Application Center - Maplesoft

App Preview:

Max and min problems II

You can switch back to the summary page by clicking here.

Learn about Maple
Download Application


 

L9-maxmin2.mws

Calculus I

Lesson 10: Max and Min Problems 3

In each of the following problems, we first get a numerical solution and then a precise solution.

Example 1
A steel pipe is being carried down a hallway 9 feet wide. At the end of the hall there is

a right-angled turn into a narrower hallway 6 feet wide. What is the length of the longest pipe

that can be carried horizontally around the corner? See figure below.

> with(plots): with(plottools):
L1 := line([0,0],[18,0]):
L2 := line([0,9],[12,9]):
L3 := line([12,9],[12,15]):
L4 := line([18,0],[18,15]):
bar := rectangle([5,6], [15,7], color=blue):
display([L1,L2,L3,L4, bar], axes=none);

[Maple Plot]

We solve this problem by locating a minimum!

Let A and B denote the ends of the pipe.

Let L denote the length of the pipe, i.e. length of the segment from A to B

and passing touching the corner.

Let theta (theta) be the angle shown.

As theta goes to 0 or to theta /2, we have that L goes to infinity .

There will be an angle that makes L a minimum. A pipe of this length will

just fit around the corner. This will be the length of the longest pipe that can

fit. In the equations below, x = theta

> L:= x -> 9 * csc(x) + 6 * sec(x);

L := proc (x) options operator, arrow; 9*csc(x)+6*s...

First we do some plotting to see what the graph of L looks like.

Remember that csc(x) and sec(x) are not defined for all x. From the

figure we see that theta is between 0 and Pi/2 .

> plot(L(x), x = 0.1..Pi/2-0.1, color = black);

[Maple Plot]

We first locate numerically the minimum shown above.

> fsolve(D(L)(x) = 0, x = 0..3);

.8527708776

> D(D(L))(.8527708776);

63.21134143

> L(.8527708776);

21.07044714

Numerically we have a critical point at x = .8527708776 .

Since the second derivative at the critical point is positive we have a minimum

when x = .8527708776 . Numerically the minimum is 21.07044714 .

Hence the longest pipe that can fit around the corner is approximately

21.07044714 feet. Can we get a precise solution; not simply a

numerical estimate?

> D(L);

proc (x) options operator, arrow; -9*csc(x)*cot(x)+...

From the above we see that L' = 0 when

6 sec(x) tan(x) = 9 csc(x) cot(x) OR tan(x) = (9/6)^(1/3) = (3/2)^(1/3) .

Thus the critical point is the unique value of x in ( 0, Pi/2 ) where tan(x) = (3/2)^(1/3)

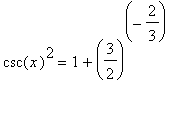
Using the above diagram and tan(x) = (3/2)^(1/3) we have:

csc(x)^2 = 1+(3/2)^(-2/3) and sec(x)^2 = 1+(3/2)^(2/3) .

> evalf( 9 * sqrt(1 + (3/2)^ (-2/3)) + 6 * sqrt(1 + (3/2) ^(2/3)) );

21.07044714

We see we have the same estimate for the longest length of the pipe.

We need to check that we have a minimum for the function L.

From the first derivative we see that L'(x) > 0 iff (3/2)^(1/3) < tan(x)

and L'(x) < 0 iff tan(x) < (3/2)^(1/3) .

Let c be the unique point in ( 0, Pi/2 ) where tan(c) = (3/2)^(1/3) .

From the numerical estimates above we know that c is about

.8527708776

Recall graph of tan(x).

> aa:= plot(tan(x), x = 0 .. Pi/2 - .1, color = black):

> bb:= plot([t,(3/2)^(1/3), t = 0..Pi/2 - .1], color = magenta):

> cc:= textplot([1.1,6,`tan(x)`], color = red):

> dd:= textplot([.5,2.5,`y = (3/2)^(1/3)`], color = red):

> display({aa,bb,cc,dd});

[Maple Plot]

From the above plot we see that L'(x) < 0 for x < c and L'(x) > 0 for x > c;

hence L has a minimum when x = c.

Example 2

Find the dimensions of the rectangle of largest area that has its base on the x-axis and

its other two vertices above the x-axis and lying on the parabola y = 8-x^2 . See figure.

> f := x->8-x^2;

f := proc (x) options operator, arrow; 8-x^2 end pr...

> a := -2: b := 2:
c := -1: d := 1:
rec1 := rectangle([a, 0],[b, f(b)], color=pink, thickness=2):
rec2 := rectangle([c, 0],[d, f(d)], color=yellow):
graph := plot(f(x), x=-4..4, thickness=3):
display(rec1, rec2, graph);

[Maple Plot]

Let AA denote the area of the rectangle. Then A*A = 2*x*(8-x^2) .

> AA:= x -> 2 * x * ( 8 - x^2);

AA := proc (x) options operator, arrow; 2*x*(8-x^2)...

> D(AA);

proc (x) options operator, arrow; 16-6*x^2 end proc...

> solve( 16 - 6 * x^2= 0,x);

-2/3*sqrt(6), 2/3*sqrt(6)

> evalf(%);

-1.632993162, 1.632993162

> D(D(AA))(1.632993162);

-19.59591794

Numerically AA has a critical point when x = 1.632993162 ; since AA''( 1.632993162 ) < 0,

we know that AA is a max when x = 1.632993162 . Since y = 8-x^2 we have

y = 8-( 1.632993162 )^2 . Thus xy is numerically 5.333333333

> evalf(8 - (1.632993162)^2);

5.333333333

Precisely, AA has a maximum when x = 2/3*sqrt(6) and y = 8-24/9 .