ORDINARY DIFFERENTIAL EQUATIONS POWERTOOL
Lesson 28 -- Application: Unforced Spring-Mass Oscillators
Prof. Douglas B. Meade
Industrial Mathematics Institute
Department of Mathematics
University of South Carolina
Columbia, SC 29208
URL: http://www.math.sc.edu/~meade/
E-mail: meade@math.sc.edu
Copyright 2001 by Douglas B. Meade
All rights reserved
-------------------------------------------------------------------
Outline of Lesson 28
28.A Unforced Oscillatory Motion - Undamped
28.A-1 Example 1
28.A-2 Example 2
28.B Unforced Oscillatory Motion - Damped
28.B-1 Case 1: Underdamped Motion ( < 0 )
28.B-2 Case 2: Critically Damped Motion ( = 0 )
28.B-3 Case 3: Overdamped Motion ( > 0 )
28.C Resonance
28.C-1 Realistic Resonance
28.C-2 Unrealistic Resonance
Initialization
Warning, the name changecoords has been redefined
A spring that obeys Hooke's law - the displacement is proportional to the applied force - is called a linear spring. Suppose that such a spring whose natural (unstretched or compressed) length is is suspended vertically so that its upper end is attached to a fixed support, and its lower end is attached to a mass . The attached mass will stretch the spring until it attains an equilibrium position. In a coordinate system measured positive upward from the equilibrium position of the mass, measure displacements of the mass with the variable . Again, the origin of this coordinate system is the equilibrium position of the suspended mass, and displacements upward are positive.
The force of gravity acting downward on the mass is j, where is the gravitational constant, is counterbalanced by the sag in the spring past its natural length when the mass is first attached. This downward gravitational force is always in balance with the upward force generated by the spring as it sags from its natural length to the equilibrium position that establishes the origin for the coordinate system. This gravitational force never appears in the equation of motion for the spring-mass system described above.
According to Hooke's law, the force exerted by the spring on the mass is j, where is the spring constant expressed in units of force divided by distance. The acceleration of the mass under the action of the spring is a = j. Newton's second law, namely, F = a, then gives the equation of motion as
or
Initial conditions would be the initial displacement of the mass from equilibrium, and any initial velocity given to the mass. Thus, the mass could be lifted initially, in which case . Alternatively, the mass could be pulled down below equilibrium so that . Of course, if the mass is not displaced from equilibrium initially, .
If the mass is thrown upward initially, it would have a positive initial velocity, and hence, . Alternatively, the mass could be tossed downward initially, in which case . If the mass is released from rest, then .
These considerations lead to the IVP
for , the displacement of the mass from equilibrium. The solution of the differential equation itself, namely,
follows from the exponential guess and the characteristic equation
Since the characteristic roots are then
= +
the general solution will be a linear combination of the members of the (real) fundamental set , where is called the angular frequency.
The trigonometric form
can be transformed to
where
and the phase angle is determined by the two equations
and
In this form, the general solution of the undamped spring-mass system clearly undergoes periodic motion with angular frequency and amplitude . Such motion is called harmonic motion, and without damping, would persist undiminished forever. Undamped spring-mass systems are therefore called natural harmonic oscillators.
Maple does not have a single command for converting the trigonometric form
to the form
Much of the management of this transition remains in the hands of the user. For example, the equation
=
could be treated as an identity in , so that Maple can compute the appropriate values of and as
It is typical to take the amplitude as positive, so the first solution would be the preferred one.
Note also the usage of the two-argument arctangent function. The single-argument arctangent function, , returns an angle in the range , which is equivalent to the angle being in the first or fourth quadrants. This is the function one finds on the typical scientific calculator. Use of this function with a point loses sign information when either or is negative.
Most scientific programming languages have some form of the two-argument arctangent function, , which returns an angle in the range ( ]. This is equivalent to preserving the signs on the coordinates of points so that the angle returned is in the proper one of the four quadrants.
Convert the trigonometric form
Again treating the equation
as an identity in , Maple determines two solutions for the constants and via
Selecting the positive amplitude, the desired form is then
The amplitude and phase angle are, respectively,
Linear damping is resistance proportional to , the velocity, and opposing the motion. Air resistance against the moving mass would be an example of such a force. If linear damping is added to the spring-mass system of Section 28.A, the differential equation governing displacements from equilibrium becomes
where is the coefficient of linear damping. The oscillatory motion experienced by such a system is called unforced, or free motion, and corresponds to the absence of a driving, or forcing term on the right-hand side of the equation. Hence, the DE for unforced motion is homogeneous.
Surprisingly, the very similar DE
governs the unforced RLC electric circuit (see Lesson 29) where represents the charge, represents the current, is the resistance, is the inductance, and is the capacitance ( is the elastance).
The solution procedure for a second-order linear ODE with constant coefficients calls for a search for exponential solutions, so the exponential guess leads to
and the characteristic equation
The values of the characteristic roots are then
Since the characteristic equation is quadratic, the discriminant
determines the nature of the characteristic roots which, for positive, and and nonnegative, can be negative, zero, or positive. In each case, the system experiences a distinctive motion called respective, underdamped, critically damped, or overdamped.
