Application Center - Maplesoft

App Preview:

Fast Maple algorithms for k-statistics, polykays and their multivariate generalization

You can switch back to the summary page by clicking here.

Learn about Maple
Download Application


This Maple worksheet accompanies the papers: 

 

Di Nardo E., G. Guarino, D. Senato (2007), A new method for fast computing unbiased estimators of cumulants. In press Statistics and Computing.
http://www.springer.com/statistics/computational/journal/11222  (download from http://www.unibas.it/utenti/dinardo/lavori.html) 

 

Fast Maple algorithms for k-statistics, polykays
and their multivariate generalization
 

E. Di Nardo*
elvira.dinardo@unibas.it
http://www.unibas.it/utenti/dinardo/home.html;
Tel: +39 0971205890, Fax: +39 0971205896 

G. Guarino**
giuseppe.guarino@asl2.potenza.it 

D. Senato*
domenico.senato@unibas.it 

 
* Dipartimento di Matematica e Informatica, Universit? degli Studi della Basilicata,Viale dell'Ateneo Lucano n.10, 85100 Potenza, Italy 

**Medical Scool, Universit? del Sacro Cuore (Rome branch), Largo Agostino Gemelli n.8, 00168 Roma, Italy 

Introduction 

Abstract: We provide four algorithms to generate single and multivariate k-statistics and single and multivariate polykays. The computational times are very fast compared with the procedures available in the literature. Such speeding up is obtained through a symbolic method arising from the classical umbral calculus. The classical umbral calculus is a light syntax to manage sequences of numbers or polynomials, involving only elementary rules. The keystone of the procedures here introduced is the connection, achieved by a symbolic device, between cumulants of a random variable and a suitable compound Poisson random variable. Such a connection holds also for multivariate random variables. 

Application Areas/Subject: Combinatorics & algebraic methods in statistics. 

Keyword: umbral calculus, symmetric polynomials, set partitions, multiset, cumulants, k-statistics, polykays. 

See Also:  Maple algorithm [3], [6] 

Remark: k-statistics, polykays and their multivariate generalization are commonly defined in terms of power sums, that are sums of the rth powers of the data points: 

 

 

Initialization 

 

>
 

> with(combinat, partition, multinomial, stirling2)
 

[partition, multinomial, stirling2] (2.1)
 

k-statistics 

The nth k-statistic  is the unique symmetric unbiased estimator of the cumulant of a given statistical distribution.  

is defined so that E[] =   

 

