`^`(beta[1], 2), `*`(T[2, 1], `*`(`^`(beta[2], 2)))), `*`(`^`(beta[1], 2), `*`(T[2, 1], `*`(`^`(beta[3], 2)))), `*`(`^`(beta...
T_trans[1, 2] = `+`(`-`(`/`(`*`(`+`(`*`(`^`(beta[1], 4), `*`(T[2, 1])), `*`(`^`(beta[1], 2), `*`(T[2, 1], `*`(`^`(beta[2], 2)))), `*`(`^`(beta[1], 2), `*`(T[2, 1], `*`(`^`(beta[3], 2)))), `*`(`^`(beta...
T_trans[1, 2] = `+`(`-`(`/`(`*`(`+`(`*`(`^`(beta[1], 4), `*`(T[2, 1])), `*`(`^`(beta[1], 2), `*`(T[2, 1], `*`(`^`(beta[2], 2)))), `*`(`^`(beta[1], 2), `*`(T[2, 1], `*`(`^`(beta[3], 2)))), `*`(`^`(beta...
(8.8)
 

T_trans[2, 4] = `+`(`/`(`*`(`+`(`*`(`^`(beta[1], 2), `*`(beta[3], `*`(beta[2], `*`(T[3, 2])))), `*`(`^`(beta[2], 2), `*`(beta[3], `*`(beta[1], `*`(T[3, 3])))), `*`(beta[2], `*`(`^`(beta[3], 2), `*`(be...
T_trans[2, 4] = `+`(`/`(`*`(`+`(`*`(`^`(beta[1], 2), `*`(beta[3], `*`(beta[2], `*`(T[3, 2])))), `*`(`^`(beta[2], 2), `*`(beta[3], `*`(beta[1], `*`(T[3, 3])))), `*`(beta[2], `*`(`^`(beta[3], 2), `*`(be...
T_trans[2, 4] = `+`(`/`(`*`(`+`(`*`(`^`(beta[1], 2), `*`(beta[3], `*`(beta[2], `*`(T[3, 2])))), `*`(`^`(beta[2], 2), `*`(beta[3], `*`(beta[1], `*`(T[3, 3])))), `*`(beta[2], `*`(`^`(beta[3], 2), `*`(be...
T_trans[2, 4] = `+`(`/`(`*`(`+`(`*`(`^`(beta[1], 2), `*`(beta[3], `*`(beta[2], `*`(T[3, 2])))), `*`(`^`(beta[2], 2), `*`(beta[3], `*`(beta[1], `*`(T[3, 3])))), `*`(beta[2], `*`(`^`(beta[3], 2), `*`(be...
T_trans[2, 4] = `+`(`/`(`*`(`+`(`*`(`^`(beta[1], 2), `*`(beta[3], `*`(beta[2], `*`(T[3, 2])))), `*`(`^`(beta[2], 2), `*`(beta[3], `*`(beta[1], `*`(T[3, 3])))), `*`(beta[2], `*`(`^`(beta[3], 2), `*`(be...
T_trans[2, 4] = `+`(`/`(`*`(`+`(`*`(`^`(beta[1], 2), `*`(beta[3], `*`(beta[2], `*`(T[3, 2])))), `*`(`^`(beta[2], 2), `*`(beta[3], `*`(beta[1], `*`(T[3, 3])))), `*`(beta[2], `*`(`^`(beta[3], 2), `*`(be...
T_trans[2, 4] = `+`(`/`(`*`(`+`(`*`(`^`(beta[1], 2), `*`(beta[3], `*`(beta[2], `*`(T[3, 2])))), `*`(`^`(beta[2], 2), `*`(beta[3], `*`(beta[1], `*`(T[3, 3])))), `*`(beta[2], `*`(`^`(beta[3], 2), `*`(be...
T_trans[2, 4] = `+`(`/`(`*`(`+`(`*`(`^`(beta[1], 2), `*`(beta[3], `*`(beta[2], `*`(T[3, 2])))), `*`(`^`(beta[2], 2), `*`(beta[3], `*`(beta[1], `*`(T[3, 3])))), `*`(beta[2], `*`(`^`(beta[3], 2), `*`(be...
T_trans[2, 4] = `+`(`/`(`*`(`+`(`*`(`^`(beta[1], 2), `*`(beta[3], `*`(beta[2], `*`(T[3, 2])))), `*`(`^`(beta[2], 2), `*`(beta[3], `*`(beta[1], `*`(T[3, 3])))), `*`(beta[2], `*`(`^`(beta[3], 2), `*`(be...
T_trans[2, 4] = `+`(`/`(`*`(`+`(`*`(`^`(beta[1], 2), `*`(beta[3], `*`(beta[2], `*`(T[3, 2])))), `*`(`^`(beta[2], 2), `*`(beta[3], `*`(beta[1], `*`(T[3, 3])))), `*`(beta[2], `*`(`^`(beta[3], 2), `*`(be...
(8.8)
 

