Application Center - Maplesoft

App Preview:

Classroom Tips and Techniques:Teaching Fourier Series with Maple - Part 3

You can switch back to the summary page by clicking here.

Learn about Maple
Download Application


 

Image 

Classroom Tips and Techniques: Teaching Fourier Series with Maple - Part 3 

 

Robert J. Lopez 

Emeritus Professor of Mathematics and Maple Fellow 

Maplesoft 

 

Initializations 

 

> restart;
 

 

Once the files for the FourierSeries package by Wilhelm Werner are in place, the following command will load its code. 

 

> with(FourierSeries):
 

Introduction 

 

In this third article in a series devoted to Maple implementations of Fourier series calculations, we describe the FourierSeries package provided to the Maple Application Center by Wilhelm Werner.  In the first article of this series, we detailed how to implement the calculations for Fourier series using just commands built into Maple.  In the second, we detailed the Fourier series package by Amir Khanshan. 

 

The FourierSeries Package by Wilhelm Werner 

 

Available from the Maple Application Center, the FourierSeries package by Wilhelm Werner provides the five commands in Table 1.  We will show how these commands meet the syntactic challenges posed by the computation and graphing of Fourier series. 

 

Command 

Input 

Output 

FourierCoeff 

function data, series type 

coefficients as function of index Typesetting:-mrow(Typesetting:-mi( 

FourierExtend 

function data, type of extension, direction of extension 

odd or even extension as a function 

FourierPlot 

function data, series type, index value, plot interval  

graph of function, and partial sum of series 

FourierAnimate 

function data, series type, index value, plot interval 

animation of partial sums converging to function 

FourierSpectrum 

function data, index value 

graph of Typesetting:-mrow(Typesetting:-mfenced(Typesetting:-mrow(Typesetting:-msub(Typesetting:-mi( vs. index Typesetting:-mrow(Typesetting:-mi( 

Table 1   Commands in the FourierSeries package by Wilhelm Werner 

 

In addition, the global input parameter listed in Table 2 determines the nature of the output of the FourierCoeff command. 

 

Parameter 

Effect 

_FourierSeriesShowFunction 

control display of the function whose Fourier coefficients are being computed, including display of piecewise linear function created by FourierCoeff whose input is a list of points 

Table 2   Effect of global input parameter on FourierCoeff command 

 

The FourierSeries package, and instructions for installing it, can be found on the Maple Application Center.  The code is too bulky to include in this worksheet, so experiments with the commands in the package require downloading and installing the package.  We have suppressed the residue of our installation process, showing only the use of the commands themselves. 

 

FourierCoeff 

 

Parameters 

Coefficients Returned 

FourierReal 

Typesetting:-mrow(Typesetting:-msub(Typesetting:-mi( and Typesetting:-mrow(Typesetting:-msub(Typesetting:-mi( for trigonometric sine-cosine series, displayed 

FourierComplex (FourierExp) 

Typesetting:-mrow(Typesetting:-msub(Typesetting:-mi( for exponential series, as function of index 

FourierCos 

Typesetting:-mrow(Typesetting:-msub(Typesetting:-mi( from the trigonometric sine-cosine series, as function of index 

FourierSin 

Typesetting:-mrow(Typesetting:-msub(Typesetting:-mi( from the trigonometric sine-cosine series, as function of index 

Table 3  Parameters accepted by the FourierCoeff command 

 

 

Although it takes the four parameters listed in Table 3, the FourierCoeff command always computes the coefficients of the complex series.  The parameter FourierReal causes FourierCoeff to display the coefficients of the trigonometric (sine-cosine) series, whereas the parameter FourierExp causes it to return, as a function of the index, the coefficients of the exponential form of the series.   

 

The FourierCos and FourierSin options do not instruct the FourierCoeff command to create the cosine or sine series.  Instead, they generate, as functions of the index Typesetting:-mrow(Typesetting:-mi(, Typesetting:-mrow(Typesetting:-msub(Typesetting:-mi( and Typesetting:-mrow(Typesetting:-msub(Typesetting:-mi(, the coefficients of the cosine terms, and sine terms, respectively, of the sine-cosine series.   