> `assign`(makeTab_ss, proc (N) [seq([`/`(`*`(factorial(N), `*`(mul(k[i], i = y))), `*`(mul(`*`(`^`(factorial(x), numboccur(y, x)), `*`(factorial(numboccur(y, x)))), x = {op(y)}))), mul(S[i], i = y)], y...
`assign`(makeTab_ss, proc (N) [seq([`/`(`*`(factorial(N), `*`(mul(k[i], i = y))), `*`(mul(`*`(`^`(factorial(x), numboccur(y, x)), `*`(factorial(numboccur(y, x)))), x = {op(y)}))), mul(S[i], i = y)], y...
`assign`(makeTab_ss, proc (N) [seq([`/`(`*`(factorial(N), `*`(mul(k[i], i = y))), `*`(mul(`*`(`^`(factorial(x), numboccur(y, x)), `*`(factorial(numboccur(y, x)))), x = {op(y)}))), mul(S[i], i = y)], y...
`assign`(makeTab_ss, proc (N) [seq([`/`(`*`(factorial(N), `*`(mul(k[i], i = y))), `*`(mul(`*`(`^`(factorial(x), numboccur(y, x)), `*`(factorial(numboccur(y, x)))), x = {op(y)}))), mul(S[i], i = y)], y...
`assign`(makeTab_ss, proc (N) [seq([`/`(`*`(factorial(N), `*`(mul(k[i], i = y))), `*`(mul(`*`(`^`(factorial(x), numboccur(y, x)), `*`(factorial(numboccur(y, x)))), x = {op(y)}))), mul(S[i], i = y)], y...
`assign`(makeTab_ss, proc (N) [seq([`/`(`*`(factorial(N), `*`(mul(k[i], i = y))), `*`(mul(`*`(`^`(factorial(x), numboccur(y, x)), `*`(factorial(numboccur(y, x)))), x = {op(y)}))), mul(S[i], i = y)], y...
`assign`(makeTab_ss, proc (N) [seq([`/`(`*`(factorial(N), `*`(mul(k[i], i = y))), `*`(mul(`*`(`^`(factorial(x), numboccur(y, x)), `*`(factorial(numboccur(y, x)))), x = {op(y)}))), mul(S[i], i = y)], y...
`assign`(makeTab_ss, proc (N) [seq([`/`(`*`(factorial(N), `*`(mul(k[i], i = y))), `*`(mul(`*`(`^`(factorial(x), numboccur(y, x)), `*`(factorial(numboccur(y, x)))), x = {op(y)}))), mul(S[i], i = y)], y...
`assign`(makeTab_ss, proc (N) [seq([`/`(`*`(factorial(N), `*`(mul(k[i], i = y))), `*`(mul(`*`(`^`(factorial(x), numboccur(y, x)), `*`(factorial(numboccur(y, x)))), x = {op(y)}))), mul(S[i], i = y)], y...
`assign`(makeTab_ss, proc (N) [seq([`/`(`*`(factorial(N), `*`(mul(k[i], i = y))), `*`(mul(`*`(`^`(factorial(x), numboccur(y, x)), `*`(factorial(numboccur(y, x)))), x = {op(y)}))), mul(S[i], i = y)], y...
`assign`(makeTab_ss, proc (N) [seq([`/`(`*`(factorial(N), `*`(mul(k[i], i = y))), `*`(mul(`*`(`^`(factorial(x), numboccur(y, x)), `*`(factorial(numboccur(y, x)))), x = {op(y)}))), mul(S[i], i = y)], y...
`assign`(makeTab_ss, proc (N) [seq([`/`(`*`(factorial(N), `*`(mul(k[i], i = y))), `*`(mul(`*`(`^`(factorial(x), numboccur(y, x)), `*`(factorial(numboccur(y, x)))), x = {op(y)}))), mul(S[i], i = y)], y...
`assign`(makeTab_ss, proc (N) [seq([`/`(`*`(factorial(N), `*`(mul(k[i], i = y))), `*`(mul(`*`(`^`(factorial(x), numboccur(y, x)), `*`(factorial(numboccur(y, x)))), x = {op(y)}))), mul(S[i], i = y)], y...
`assign`(makeTab_ss, proc (N) [seq([`/`(`*`(factorial(N), `*`(mul(k[i], i = y))), `*`(mul(`*`(`^`(factorial(x), numboccur(y, x)), `*`(factorial(numboccur(y, x)))), x = {op(y)}))), mul(S[i], i = y)], y...
`assign`(makeTab_ss, proc (N) [seq([`/`(`*`(factorial(N), `*`(mul(k[i], i = y))), `*`(mul(`*`(`^`(factorial(x), numboccur(y, x)), `*`(factorial(numboccur(y, x)))), x = {op(y)}))), mul(S[i], i = y)], y...
`assign`(makeTab_ss, proc (N) [seq([`/`(`*`(factorial(N), `*`(mul(k[i], i = y))), `*`(mul(`*`(`^`(factorial(x), numboccur(y, x)), `*`(factorial(numboccur(y, x)))), x = {op(y)}))), mul(S[i], i = y)], y...
`assign`(makeTab_ss, proc (N) [seq([`/`(`*`(factorial(N), `*`(mul(k[i], i = y))), `*`(mul(`*`(`^`(factorial(x), numboccur(y, x)), `*`(factorial(numboccur(y, x)))), x = {op(y)}))), mul(S[i], i = y)], y...
`assign`(makeTab_ss, proc (N) [seq([`/`(`*`(factorial(N), `*`(mul(k[i], i = y))), `*`(mul(`*`(`^`(factorial(x), numboccur(y, x)), `*`(factorial(numboccur(y, x)))), x = {op(y)}))), mul(S[i], i = y)], y...
`assign`(makeTab_ss, proc (N) [seq([`/`(`*`(factorial(N), `*`(mul(k[i], i = y))), `*`(mul(`*`(`^`(factorial(x), numboccur(y, x)), `*`(factorial(numboccur(y, x)))), x = {op(y)}))), mul(S[i], i = y)], y...`assign`(makeK_s, proc (N) [seq(k[i] = add(`*`(stirling2(i, j), `*`(`^`(x, j), `*`(`^`(-1, `+`(j, `-`(1))), `*`(factorial(`+`(j, `-`(1))))))), j = 1 .. i), i = 1 .. N)] end proc); -1`assign`(fd, proc (j, k) expand(mul(`+`(n, `-`(i), `-`(k)), i = 0 .. `+`(j, `-`(k)))) end proc); -1`assign`(ks, proc (N) local u, v; `assign`(v, expand(eval(makeTab_ss(N), makeK_s(N)))); `assign`(u, [seq(`^`(x, i) = `*`(`^`(-1, `+`(i, `-`(1))), `*`(factorial(`+`(i, `-`(1))), `*`(fd(`+`(N, `-`(1)), ...
