Application Center - Maplesoft

App Preview:

Trapezoid Rule

You can switch back to the summary page by clicking here.

Learn about Maple
Download Application


 

trapezoid.mws

The Trapezoid Rule

By Sylvain Muise

<smuise@student.math.uwaterloo.ca>

Introduction

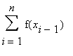
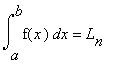
The trapezoid rule is one way of many to approximate definite integrals. It is found by finding the average between the left-point rules and right-point rules defined as follows:

Left-point rule: int(f(x),x = a .. b) = L[n] = sum(f(x[i-1]),i = 1 .. n) Delta*x

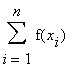
Right-point rule: int(f(x),x = a .. b) = R[n] = sum(f(x[i]),i = 1 .. n) Delta*x

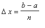
where x[i] = a+i*Delta*x and Delta*x = (b-a)/n .

It is called the trapezoid rule because of the shape of polygons which results. This Maple application demonstrates the trapezoid rule using graphs and animations.

Code

> restart:

> leftGraph := proc(f, a, b, n)
local dX, boxes, i, x0, x1, graph:
dX := (b-a)/n:
boxes := []:
for i from 1 to n do
x0 := a+(i-1) * dX:
x1 := a + i * dX:
boxes := [op(boxes), plottools[polygon]([[x0, 0], [x0,f(x0)],[x1,f(x0)],[x1,0]], color=cyan)]:
end do:
graph := plot(f(x),x=a..b):
plots[display]([graph,seq(boxes[i],i=1..n)], axes=normal)
end proc:

> rightGraph := proc(f, a, b, n)
local dX, boxes, i, x0, x1, graph:
dX := (b-a)/n:
boxes := []:
for i from 1 to n do
x0 := a+(i-1) * dX:
x1 := a + i * dX:
boxes := [op(boxes), plottools[polygon]([[x0,0],[x0,f(x1)], [x1, f(x1)], [x1, 0]], color=cyan)]:
end do:
graph := plot(f(x), x=a..b):
plots[display]([graph, seq(boxes[i],i=1..n)], axes=normal)
end proc:

> trapGraph := proc(f, a, b, n)
local dX, traps, i, x0, x1, graph:
dX := (b - a) /n:
traps := []:
for i from 1 to n do
x0 := a + (i-1) * dX:
x1 := a + i * dX:
traps := [op(traps), plottools[polygon]([[x0,0],[x0,f(x0)],[x1, f(x1)], [x1, 0]], color=cyan)]:
end do:
graph := plot(f(x),x=a..b):
plots[display]([graph, seq(traps[i], i=1..n)], axes=normal)
end proc:

> animateTraps := proc(f, a, b, initN, finalN)
local i, animations, temp:
if initN <= finalN then
for i from initN to finalN do
animations[i] := trapGraph(f,a, b, i):
end do:
temp := initN:
temp2 := finalN:
elif initN > finalN then
temp := initN:
for i from finalN to initN do
animations[temp] := trapGraph(f,a,b,i):
temp := temp - 1:
end do:
temp := finalN:
temp2 := initN:
end if:
plots[display](seq(animations[i],i=temp..temp2),insequence=true, axes=normal)
end proc:

Warning, `temp2` is implicitly declared local to procedure `animateTraps`

Examples

First, define a function. Ex: f := x -> sin(x);
The first three functions, leftGraph, rightGraph, and trapGraph, display an image of the function and the corresponding approximation.
Parameters: ????Graph(f, a, b, n)
f : the function
a: the lower limit of integration/approximation
b: the upper limit of integration/approximation
n: the number of trapezoids to use to approximate the integral

The second function, animateTraps, displays an animation of the function and the trapezoidal approximation with changing values of n.
Parameters: animateTraps(f, a, b, initN, finalN)
f: the function
a: the lower limit of integration/approximation
b: the upper limit of integration/approximation
initN: the initial number of trapezoids to use to approximate the integral
finalN : the final number of trapezoids to use to approximate the integral
Examples:

> f := x -> sin(x);

f := sin

> leftGraph(f, 0, 4*Pi, 20);

[Maple Plot]

> rightGraph(f, 0, 4*Pi, 20);

[Maple Plot]

> trapGraph(f, 0, 4*Pi, 20);

[Maple Plot]

> animateTraps(f, 0, 4*Pi, 1, 20);

[Maple Plot]

> animateTraps(f, 0, 4*Pi, 20, 1);

[Maple Plot]

> g := x -> x^3:

> leftGraph(g, -10, 10, 5);

[Maple Plot]

> rightGraph(g, -10, 10, 5);

[Maple Plot]

> trapGraph(g, -10, 10, 5);

[Maple Plot]

> animateTraps(g, -10, 10, 1, 20);

[Maple Plot]

> h:= x -> exp(-x^2):

> trapGraph(h, -2, 2, 5);

[Maple Plot]

> animateTraps(h, -2,2,1, 30);

[Maple Plot]

>