 

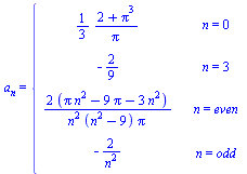
To display the Fourier sine-cosine coefficients for  

 

> `:=`(f, proc (x) options operator, arrow; piecewise(`<`(x, 0), `*`(`^`(x, 2)), `<=`(0, x), sin(`+`(`*`(3, `*`(x))))) end proc); -1
('f')(x) = f(x)
 

f(x) = piecewise(`<`(x, 0), `*`(`^`(x, 2)), `<=`(0, x), sin(`+`(`*`(3, `*`(x)))))
 

on Typesetting:-mrow(Typesetting:-mo(use the syntax 

 

> FourierCoeff([f, `+`(`-`(Pi)) .. Pi],
 

a[n] = piecewise(n = 0, `+`(`/`(`*`(`/`(1, 3), `*`(`+`(2, `*`(`^`(Pi, 3))))), `*`(Pi))), n = 3, -`/`(2, 9), n = even, `+`(`/`(`*`(2, `*`(`+`(`*`(Pi, `*`(`^`(n, 2))), `-`(`*`(9, `*`(Pi))), `-`(`*`(3, `...
 

 

Note that the quotes on the parameter FourierReal are necessary. 

 

The piecewise functions displayed as Typesetting:-mrow(Typesetting:-msub(Typesetting:-mi( and Typesetting:-mrow(Typesetting:-msub(Typesetting:-mi( are not assigned to these names.  For example, trying to obtain Typesetting:-mrow(Typesetting:-msub(Typesetting:-mi( with the syntax 

 

> a(2)
 

a(2)
 

shows no assignments have been made.   

 

To obtain the coefficients as functions, separately generate Typesetting:-mrow(Typesetting:-msub(Typesetting:-mi( and Typesetting:-mrow(Typesetting:-msub(Typesetting:-mi( with 

 

> `:=`(a, FourierCoeff([f, `+`(`-`(Pi)) .. Pi],
`:=`(b, FourierCoeff([f, `+`(`-`(Pi)) .. Pi],
 

 

 

a[n] = piecewise(n = 0, `+`(`/`(`*`(`/`(1, 3), `*`(`+`(2, `*`(`^`(Pi, 3))))), `*`(Pi))), n = 3, -`/`(2, 9), n = even, `+`(`/`(`*`(2, `*`(`+`(`*`(Pi, `*`(`^`(n, 2))), `-`(`*`(9, `*`(Pi))), `-`(`*`(3, `...
b[n] = piecewise(n = 0, 0, n = 3, `+`(`-`(`/`(`*`(`/`(1, 54), `*`(`+`(`-`(`*`(27, `*`(Pi))), `*`(18, `*`(`^`(Pi, 2))), `-`(8)))), `*`(Pi)))), n = even, `/`(`*`(Pi), `*`(n)), n = odd, `+`(`-`(`/`(`*`(`...
 

 

The coefficients Typesetting:-mrow(Typesetting:-msub(Typesetting:-mi( and Typesetting:-mrow(Typesetting:-msub(Typesetting:-mi( are now functions of the index Typesetting:-mrow(Typesetting:-mi(, as we see from  

 

> seq(a(n), n = 0 .. 5)
seq(b(n), n = 1 .. 5)
 

 

 

`+`(`/`(`*`(`/`(1, 3), `*`(`+`(2, `*`(`^`(Pi, 3))))), `*`(Pi))), -2, `+`(`/`(`*`(`/`(1, 10), `*`(`+`(12, `*`(5, `*`(Pi))))), `*`(Pi))), -`/`(2, 9), `+`(`/`(`*`(`/`(1, 56), `*`(`+`(`-`(48), `*`(7, `*`(...
`+`(`-`(`/`(`*`(`+`(`-`(4), `*`(`^`(Pi, 2)))), `*`(Pi)))), `+`(`*`(`/`(1, 2), `*`(Pi))), `+`(`-`(`/`(`*`(`/`(1, 54), `*`(`+`(`-`(`*`(27, `*`(Pi))), `*`(18, `*`(`^`(Pi, 2))), `-`(8)))), `*`(Pi)))), `+`...
 

 

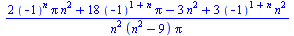
Although the calls 

 

> a(n)
b(n)
 

 

 

`/`(`*`(`+`(`*`(2, `*`(`^`(-1, n), `*`(Pi, `*`(`^`(n, 2))))), `*`(18, `*`(`^`(-1, `+`(1, n)), `*`(Pi))), `-`(`*`(3, `*`(`^`(n, 2)))), `*`(3, `*`(`^`(-1, `+`(1, n)), `*`(`^`(n, 2)))))), `*`(`^`(n, 2), ...
`/`(`*`(`+`(`*`(2, `*`(`^`(-1, `+`(1, n)), `*`(`^`(n, 2)))), `*`(18, `*`(`^`(-1, n))), `*`(`^`(-1, n), `*`(`^`(Pi, 2), `*`(`^`(n, 4)))), `*`(9, `*`(`^`(-1, `+`(1, n)), `*`(`^`(Pi, 2), `*`(`^`(n, 2))))...
 

