COMPLEX ANALYSIS: Maple Worksheets, 2001 (c) John H. Mathews Russell W. Howell mathews@fullerton.edu howell@westmont.edu Complimentary software to accompany the textbook:
COMPLEX ANALYSIS: for Mathematics & Engineering, 4th Ed, 2001, ISBN: 0-7637-1425-9 Jones and Bartlett Publishers, Inc., 40 Tall Pine Drive, Sudbury, MA 01776 Tele. (800) 832-0034; FAX: (508) 443-8000, E-mail: mkt@jbpub.com, http://www.jbpub.com/
CHAPTER 2 COMPLEX FUNCTIONS Section 2.4 Limits and Continuity Let be a real-valued function of the two real variables and . Recall that has the as ( ) approaches ( ) provided that the value of can be made to get as close as we please to the value by taking ( ) to be sufficiently close to ( ).
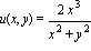
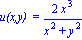
Example 2.14, Page 69. The function has the limit as ( , ) approaches ( , ) .
So, along all lines through the origin, the limit is .
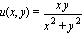
Example 2.15, Page 70. The function does NOT have a limit as ( , ) approaches ( , ) .
Since this value is dependent on the angle of approach to , does NOT have a limit as ( , ) approaches ( , ) .
Theorem 2.1 Let be a complex function that is defined in some neighborhood of ,
except perhaps at . Then
=
if and only if
and .
Limits of complex functions are formally the same as in the case of real functions, and the sum, difference, product, and quotient of functions have limits given by the sum, difference, product, and quotient of the respective limits. These proofs are left as exercises.
Example 2.17, Page 73. Find for .
Example 2.18, Page 75. Show that the polynomial function given by + ... + is continuous at each point in the complex plane. For illustration, we use .
Example 2.19, Page 76. Find for .
Error, (in f) numeric exception: division by zero
End of Section 2.4.