These three cases are examined individually in the next three subsections.
When the discriminant is negative, that is, in the case , the characteristic values are complex conjugates that can be written as
+
and =
A fundamental set contains the independent solutions
which are both exponentially damped sinusoids. (The literature refers to both the sine and cosine functions as sinusoids.)
The general solution, a linear combination of these functions, can be written either as
or as
where , , and .
In this latter form, is the damped amplitude, is the angular frequency, is the quasi-frequency, is the quasi-period, and is the phase angle.
The decaying exponential term forces all solutions to decay to the zero function as increases.
A typical example of underdamped motion is generated by the differential equation
whose solution for the initial conditions
is
Alternatively, this solution can be expressed in the form
where is the positive solution in
Hence, the equivalent form of the solution is
Figure 28.1 shows the solution in black, and the exponential envelopes + in red.
When the discriminant is zero, that is, in the case , the characteristic values are the repeated root . In this case, two linearly independent solutions to the ODE are
so that the general solution is
The motion that results from the case of the repeated characteristic root is called critically damped motion. It stands at the interface between underdamped motion and overdamped motion, the third case to be studied below. However, engineers consider that critically damped motion never occurs in actual practice. This is because the parameters in a physical system are never determined so precisely as to cause the discriminant to vanish. Even if the perfect system were built so that the oscillator experienced critically damped motion, the very motion of the spring would warm the metal and change the spring constant, and the system would no longer be truely critically damped. Thus, critical damping is really a mathematical concept.
Initial values for and lead to the equations
whose solution is
Surprisingly, the initial velocity implies .
The IVP
governs the critically damped motion exhibited by the solution
that is graphed in Figure 28.2.
Subcase 1: > 0
So long as , the common exponential factor overwhelms the linear factor and forces all solutions to zero. The decay to zero is not necessarily monotonic. The general solution of the critically damped equation has a critical point at
which is positive if and only if and < .
and graphed in Figure 28.3.
Lifting the mass and tossing it upward to set it into motion causes it to rise above the initial height, but then to descend exponentially to equilibrium.
Subcase 2: = 0
Note that if = 0, then = 0 and imply that . In this case of undamped motion, the ODE simplifies to
a fundamental set of solutions is , and the general solution is a linear function. Hence, solutions do not tend to zero as increases. In fact, except in special cases where the solution is a constant function, the solutions become unbounded as increases.
The third case is the most straightforward. If the discriminant is positive, that is, if > 0, then there are two distinct, real characteristic roots, namely,
where again
but
Writing these characteristic roots as
a fundamental set of solutions is then
so the general solution is
The system giving rise to such a solution is called overdamped, and by a stretch of notation, the differential equation itself, its solution, or the resulting motion, can be modified by the adjective "overdamped."
Observe that, because 0 < , both characteristic values are negative. In fact, < < 0. All solutions of an overdamped equation ultimately decay to zero as increases. But, just as with the critically damped case, the solution can have one critical point:
To determine when the critical point occurs with , observe that the location of the critical point can be expressed as
= ln( )
This time is positive precisely when 0 < < 1.
To conclude, note that except for the trivial case with = = 0, all solutions to the ODE for unforced oscillatory motion are transient solutions that eventually "die out" as time passes. (The first generation of television sets were built with vacuum tubes that had to "warm up" to reach their operating points. During this warm-up phase, the TV screen would generally show a gradually brightening, wavering and distorted image that was the physical realization of the transients in the circuits.)
The driven or forced oscillator is governed by the nonhomogeneous ODE
where is called the forcing term. The general solution of this equation has the form
where is the homogeneous solution built as a linear combination of the members of the fundamental set. This solution contains the decaying exponentials discussed in this worksheet. The particular solution is determined by the driving term, and any part of it that persists over time constitutes the steady-state solution, the solution that is seen after all transients die out.
Anthropomorphically speaking, resonance can be described as a temper tantrum thrown by Mother Nature. It is an exaggerated response to a stimulus.
Analytically speaking, resonance in a driven oscillator is the phenomenon whereby the steady-state response to a sinusoidal forcing term attains maximal amplitude. Thus, the amplitude of the steady-state solution of the driven damped oscillator described by the ODE
achieves a maximal value at some angular frequency .
Familiar occurrences of resonance might include the sound-box on a stringed musical instrument, the tuning circuit in an AM radio, the annoying rattle of a motor driven at certain speeds, or the collapse of the Tacoma Narrows Bridge. The body of an acoustic guitar is a resonator that amplifies the sound of the vibrating strings. The tuning circuit of an AM radio is essentially a driven RLC circuit whose resonant oscillations are used to oppose those of the carrier signal, leaving behind the broadcast information. Less useful instances of resonance include the irritation of a noisy motor whose resonance is causing nearby objects to vibrate noisily or destructively. The rythmic driving of a bridge under the footfalls of an army marching in step can cause destructive resonance. Supposedly, to avoid resonance, marching armies were instructed to break step when crossing bridges.