 

produce the generic expressions generated by the int command, a partial sum of the associated Fourier series can be obtained with the syntax 

 

> `+`(`*`(`/`(1, 2), `*`(a(0))), add(`+`(`*`(a(n), `*`(cos(`*`(n, `*`(x))))), `*`(b(n), `*`(sin(`*`(n, `*`(x)))))), n = 1 .. 4))
 

`+`(`/`(`*`(`/`(1, 6), `*`(`+`(2, `*`(`^`(Pi, 3))))), `*`(Pi)), `-`(`*`(2, `*`(cos(x)))), `-`(`/`(`*`(`+`(`-`(4), `*`(`^`(Pi, 2))), `*`(sin(x))), `*`(Pi))), `/`(`*`(`/`(1, 10), `*`(`+`(12, `*`(5, `*`(...
`+`(`/`(`*`(`/`(1, 6), `*`(`+`(2, `*`(`^`(Pi, 3))))), `*`(Pi)), `-`(`*`(2, `*`(cos(x)))), `-`(`/`(`*`(`+`(`-`(4), `*`(`^`(Pi, 2))), `*`(sin(x))), `*`(Pi))), `/`(`*`(`/`(1, 10), `*`(`+`(12, `*`(5, `*`(...
 

 

Notice from the generic expressions for Typesetting:-mrow(Typesetting:-msub(Typesetting:-mi( and Typesetting:-mrow(Typesetting:-msub(Typesetting:-mi( that each expression is undefined for Typesetting:-mrow(Typesetting:-mi(  The add command in Maple evaluates Typesetting:-mrow(Typesetting:-mi( and Typesetting:-mrow(Typesetting:-mi( as per their definitions as piecewise functions of Typesetting:-mrow(Typesetting:-mi(, and produces the appropriate partial sum.  For Typesetting:-mrow(Typesetting:-mi( and Typesetting:-mrow(Typesetting:-mi( as created by the FourierCoeff command, the sum command (and its 2D counterpart from the Expression palette) behaves differently, and will not provide evaluation of either Typesetting:-mrow(Typesetting:-mi( or Typesetting:-mrow(Typesetting:-mi(as we see from 

 

> Typesetting:-mrow(Typesetting:-mfrac(Typesetting:-mrow(Typesetting:-mi(
 

Error, (in SumTools:-DefiniteSum:-ClosedForm) summand is singular in the interval of summation
 

 

In the special case where Typesetting:-mrow(Typesetting:-mi( is a piecewise linear function, it can be entered as a list of points.  For example, the Fourier series coefficients for the piecewise linear function 

 

> `:=`(f, piecewise(`<`(x, 1), `+`(2, x), `+`(6, `-`(`*`(3, `*`(x))))))
 

piecewise(`<`(x, 1), `+`(2, x), `+`(6, `-`(`*`(3, `*`(x)))))
 

 

defined on Typesetting:-mrow(Typesetting:-mo(and whose graph appears in Figure 1, 

 

> plot(f, x = -2 .. 2, scaling = constrained)
 

Plot_2d
 

Figure 1   Graph of piecewise linear function 

 

are given by 

 

> FourierCoeff([[[-2, 0], [1, 3], [2, 0]]],
 

a[n] = piecewise(n = 0, 3, n = even, `+`(`/`(`*`(8, `*`(`+`(`-`(1), cos(`+`(`*`(`/`(1, 2), `*`(Pi, `*`(n)))))))), `*`(`^`(Pi, 2), `*`(`^`(n, 2))))), n = odd, `+`(`-`(`/`(`*`(8, `*`(`+`(`-`(1), cos(`+`...
 

 

With a setting of the global parameter 

 

> `:=`(_FourierSeriesShowFunction, true)
 

true
 

 

the FourierSeries command will now provide the piecewise representation of the list of points used to describe the piecewise linear function. 