`assign`(ks, proc (N) local u, v; `assign`(v, expand(eval(makeTab_ss(N), makeK_s(N)))); `assign`(u, [seq(`^`(x, i) = `*`(`^`(-1, `+`(i, `-`(1))), `*`(factorial(`+`(i, `-`(1))), `*`(fd(`+`(N, `-`(1)), ...
`assign`(ks, proc (N) local u, v; `assign`(v, expand(eval(makeTab_ss(N), makeK_s(N)))); `assign`(u, [seq(`^`(x, i) = `*`(`^`(-1, `+`(i, `-`(1))), `*`(factorial(`+`(i, `-`(1))), `*`(fd(`+`(N, `-`(1)), ...
`assign`(ks, proc (N) local u, v; `assign`(v, expand(eval(makeTab_ss(N), makeK_s(N)))); `assign`(u, [seq(`^`(x, i) = `*`(`^`(-1, `+`(i, `-`(1))), `*`(factorial(`+`(i, `-`(1))), `*`(fd(`+`(N, `-`(1)), ...
`assign`(ks, proc (N) local u, v; `assign`(v, expand(eval(makeTab_ss(N), makeK_s(N)))); `assign`(u, [seq(`^`(x, i) = `*`(`^`(-1, `+`(i, `-`(1))), `*`(factorial(`+`(i, `-`(1))), `*`(fd(`+`(N, `-`(1)), ...
`assign`(ks, proc (N) local u, v; `assign`(v, expand(eval(makeTab_ss(N), makeK_s(N)))); `assign`(u, [seq(`^`(x, i) = `*`(`^`(-1, `+`(i, `-`(1))), `*`(factorial(`+`(i, `-`(1))), `*`(fd(`+`(N, `-`(1)), ...
`assign`(ks, proc (N) local u, v; `assign`(v, expand(eval(makeTab_ss(N), makeK_s(N)))); `assign`(u, [seq(`^`(x, i) = `*`(`^`(-1, `+`(i, `-`(1))), `*`(factorial(`+`(i, `-`(1))), `*`(fd(`+`(N, `-`(1)), ...
`assign`(ks, proc (N) local u, v; `assign`(v, expand(eval(makeTab_ss(N), makeK_s(N)))); `assign`(u, [seq(`^`(x, i) = `*`(`^`(-1, `+`(i, `-`(1))), `*`(factorial(`+`(i, `-`(1))), `*`(fd(`+`(N, `-`(1)), ...
`assign`(ks, proc (N) local u, v; `assign`(v, expand(eval(makeTab_ss(N), makeK_s(N)))); `assign`(u, [seq(`^`(x, i) = `*`(`^`(-1, `+`(i, `-`(1))), `*`(factorial(`+`(i, `-`(1))), `*`(fd(`+`(N, `-`(1)), ...
`assign`(ks, proc (N) local u, v; `assign`(v, expand(eval(makeTab_ss(N), makeK_s(N)))); `assign`(u, [seq(`^`(x, i) = `*`(`^`(-1, `+`(i, `-`(1))), `*`(factorial(`+`(i, `-`(1))), `*`(fd(`+`(N, `-`(1)), ...
`assign`(ks, proc (N) local u, v; `assign`(v, expand(eval(makeTab_ss(N), makeK_s(N)))); `assign`(u, [seq(`^`(x, i) = `*`(`^`(-1, `+`(i, `-`(1))), `*`(factorial(`+`(i, `-`(1))), `*`(fd(`+`(N, `-`(1)), ...
`assign`(ks, proc (N) local u, v; `assign`(v, expand(eval(makeTab_ss(N), makeK_s(N)))); `assign`(u, [seq(`^`(x, i) = `*`(`^`(-1, `+`(i, `-`(1))), `*`(factorial(`+`(i, `-`(1))), `*`(fd(`+`(N, `-`(1)), ...
`assign`(ks, proc (N) local u, v; `assign`(v, expand(eval(makeTab_ss(N), makeK_s(N)))); `assign`(u, [seq(`^`(x, i) = `*`(`^`(-1, `+`(i, `-`(1))), `*`(factorial(`+`(i, `-`(1))), `*`(fd(`+`(N, `-`(1)), ...
`assign`(ks, proc (N) local u, v; `assign`(v, expand(eval(makeTab_ss(N), makeK_s(N)))); `assign`(u, [seq(`^`(x, i) = `*`(`^`(-1, `+`(i, `-`(1))), `*`(factorial(`+`(i, `-`(1))), `*`(fd(`+`(N, `-`(1)), ...
`assign`(ks, proc (N) local u, v; `assign`(v, expand(eval(makeTab_ss(N), makeK_s(N)))); `assign`(u, [seq(`^`(x, i) = `*`(`^`(-1, `+`(i, `-`(1))), `*`(factorial(`+`(i, `-`(1))), `*`(fd(`+`(N, `-`(1)), ...
`assign`(ks, proc (N) local u, v; `assign`(v, expand(eval(makeTab_ss(N), makeK_s(N)))); `assign`(u, [seq(`^`(x, i) = `*`(`^`(-1, `+`(i, `-`(1))), `*`(factorial(`+`(i, `-`(1))), `*`(fd(`+`(N, `-`(1)), ...
`assign`(ks, proc (N) local u, v; `assign`(v, expand(eval(makeTab_ss(N), makeK_s(N)))); `assign`(u, [seq(`^`(x, i) = `*`(`^`(-1, `+`(i, `-`(1))), `*`(factorial(`+`(i, `-`(1))), `*`(fd(`+`(N, `-`(1)), ...
`assign`(ks, proc (N) local u, v; `assign`(v, expand(eval(makeTab_ss(N), makeK_s(N)))); `assign`(u, [seq(`^`(x, i) = `*`(`^`(-1, `+`(i, `-`(1))), `*`(factorial(`+`(i, `-`(1))), `*`(fd(`+`(N, `-`(1)), ...
`assign`(ks, proc (N) local u, v; `assign`(v, expand(eval(makeTab_ss(N), makeK_s(N)))); `assign`(u, [seq(`^`(x, i) = `*`(`^`(-1, `+`(i, `-`(1))), `*`(factorial(`+`(i, `-`(1))), `*`(fd(`+`(N, `-`(1)), ...
 

