Calculus II
Lesson 4: Applications of Integration 2: Average Value of a Function
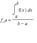
Let's examine why we should define the average value of a function over the interval to be
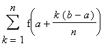
We could start by partitioning the interval into equal sub-intervals. Since should be approximately constant on each sub-interval (at least if is large), we could approximate the average value of by computing the average value of the function we get by replacing on each subinterval by its value at the right-hand endpoint of the sub-interval. This is illustrated below, taking to be the function on , with 6 sub-intervals. (The graph of the function consists of the 6 line segments that make up the tops of the rectangles in the figure.)
> student[rightbox](cos(x), x=0..Pi/2,6);
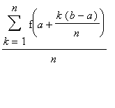
The average value of should just be the mean of the values taken by . ( in the example above.) This mean is = . Apart from the first factor of , we recognise this as a Riemann sum for ; as , our approximation should therefore converge to , so it seems reasonable to define the (exact) average value of to be this last expression.
Example
If a freely falling body starts from rest, then its displacement is given by . Fix a time , and let the velocity after time be V.
(a). Show that the average velocity, with respect to , over the interval , is .
Solution. First, notice that we are asked to find the average value of velocity , . Since is the velocity at time ,
. The average velocity, with respect to time, over the interval , is
> restart;
> (1/(T - 0))*int(g*t, t=0..T);
and this is indeed .
(b). Define , the displacement at time . Write the velocity as a function of displacement, , and show that the average velocity, with respect to s, over the interval , is .
Solution. In part (a), all quantities were written as functions of . Now we have to write everything in terms of , through the relation . Solving for , we get , so (for example) = . Now let's compute the average of , considered as a function of , over the interval :
> S := g*T^2/2;
> w := (1/(S - 0))*int(sqrt(2*g*s), s=0..S);
> assume(g>0); assume(T>0);
> simplify(w);