 

> FourierCoeff([[[-2, 0], [1, 3], [2, 0]]],
 

 

 

f(t) = piecewise(`<`(t, 1), `+`(2, t), `<`(t, 2), `+`(`-`(`*`(3, `*`(t))), 6), `+`(`-`(`*`(3, `*`(t))), 6))
a[n] = piecewise(n = 0, 3, n = even, `+`(`/`(`*`(8, `*`(`+`(`-`(1), cos(`+`(`*`(`/`(1, 2), `*`(n, `*`(Pi)))))))), `*`(`^`(Pi, 2), `*`(`^`(n, 2))))), n = odd, `+`(`-`(`/`(`*`(8, `*`(`+`(`-`(1), cos(`+`...
 

 

Unfortunately, there are no provisions for declaring the name of the independent variable, or for specifying a domain for the resulting Typesetting:-mrow(Typesetting:-mi(.  The echo of the function Typesetting:-mrow(Typesetting:-mi( is suppressed with  

 

> `:=`(_FourierSeriesShowFunction, false)
 

false
 

 

The coefficients Typesetting:-mrow(Typesetting:-msub(Typesetting:-mi( for the complex (or exponential) form of the Fourier series for Typesetting:-mrow(Typesetting:-mi(are obtained with the syntax 

 

> `:=`(c, FourierCoeff([proc (x) options operator, arrow; x end proc, -1 .. 1],
 

c[n] = piecewise(n = 0, 0, n = even, `/`(`*`(I), `*`(Pi, `*`(n))), n = odd, `+`(`-`(`/`(`*`(`+`(I)), `*`(Pi, `*`(n))))))
 

 

A partial sum of the associated (exponential) Fourier series is 

 

> `:=`(F, add(`*`(c(n), `*`(exp(`*`(I, `*`(n, `*`(Pi, `*`(x))))))), n = -3 .. 3))
 

`+`(`/`(`*`(`*`(`/`(1, 3), `*`(I)), `*`(exp(`+`(`-`(`*`(`+`(`*`(3, `*`(I))), `*`(Pi, `*`(x)))))))), `*`(Pi)), `-`(`/`(`*`(`+`(`*`(`/`(1, 2), `*`(I))), `*`(exp(`+`(`-`(`*`(`+`(`*`(2, `*`(I))), `*`(Pi, ...
 

 

The trigonometric form is then 

 

> evalc(F)
 

`+`(`/`(`*`(`/`(2, 3), `*`(sin(`+`(`*`(3, `*`(Pi, `*`(x))))))), `*`(Pi)), `-`(`/`(`*`(sin(`+`(`*`(2, `*`(Pi, `*`(x)))))), `*`(Pi))), `/`(`*`(2, `*`(sin(`*`(Pi, `*`(x))))), `*`(Pi)))
 

 

Since Typesetting:-mrow(Typesetting:-mi( is an odd function, this is easily checked by computing 

 

> `:=`(b, FourierCoeff([proc (x) options operator, arrow; x end proc, -1 .. 1],
 

b[n] = piecewise(n = 0, 0, n = even, `+`(`-`(`/`(`*`(2), `*`(Pi, `*`(n))))), n = odd, `+`(`/`(`*`(2), `*`(Pi, `*`(n)))))
 

 

and hence, 

 

> add(`*`(b(n), `*`(sin(`*`(n, `*`(Pi, `*`(x)))))), n = 1 .. 3)
 

`+`(`/`(`*`(`/`(2, 3), `*`(sin(`+`(`*`(3, `*`(Pi, `*`(x))))))), `*`(Pi)), `-`(`/`(`*`(sin(`+`(`*`(2, `*`(Pi, `*`(x)))))), `*`(Pi))), `/`(`*`(2, `*`(sin(`*`(Pi, `*`(x))))), `*`(Pi)))
 

 

With sufficient care, the FourierCoeff command can also be used to display the coefficients of a sine or cosine series.  For example, to obtain the sine series of the function 

 

> `:=`(f, proc (x) options operator, arrow; `*`(`^`(x, 2)) end proc); -1
('f')(x) = f(x)
 

f(x) = `*`(`^`(x, 2))
 

 

whose domain is the interval Typesetting:-mrow(Typesetting:-mn(write the odd extension of Typesetting:-mrow(Typesetting:-mi( as 

 

> `:=`(g, FourierExtend(f,
g(x)
 

piecewise(`<=`(x, 0), `+`(`-`(`*`(`^`(x, 2)))), `<`(0, x), `*`(`^`(x, 2)))
 

 

The alternative to the FourierExtend command would be  

 

> `:=`(G, proc (x) options operator, arrow; piecewise(`<=`(x, 0), `+`(`-`(f(`+`(`-`(x))))), `<`(0, x), f(x)) end proc); -1
('G')(x) = G(x)
 

G(x) = piecewise(`<=`(x, 0), `+`(`-`(`*`(`^`(x, 2)))), `<`(0, x), `*`(`^`(x, 2)))
 

 

requiring Maple coding at a more fundamental level. 