Example 

> ks(3)
 

`/`(`*`(`+`(`*`(2, `*`(`^`(S[1], 3))), `-`(`*`(3, `*`(n, `*`(S[1], `*`(S[2]))))), `*`(`^`(n, 2), `*`(S[3])))), `*`(n, `*`(`+`(n, `-`(1)), `*`(`+`(n, `-`(2)))))) (3.1)
 

>
 

.250 (3.2)
 

Example of k-statistics construction ()  

> `assign`(v, makeTab_ss(3))
 

[[`*`(`^`(k[1], 3)), `*`(`^`(S[1], 3))], [`+`(`*`(3, `*`(k[1], `*`(k[2])))), `*`(S[1], `*`(S[2]))], [k[3], S[3]]] (3.1.1)
 

> `assign`(u, makeK_s(3))
 

[k[1] = x, k[2] = `+`(x, `-`(`*`(`^`(x, 2)))), k[3] = `+`(x, `-`(`*`(3, `*`(`^`(x, 2)))), `*`(2, `*`(`^`(x, 3))))] (3.1.2)
 

> `assign`(v, expand(eval(v, u)))
 

[[`*`(`^`(x, 3)), `*`(`^`(S[1], 3))], [`+`(`*`(3, `*`(`^`(x, 2))), `-`(`*`(3, `*`(`^`(x, 3))))), `*`(S[1], `*`(S[2]))], [`+`(x, `-`(`*`(3, `*`(`^`(x, 2)))), `*`(2, `*`(`^`(x, 3)))), S[3]]] (3.1.3)
 

> `assign`(u, [seq(`^`(x, i) = `*`(`^`(-1, `+`(i, `-`(1))), `*`(factorial(`+`(i, `-`(1))), `*`(fd(`+`(3, -1), i)))), i = 1 .. 3)])
 

[x = `+`(`*`(`^`(n, 2)), `-`(`*`(3, `*`(n))), 2), `*`(`^`(x, 2)) = `+`(`-`(n), 2), `*`(`^`(x, 3)) = 2] (3.1.4)
 

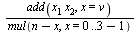
> `/`(`*`(add(`*`(x[1], `*`(x[2])), x = expand(eval(v, u)))), `*`(mul(`+`(n, `-`(x)), x = 0 .. `+`(3, -1))))
 