The collapse in 1940 of the Tacoma Narrows Bridge over the Puget Sound requires more discussion. This enormous (almost 6000 feet long) engineering structure was designed to withstand winds of up to 120 mph. But, due to its tendency to undulate in light winds, the bridge was fondly known as Galloping Gertie. On November 7, 1940, only four months after being completed, the bridge was completely destroyed in 42 mph winds. The full incident is preserved on a famous four-minute film clip; a short excerpt is available at http://www.physics.bcit.ca/netshow/tacoma.avi. For many years the accepted explanation of this tragedy was resonance. In recent years, however, an alternate theory based on aerodynamically induced condition of self-excitation or "negative damping" has gained wide acceptance. Additional details can be found at many sites on the WWW, including
http://www.urbanlegends.com/science/bridge_resonance.html http://www.vibrationdata.com/Tacoma.htm
http://www.ketchum.org/wind.html
http://www.eng.uab.edu/cee/reu_nsf99/tacoma.htm http://www.math.uconn.edu/~kmoore/tacoma.html http://www.madsci.org/posts/archives/may98/892678504.Eg.r.html http://www.nationmaster.com/encyclopedia/Tacoma-Narrows-Bridge http://en2.wikipedia.org/wiki/Tacoma_Narrows_Bridge
This is not the place to debate these theories, but both require a solid understanding of resonance and damping.
The following discussion of resonance proceeds in two parts. First, the realistic case of the driven damped oscillator is considered. Second, the unrealistic case of the undamped oscillator is discussed. Since all real systems have damping of some sort, undamped oscillators are actually only met as an approximation to real systems.
Without loss of generality, let the equation for the driven damped oscillator be
where the driving (angular) frequency is as yet undetermined. Treat it as a parameter that can be adjusted, much like the speed on an electric fan can be changed by turning a knob. The standard equation for the damped oscillator has been divided by the mass , so and .
The steady-state response is essentially the particular solution since the homogeneous solution, containing exponentials whose real parts are negative, will be a transient of the system and become negligible after a certain time. This particular solution is
The form
is more convenient for determining the amplitude , which is found via
Again selecting the positive amplitude, and ignoring the phase angle, write
This amplitude is a function of the driving frequency . Resonance occurs at the frequency that causes this function to be a maximum. Simple calculus reveals that this resonant frequency is
The positive solution is the resonant frequency, written as
An alternate form for this expression is
where is real and positive if . Thus, if the damping coefficient is nto less than , no value of the driving frequency will cause the system to resonate. Alternatively, the threshold of damping for resonance is , whereas the threshold of damping for the system to be underdamped is . Loosely speaking, it might be said that half the systems that can oscillate can be made to resonate. An underdamped system that is made to resonate will also have a natural frequency
Thus, for the damped oscillator, the natural frequency is slightly larger than the resonant frequency, whereas for the undamped oscillator, the natural and resonant frequencies will shortly be seen to be the same.
If , the expression for the amplitude of the steady-state response is
Choosing the parameter values
gives the amplitude function
whose graph is seen in Figure 28.4.
Figure 28.4 supports the initial claim that resonance can be thought of as a temper tantrum by Mother Nature. The amplitude of the driving function is just , but the magnitude of the response at steady-state is on the order of 10. For very little provocation, the oscillator has over-responded, much like a child having a temper tantrum.
The response to the driving term clearly depends on the damping parameter. Choose the system parameters to be and
so that the amplitude function is
The dependence of the amplitude on both the damping coefficient and the driving frequency can be seen in Figure 28.5.
As damping increases upward from , the magnitude of the steady-state amplitude diminishes. Thus, the greater the damping, the less the effect of resonance. As decreases, the spike in amplitude at resonance clearly increases. The plane sections shown in Figure 28.6 again capture the dependence of the resonant peak on damping. The tallest peak corresponds to the smallest value of , and the smallest peak, to the largest.
28.C-2Unrealistic Resonance
Without damping, the driven oscillator equation would be
in which case a particular solution would be
Clearly, as approaches , the natural (angular) frequency of the system, the amplitude of the steady-state solution will become infinite. In reality, there is always some damping that prevents this solution from actually existing forever. In physical terms usually one or more system components break while the amplitude is still finite. Because these unbounded solutions are primarily of theoretical interest, this is called unrealistic resonance.
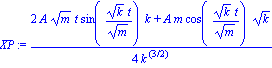
Another approach to unrealistic resonance is to drive the system initially at the natural angular frequency. The differential equation for the system then becomes
A particular solution is then
where, in spite of the complicated form, it should be clear that one of the trigonometric terms is multiplied by . This is because, by the method of undetermined coefficients, the homogeneous solution and the driving term share a common term. Hence, the particular solution requires multiplication by , and the trigonometric term in the particular solution without the factor is actually redundant - it also appears in the homogeneous solution.
To within a constant factor, the particular solution is actually
Taking = 1, this becomes
whose graph is then seen in Figure 28.7, along with the lines = + , the envelopes on the oscillations generated by .
The oscillations would become unbounded were it not for the constraints of physical reality.
[Back to ODE Powertool Table of Contents]