 

Figure 2 verifies that Typesetting:-mrow(Typesetting:-mi( is indeed the odd extension of Typesetting:-mrow(Typesetting:-mi( to the interval Typesetting:-mrow(Typesetting:-mo( 

 

> plot(g(x), x = -1 .. 1)
 

Plot_2d
 

Figure 2   The odd extension of Typesetting:-mrow(Typesetting:-msup(Typesetting:-mi(to Typesetting:-mrow(Typesetting:-mfenced(Typesetting:-mrow(Typesetting:-mo( 

 

The Fourier sine-cosine series will have Typesetting:-mrow(Typesetting:-msub(Typesetting:-mi( and the Typesetting:-mrow(Typesetting:-msub(Typesetting:-mi( coefficients will be the coefficients of the sine series.  We can see this from  

 

> FourierCoeff([g, -1 .. 1],
 

a[n] = piecewise(n = 0, 0, n = even, 0, n = odd, 0), b[n] = piecewise(n = 0, 0, n = even, `+`(`-`(`/`(`*`(2), `*`(Pi, `*`(n))))), n = odd, `+`(`/`(`*`(2, `*`(`+`(`-`(4), `*`(`^`(Pi, 2), `*`(`^`(n, 2))...
 

 

but the actual calculation we want to make is 

 

> `:=`(b, FourierCoeff([g, -1 .. 1],
 

b[n] = piecewise(n = 0, 0, n = even, `+`(`-`(`/`(`*`(2), `*`(Pi, `*`(n))))), n = odd, `+`(`/`(`*`(2, `*`(`+`(`-`(4), `*`(`^`(Pi, 2), `*`(`^`(n, 2)))))), `*`(`^`(Pi, 3), `*`(`^`(n, 3))))))
 

 

By way of comparison, we can also obtain the Typesetting:-mrow(Typesetting:-msub(Typesetting:-mi( by evaluating the integral 

 

> `:=`(qb, `+`(`*`(2, `*`(Int(`*`(f(x), `*`(sin(`*`(n, `*`(Pi, `*`(x)))))), x = 0 .. 1)))))
 

`+`(`*`(2, `*`(Int(`*`(`^`(x, 2), `*`(sin(`*`(n, `*`(Pi, `*`(x)))))), x = 0 .. 1))))
 

 

whose value is  

 

> `:=`(B, `assuming`([simplify(value(qb))], [`::`(n, integer)]))
 

`+`(`/`(`*`(2, `*`(`+`(`-`(2), `*`(2, `*`(`^`(-1, n))), `*`(`^`(-1, `+`(1, n)), `*`(`^`(n, 2), `*`(`^`(Pi, 2))))))), `*`(`^`(n, 3), `*`(`^`(Pi, 3)))))
 

 

which compares favorably with 

 

> b(n)
 

`+`(`/`(`*`(2, `*`(`+`(`-`(2), `*`(2, `*`(`^`(-1, n))), `*`(`^`(-1, `+`(1, n)), `*`(`^`(n, 2), `*`(`^`(Pi, 2))))))), `*`(`^`(n, 3), `*`(`^`(Pi, 3)))))
 

 

The comparison can also be make by partitioning Typesetting:-mrow(Typesetting:-msub(Typesetting:-mi( via 

 

> `assuming`([simplify(B)], [`::`(n, even)]); 1; `assuming`([simplify(B)], [`::`(n, odd)])
 

 

 

`+`(`-`(`/`(`*`(2), `*`(n, `*`(Pi)))))
`+`(`/`(`*`(2, `*`(`+`(`-`(4), `*`(`^`(n, 2), `*`(`^`(Pi, 2)))))), `*`(`^`(n, 3), `*`(`^`(Pi, 3)))))
 

FourierPlot, FourierAnimate, and FourierSpectrum 

 

The remaining three commands in the FourierSeries package generate graphs.  When working outside the package, the standard approach is to generate the Fourier coefficients, then form a partial sum of the series, and finally, to draw an appropriate graph.  Using the FourierPlot command, however, the graph of a partial sum is superimposed on a graph of the function without the user having to obtain either the coefficients or the partial sum.  Thus, for the function 

 

> `:=`(f, proc (x) options operator, arrow; piecewise(`<`(x, 0), 0, `<=`(0, x), x) end proc); -1
('f')(x) = f(x)
 

f(x) = piecewise(`<`(x, 0), 0, `<=`(0, x), x)
 

 

we obtain Figure 3. 

