Partial Differential Equations
The Heat Equation: Separation of variables and Fourier series
Anton Dzhamay
Department of Mathematics
The University of Michigan
Ann Arbor, MI 48109
wPage: http://www.math.lsa.umich.edu/~adzham
email: adzham@umich.edu
Copyright 2004 by Anton Dzhamay
All rights reserved
Packages
Some packages that we use in this worksheet:
Warning, the names arrow and changecoords have been redefined
Introduction
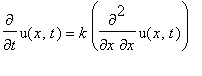
In this worksheet we consider the one-dimensional heat equation describint the evolution of temperature inside the homogeneous metal rod. We consider examples with homogeneous Dirichlet ( , ) and Newmann ( , ) boundary conditions and various
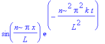
initial profiles . Say, we want to solve the problem with homogeneous Dirichlet boundary conditions. Using separation of variables we can get an infinite family of particular solutions of the form . Then we take a linear combination of such solutions with the coefficients chosen in such a way that at we get the initial profile .
Definitions
Shorthand notation for basic functions
Particular solutions
Fourier sine coefficients for on the interval
Fourier cosine coefficients for on the interval (note that the formulas are different for and )
Fourier sine series and Fourier sine polynomial for [The subtle difference here is that sometimes series (that uses sum ) has troubles with division by zero. The polynomial (that uses add ) does not have this problem, but on the other hand can not evaluate symbolic sums]
Fourier cosine series and Fourier cosine polynomial for
Fourier polynomial (and series) solution for homogeneous Dirichlet boundary conditions
Fourier polynomial (and series) solution for homogeneous Neumann boundary conditions
Dirichlet Boundary Conditions
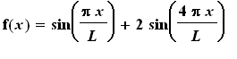
In this example we take and .
Since is just the sum of two basic functions for and , so by the principle of superposition is the required solution.
This plot shows our solution and the corresponding particular solutions. Looking at their evolution in time we see that due to faster exponential decay the particular solution goes to zero much faster than and so when is large enough the solution is well-approximated by just the first particular solution.
And this is how the graph of our solution looks like from the top (we extend it a bit in the -direction and also scale the -values by the coefficient of 1/10 to get a better picture). Points are colored according to the temperature, and we can see how quickly the initial sharp variations in the temperature (which correspond to large ) disappear:
Now let's restore and back to symbols
This time we'll need the full power of Fourier series.
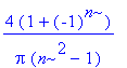
The Fourier sine coefficients of are given by
Here are the first few of them evaluated explicitly (note that all odd coefficients are zero in this case).
So the Fourier sine series for is
And this is an approximation whith four first non-zero terms:
For graphing we again choose some values for and .
Sketching Fourier sine series approximations we see that away from the boundary points Fourier approximation is getting closer and closer to our function
Sketching the Fourier approximation with helps us see it even better. Near we see that Fourier approximation goes to about 1.18. This is known as the Gibbs phenomena for the Fourier series.
Note, however, that outside of the interval the situation is quite different. Fourier series of converges not to but to its odd periodic extension .
Looking at the -dynamics of the Fourier polynomial of order 15 (red below) and its different term we again see that higher harmonics (green) have amplityde decaying faster than the first harmonic (principal mode, blue):
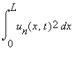
Another way to see it is to look at the "energies" of different mode. We define the energy of to be its -norm, :
This is the relative decay speed of different modes:
And this is their actual contribution to the initial profile - note that the first mode makes the "bulk" of the initial energy, and also decays the slowest!
Clean-up:
Newmann Boundary Conditions
Fourier cosine coefficients:
Explicitly:
This is how the Fourier polynomial of order 4 looks like:
For graphing we again take , .
This function plots the graph of and its -th approximation on the interval .
Here is a sequence of such approximation. Notice the convergence:
Note, however, that outside of the interval the function and its Fourier polynomial are quite different:
The function below sketches the initial profile and the Fourier polynomial approximation to the solution of order at time .
We can see that the solution converges to the average of the initial profile .
References
Disclaimer
"While every effort has been made to validate the solutions in this worksheet, Waterloo Maple Inc. and the contributors are not responsible for any errors contained and are not liable for any damages resulting from the use of this material."