For symmetrical tensor we have transformations: 

> TENS_sym:=create([-1,-1],array(1..4,1..4,sparse,[[Tau[1,1],Tau[1,2],Tau[1,3],Tau[1,4]],[Tau[1,2],Tau[2,2],Tau[2,3],Tau[2,4]],[Tau[1,3],Tau[2,3],Tau[3,3],Tau[3,4]],[Tau[1,4],Tau[2,4],Tau[3,4],Tau[4,4]]]));
 

Typesetting:-mrow(Typesetting:-mrow(Typesetting:-mi( (8.9)
 

> TENS_sym_trans:=create([-1,-1],array(1..4,1..4,sparse,[[T_trans[1,1],T_trans[1,2],T_trans[1,3],T_trans[1,4]],[T_trans[2,1],T_trans[2,2],T_trans[2,3],T_trans[2,4]],[T_trans[3,1],T_trans[3,2],T_trans[3,3],T_trans[3,4]],[T_trans[4,1],T_trans[4,2],T_trans[4,3],T_trans[4,4]]]));
get_compts(TENS_trans)=get_compts(collect(transform(TENS_sym,CHANG,tr,TR),[gamma,beta])):
 

Typesetting:-mrow(Typesetting:-mrow(Typesetting:-mi( (8.10)
 

For asymmetrical tensor we have transformations: 

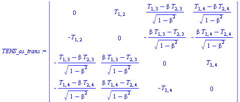
> TENS_as:=create([-1,-1],array(1..4, 1..4,sparse, [[0,Tau[1,2],Tau[1,3], Tau[1,4]],[-Tau[1,2],0,Tau [2,3],Tau[2, 4]],[-Tau[1,3],-Tau[2,3],0,Tau[3,4]],[-Tau[1,4],-Tau[2,4],-Tau[3,4],0]]));
 

Typesetting:-mrow(Typesetting:-mrow(Typesetting:-mi( (8.11)
 

> TENS_as_trans:=create([-1,-1],array(1..4, 1..4, sparse,[[0,T_trans[1,2],T_trans [1,3],T_trans[1,4]],[-T_trans[1,2],0, T_trans[2,3], T_trans[2,4]],[-T_trans[1,3] ,-T_trans[2,3],0, T_trans[3,4]],[-T_trans [1,4],-T_trans[2,4],-T_trans[3,4],0]]));
get_compts(TENS_trans)=get_compts(simplify(collect(transform(TENS_as,CHANG,tr,TR), [gamma,beta]))):
 

Typesetting:-mrow(Typesetting:-mrow(Typesetting:-mi( (8.12)
 

 

9. Tensor of moment of momentum 

Define antisymmetric tensor of moment of momentum. We need to determine 4-radius-vector of particle and 4-energy-momentum vector: 

> R4(t):=create([-1],array([x[1],x[2],x[3], x[4]]));
gamma=1/sqrt(1-(beta[1]^2+beta[2]^2+beta[3]^2));
P4(t):=create([-1],array([m*c*gamma,m*gamma *v[2],m*gamma*v[3],m*gamma*v[4]]));
 

