Fourier method for heat equation
by Aleksas Domarkas
Vilnius University, Faculty of Mathematics and Informatics,
Naugarduko 24, Vilnius, Lithuania
aleksas@ieva.mif.vu.lt
NOTE: In this session we find solutions of boundary value problems for heat equation using Fourier method
1 Example
Problem
Eigenvalues and eigenfunctions
Eigenvalues and eigenfunctions:
Solving problem
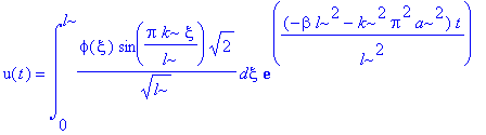
Solution we find in form:
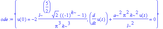
For coefficients T[k](t) we have ODE problem:
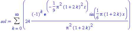
Solution
Test
2 Example
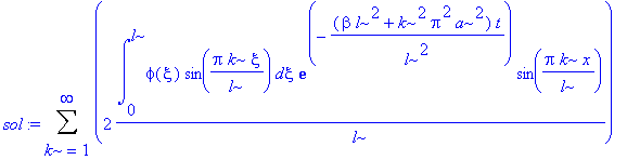
We convert this solution to other form. Index change to :
3 Example
[bic] 694
or
4 Example
[komec] 93 p.
5 Example
[komec] 98 p.
Solution:
Limit of solution, when
We test this at x=0:
6 Example
Solution representation formula
where - zeros of Bessel J(0,x) function ,
Zeros of Bessel J(0,x) function
Note: see ?BesselJZeros
Plots
3d animation:
While every effort has been made to validate the solutions in this worksheet, Waterloo Maple Inc. and the conevibutors are not responsible for any errors contained and are not liable for any damages resulting from the use of this material.
Back to contents