`/`(`*`(`+`(`*`(2, `*`(`^`(S[1], 3))), `-`(`*`(3, `*`(n, `*`(S[1], `*`(S[2]))))), `*`(`^`(n, 2), `*`(S[3])))), `*`(n, `*`(`+`(n, `-`(1)), `*`(`+`(n, `-`(2)))))) (3.1.5)
 

Test previouse result 

> ks(3)
 

`/`(`*`(`+`(`*`(2, `*`(`^`(S[1], 3))), `-`(`*`(3, `*`(n, `*`(S[1], `*`(S[2]))))), `*`(`^`(n, 2), `*`(S[3])))), `*`(n, `*`(`+`(n, `-`(1)), `*`(`+`(n, `-`(2)))))) (3.1.6)
 

> evalb(% = `%%`)
 

true (3.1.7)
 

Note on "fd" function  

fd( x, y ): x is the lower factorial and y is the numbers of factors to delete from left of lower factorial expression. 

Example: the decreasing factorial = n*(n-1)*(n-2)*(n-3) 

> fd(3, 0); 1expand(`*`(n, `*`(`+`(n, `-`(1)), `*`(`+`(n, `-`(2)), `*`(`+`(n, `-`(3)))))))
 

 

 

`+`(`*`(`^`(n, 4)), `-`(`*`(6, `*`(`^`(n, 3)))), `*`(11, `*`(`^`(n, 2))), `-`(`*`(6, `*`(n))))
`+`(`*`(`^`(n, 4)), `-`(`*`(6, `*`(`^`(n, 3)))), `*`(11, `*`(`^`(n, 2))), `-`(`*`(6, `*`(n)))) (3.2.1)
 

Deleting "n" from  

> fd(3, 1); 1expand(`*`(`+`(n, `-`(1)), `*`(`+`(n, `-`(2)), `*`(`+`(n, `-`(3))))))
 

 

 

`+`(`*`(`^`(n, 3)), `-`(`*`(6, `*`(`^`(n, 2)))), `*`(11, `*`(n)), `-`(6))
`+`(`*`(`^`(n, 3)), `-`(`*`(6, `*`(`^`(n, 2)))), `*`(11, `*`(n)), `-`(6)) (3.2.2)
 

Deleting "n*(n-1)" from  

> fd(3, 2); 1expand(`*`(`+`(n, `-`(2)), `*`(`+`(n, `-`(3)))))
 

 

 

`+`(`*`(`^`(n, 2)), `-`(`*`(5, `*`(n))), 6)
`+`(`*`(`^`(n, 2)), `-`(`*`(5, `*`(n))), 6) (3.2.3)
 

 

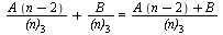
Remark: if we want to calculate the following expression: 

 

we have to compute: 

 

 

where ()  is obtained from  deleting the first two terms. 

 

Example: compare the results of the expressions computed with and without "fd" function. 

Without "fd" function 

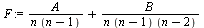
> `assign`(F, `+`(`/`(`*`(A), `*`(n, `*`(`+`(n, `-`(1))))), `/`(`*`(B), `*`(n, `*`(`+`(n, `-`(1)), `*`(`+`(n, `-`(2))))))))
 

`+`(`/`(`*`(A), `*`(n, `*`(`+`(n, `-`(1))))), `/`(`*`(B), `*`(n, `*`(`+`(n, `-`(1)), `*`(`+`(n, `-`(2))))))) (3.2.4)
 

> simplify(F)
 

`/`(`*`(`+`(`*`(A, `*`(n)), `-`(`*`(2, `*`(A))), B)), `*`(n, `*`(`+`(n, `-`(1)), `*`(`+`(n, `-`(2)))))) (3.2.5)
 

> `assign`(R1, `/`(`*`(collect(numer(F), {A, B}, distributed)), `*`(denom(F))))
 

`/`(`*`(`+`(`*`(A, `*`(`+`(n, `-`(2)))), B)), `*`(n, `*`(`+`(n, `-`(1)), `*`(`+`(n, `-`(2)))))) (3.2.6)
 

 

With "fd" function. This metod is used in functions generating k-statistics and polykays. 