 

> FourierPlot([f, -1 .. 1], 3, -3 .. 3, color = [black, red], scaling = constrained, thickness = [2, 1], discont = true)
FourierPlot([f, -1 .. 1], 3, -3 .. 3, color = [black, red], scaling = constrained, thickness = [2, 1], discont = true)
 

Plot_2d
 

Figure 3    

Partial sum of Fourier sine-cosine series for Typesetting:-mrow(Typesetting:-mi( superimposed on the periodic extension of the function 

 

The partial sum graphed in Figure 3 can be obtained by writing 

 

> `:=`(a, FourierCoeff([f, -1 .. 1],
`:=`(b, FourierCoeff([f, -1 .. 1],
 

 

 

a[n] = piecewise(n = 0, `/`(1, 2), n = even, 0, n = odd, `+`(`-`(`/`(`*`(2), `*`(`^`(Pi, 2), `*`(`^`(n, 2)))))))
b[n] = piecewise(n = 0, 0, n = even, `+`(`-`(`/`(1, `*`(Pi, `*`(n))))), n = odd, `/`(1, `*`(Pi, `*`(n))))
 

 

and then 

 

> `:=`(f3, `+`(`*`(`/`(1, 2), `*`(a(0))), add(`+`(`*`(a(n), `*`(cos(`*`(n, `*`(Pi, `*`(x)))))), `*`(b(n), `*`(sin(`*`(n, `*`(Pi, `*`(x))))))), n = 1 .. 3)))
 

`+`(`/`(1, 4), `-`(`/`(`*`(2, `*`(cos(`*`(Pi, `*`(x))))), `*`(`^`(Pi, 2)))), `/`(`*`(sin(`*`(Pi, `*`(x)))), `*`(Pi)), `-`(`/`(`*`(`/`(1, 2), `*`(sin(`+`(`*`(2, `*`(Pi, `*`(x))))))), `*`(Pi))), `-`(`/`...
 

 

Figure 4 provides proof that the parameter Typesetting:-mrow(Typesetting:-mi( used in the FourierPlot command gives rise to the partial sum  

 

Typesetting:-mrow(Typesetting:-msub(Typesetting:-mi(  

 

> plot([f(x), f3], x = -1 .. 1, color = [black, red], thickness = [2, 1])
 

Plot_2d
 

Figure 4   Graph of the partial sum Typesetting:-mrow(Typesetting:-msub(Typesetting:-mi( and Typesetting:-mrow(Typesetting:-mi( 

 

Figure 5 contains the animation provided by the FourierAnimate command, and shows how a sequence of partial sums converges to Typesetting:-mrow(Typesetting:-mover(Typesetting:-mi(

 

> FourierAnimate([f, -1 .. 1], 10, -3 .. 3.1, color = [black, red], discont = true, thickness = [2, 1], scaling = constrained)
FourierAnimate([f, -1 .. 1], 10, -3 .. 3.1, color = [black, red], discont = true, thickness = [2, 1], scaling = constrained)
 

Plot_2d
 

Figure 5   Animation showing convergence of partial sums Typesetting:-mrow(Typesetting:-msub(Typesetting:-mi( 

 

Finally, Figure 6 contains a graph of the frequency spectrum, a bar graph representing the points Typesetting:-mrow(Typesetting:-mo(drawn by the FourierSpectrum command.  (It is essential to add at least one plot option to this command.) 

 

> FourierSpectrum([f, -1 .. 1], 10, axes = normal)
 

Plot_2d
 

Figure 6   Frequency spectrum Typesetting:-mrow(Typesetting:-mfenced(Typesetting:-mrow(Typesetting:-msub(Typesetting:-mi( vs Typesetting:-mrow(Typesetting:-mfrac(Typesetting:-mi( for Typesetting:-mrow(Typesetting:-mi( 

 

Legal Notice: The copyright for this application is owned by Maplesoft. The application is intended to demonstrate the use of Maple to solve a particular problem. It has been made available for product evaluation purposes only and may not be used in any other context without the express permission of Maplesoft.   

Image