Typesetting:-mrow(Typesetting:-mrow(Typesetting:-mrow(Typesetting:-mi( (9.1)
 

gamma = `/`(1, `*`(`*`(`^`(`+`(1, `-`(`*`(`^`(beta[1], 2))), `-`(`*`(`^`(beta[2], 2))), `-`(`*`(`^`(beta[3], 2)))), `/`(1, 2))))) (9.1)
 

Typesetting:-mrow(Typesetting:-mrow(Typesetting:-mrow(Typesetting:-mi( (9.1)
 

Define miscellaneous functions 

> MOM1:=prod(R4(t),P4(t)); MOM2:=prod(P4(t),R4(t));
 

Typesetting:-mrow(Typesetting:-mrow(Typesetting:-mi( (9.2)
 

Typesetting:-mrow(Typesetting:-mrow(Typesetting:-mi( (9.2)
 

and create covariant antisymmetric tensor of moment of momentum: 

> T[1,2]:=collect(get_compts(MOM1)[1,2]-get_compts(MOM2)[1,2],[gamma,m]);
T[1,3]:=collect(get_compts(MOM1)[1,2]-get_compts(MOM2)[1,3],[gamma,m]);
T[1,4]:=collect(get_compts(MOM1)[1,2]-get_compts(MOM2)[1,4],[gamma,m]);
T[2,3]:=collect(get_compts(MOM1)[1,2]-get_compts(MOM2)[2,3],[gamma,m]);
T[2,4]:=collect(get_compts(MOM1)[1,2]-get_compts(MOM2)[2,4],[gamma,m]);
T[3,4]:=collect(get_compts(MOM1)[1,2]-get_compts(MOM2)[3,4],[gamma,m]);
 

`:=`(T[1, 2], `*`(`+`(`*`(x[1], `*`(v[2])), `-`(`*`(x[2], `*`(c)))), `*`(m, `*`(gamma)))) (9.3)
 

`:=`(T[1, 3], `*`(`+`(`*`(x[1], `*`(v[2])), `-`(`*`(x[3], `*`(c)))), `*`(m, `*`(gamma)))) (9.3)
 

`:=`(T[1, 4], `*`(`+`(`*`(x[1], `*`(v[2])), `-`(`*`(x[4], `*`(c)))), `*`(m, `*`(gamma)))) (9.3)
 

`:=`(T[2, 3], `*`(`+`(`*`(x[1], `*`(v[2])), `-`(`*`(x[3], `*`(v[2])))), `*`(m, `*`(gamma)))) (9.3)
 

`:=`(T[2, 4], `*`(`+`(`*`(x[1], `*`(v[2])), `-`(`*`(x[4], `*`(v[2])))), `*`(m, `*`(gamma)))) (9.3)
 

`:=`(T[3, 4], `*`(`+`(`*`(x[1], `*`(v[2])), `-`(`*`(x[4], `*`(v[3])))), `*`(m, `*`(gamma)))) (9.3)
 

> MOM:=create([-1,-1],array(1..4,1..4,sparse, [[0,T[1,2],T[1,3],T[1,4]],[-T[1,2],0,T[2,3], T[2,4]],[-T[1,3],-T[2,3],0,T[3,4]],[-T[1,4],-T[2,4],-T[3,4],0]]));
get_char(MOM);
get_rank(MOM);
 

Typesetting:-mrow(Typesetting:-mrow(Typesetting:-mi( (9.4)
 

[-1, -1] (9.4)
 

2 (9.4)
 

Contravariant  antisymmetric tensor of moment of momentum is: 

> MOM_contr:=raise(g_contr,raise(g_contr, MOM, 1),2);
get_char(MOM_contr);
get_rank(MOM_contr);
 

Typesetting:-mrow(Typesetting:-mrow(Typesetting:-mi( (9.5)
 

[1, 1] (9.5)
 

2 (9.5)
 

We can rewrite these relations in standart denotes: 

