Solving Cauchy problems for heat equations
by Aleksas Domarkas
Vilnius University, Faculty of Mathematics and Informatics,
Naugarduko 24, Vilnius, Lithuania
aleksas@ieva.mif.vu.lt
NOTE: In this session we solve Cauchy problems for heat equations
1 Example
Problem
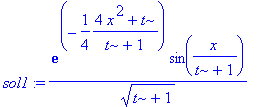
Solving problem
Checking the Solution
2 Example
[vlad] 13.5.8
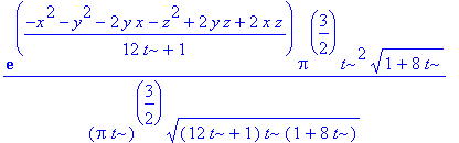
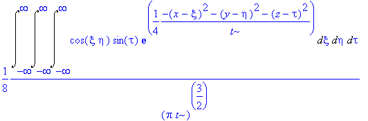
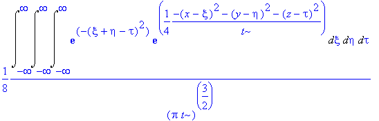
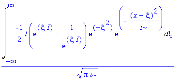
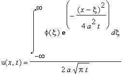
Solving by Poisson formula
By Poisson formula:
Solving using Fourier transform
3 Example
[vlad] 13.6.2
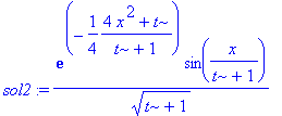
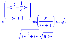
Solving by decomposition method
I
II
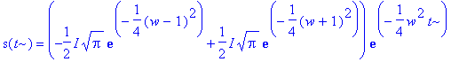
solving I
solving II
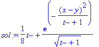
Solution
4 Example
problem
[vlad] 13.6.5.
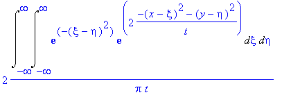
By Poisson formula
5 Example
[vlad] 13.7.4
solution
6 Example
[vlad] 13.7.5.
7 Example
Solution:
Other examples
Other examples see in inttrans.mws.
While every effort has been made to validate the solutions in this worksheet, Waterloo Maple Inc. and the conevibutors are not responsible for any errors contained and are not liable for any damages resulting from the use of this material.
Back to contents