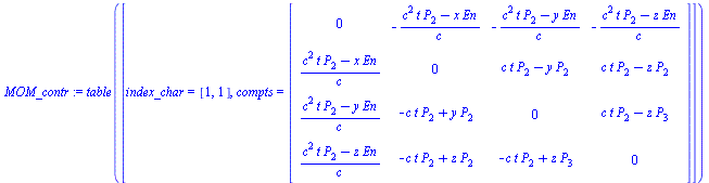
> R4(t):=create([-1],array([c*t,x,y,z]));
P4(t):=create([-1],array([En/c,P[2],P[3],P[4]]));
MOM1:=prod(R4(t),P4(t));
MOM2:=prod(P4(t),R4(t));
 

Typesetting:-mrow(Typesetting:-mrow(Typesetting:-mrow(Typesetting:-mi( (9.6)
 

Typesetting:-mrow(Typesetting:-mrow(Typesetting:-mrow(Typesetting:-mi( (9.6)
 

Typesetting:-mrow(Typesetting:-mrow(Typesetting:-mi( (9.6)
 

Typesetting:-mrow(Typesetting:-mrow(Typesetting:-mi( (9.6)
 

> T[1,2]:=collect(get_compts(MOM1)[1,2]-get_compts (MOM2)[1,2],gamma);
T[1,3]:=collect(get_compts(MOM1)[1,2]-get_compts (MOM2)[1,3],gamma);
T[1,4]:=collect(get_compts(MOM1)[1,2]-get_compts (MOM2)[1,4],gamma);
T[2,3]:=collect(get_compts(MOM1)[1,2]-get_compts (MOM2)[2,3],gamma);
T[2,4]:=collect(get_compts(MOM1)[1,2]-get_compts (MOM2)[2,4],gamma);
T[3,4]:=collect(get_compts(MOM1)[1,2]-get_compts (MOM2)[3,4],gamma);
 

`:=`(T[1, 2], `+`(`*`(c, `*`(t, `*`(P[2]))), `-`(`/`(`*`(x, `*`(En)), `*`(c))))) (9.7)
 

`:=`(T[1, 3], `+`(`*`(c, `*`(t, `*`(P[2]))), `-`(`/`(`*`(y, `*`(En)), `*`(c))))) (9.7)
 

`:=`(T[1, 4], `+`(`*`(c, `*`(t, `*`(P[2]))), `-`(`/`(`*`(z, `*`(En)), `*`(c))))) (9.7)
 

`:=`(T[2, 3], `+`(`*`(c, `*`(t, `*`(P[2]))), `-`(`*`(y, `*`(P[2]))))) (9.7)
 

`:=`(T[2, 4], `+`(`*`(c, `*`(t, `*`(P[2]))), `-`(`*`(z, `*`(P[2]))))) (9.7)
 

`:=`(T[3, 4], `+`(`*`(c, `*`(t, `*`(P[2]))), `-`(`*`(z, `*`(P[3]))))) (9.7)
 

> MOM_:=create([-1,-1],array(1..4,1..4, sparse ,[[0,T[1,2],T[1,3],T[1,4]],[-T[1,2] ,0,T[2,3], T[2,4]],[-T[1,3],-T[2,3],0, T[3,4]],[-T[1,4],-T[2,4],-T[3,4],0]]));
get_char(MOM_): get_rank(MOM_):
 

Typesetting:-mrow(Typesetting:-mrow(Typesetting:-mi( (9.8)
 

> MOM_contr:=raise(g_contr,raise(g_contr, MOM_, 1),2);
get_char(MOM_contr): get_rank(MOM_contr):
 

Typesetting:-mrow(Typesetting:-mrow(Typesetting:-mi( (9.9)
 

References 

1. Landau L.D., Lifshits E.V. Theoretical physics. V. 2. Field theory. - Moscow. Fizmatlit. 2003. 

2. Tikhonenko A.V. Calculus of tensors and applications in applied mathematical packets. Obninsk. IATE. 2007 

 

Legal Notice: The copyright for this application is owned by the author(s). Neither Maplesoft nor the author are responsible for any errors contained within and are not liable for any damages resulting from the use of this material. This application is intended for non-commercial, non-profit use only. Contact the author for permission if you wish to use this application in for-profit activities.
 

Image