> `+`(`/`(`*`(A, `*`(fd(`+`(3, -1), 2))), `*`(`(n)`[3])), `/`(`*`(B), `*`(`(n)`[3]))) = `/`(`*`(`+`(`*`(A, `*`(fd(`+`(3, -1), 2))), B)), `*`(`(n)`[3]))
 

`+`(`/`(`*`(A, `*`(`+`(n, `-`(2)))), `*`(`(n)`[3])), `/`(`*`(B), `*`(`(n)`[3]))) = `/`(`*`(`+`(`*`(A, `*`(`+`(n, `-`(2)))), B)), `*`(`(n)`[3])) (3.2.7)
 

> `assign`(F, `+`(`*`(A, `*`(fd(`+`(3, -1), 2))), `*`(B, `*`(fd(`+`(3, -1), 3)))))
 

`+`(`*`(A, `*`(`+`(n, `-`(2)))), B) (3.2.8)
 

> `assign`(R2, `/`(`*`(F), `*`(fd(`+`(3, -1), 0))))
 

`/`(`*`(`+`(`*`(A, `*`(`+`(n, `-`(2)))), B)), `*`(`+`(`*`(`^`(n, 3)), `-`(`*`(3, `*`(`^`(n, 2)))), `*`(2, `*`(n))))) (3.2.9)
 

> simplify(`+`(R1, `-`(R2)))
 

0 (3.2.10)
 

Polykays 

The symmetric statistic is defined as  

E[]  = ... 

where    is a cumulant. These statistics called polykays generalize k-statistics. 

 

> `assign`(makeCTR_s, proc (N) [seq(k[i] = add(`/`(`*`(mul(mu[k], k = v), `*`(`^`(-1, `+`(nops(v), `-`(1))), `*`(factorial(`+`(nops(v), `-`(1))), `*`(factorial(i))))), `*`(mul(`*`(`^`(factorial(x), numb...
`assign`(makeCTR_s, proc (N) [seq(k[i] = add(`/`(`*`(mul(mu[k], k = v), `*`(`^`(-1, `+`(nops(v), `-`(1))), `*`(factorial(`+`(nops(v), `-`(1))), `*`(factorial(i))))), `*`(mul(`*`(`^`(factorial(x), numb...
`assign`(makeCTR_s, proc (N) [seq(k[i] = add(`/`(`*`(mul(mu[k], k = v), `*`(`^`(-1, `+`(nops(v), `-`(1))), `*`(factorial(`+`(nops(v), `-`(1))), `*`(factorial(i))))), `*`(mul(`*`(`^`(factorial(x), numb...
`assign`(makeCTR_s, proc (N) [seq(k[i] = add(`/`(`*`(mul(mu[k], k = v), `*`(`^`(-1, `+`(nops(v), `-`(1))), `*`(factorial(`+`(nops(v), `-`(1))), `*`(factorial(i))))), `*`(mul(`*`(`^`(factorial(x), numb...
`assign`(makeCTR_s, proc (N) [seq(k[i] = add(`/`(`*`(mul(mu[k], k = v), `*`(`^`(-1, `+`(nops(v), `-`(1))), `*`(factorial(`+`(nops(v), `-`(1))), `*`(factorial(i))))), `*`(mul(`*`(`^`(factorial(x), numb...
`assign`(makeCTR_s, proc (N) [seq(k[i] = add(`/`(`*`(mul(mu[k], k = v), `*`(`^`(-1, `+`(nops(v), `-`(1))), `*`(factorial(`+`(nops(v), `-`(1))), `*`(factorial(i))))), `*`(mul(`*`(`^`(factorial(x), numb...
`assign`(makeCTR_s, proc (N) [seq(k[i] = add(`/`(`*`(mul(mu[k], k = v), `*`(`^`(-1, `+`(nops(v), `-`(1))), `*`(factorial(`+`(nops(v), `-`(1))), `*`(factorial(i))))), `*`(mul(`*`(`^`(factorial(x), numb...
`assign`(makeCTR_s, proc (N) [seq(k[i] = add(`/`(`*`(mul(mu[k], k = v), `*`(`^`(-1, `+`(nops(v), `-`(1))), `*`(factorial(`+`(nops(v), `-`(1))), `*`(factorial(i))))), `*`(mul(`*`(`^`(factorial(x), numb...
`assign`(makeCTR_s, proc (N) [seq(k[i] = add(`/`(`*`(mul(mu[k], k = v), `*`(`^`(-1, `+`(nops(v), `-`(1))), `*`(factorial(`+`(nops(v), `-`(1))), `*`(factorial(i))))), `*`(mul(`*`(`^`(factorial(x), numb...
`assign`(makeCTR_s, proc (N) [seq(k[i] = add(`/`(`*`(mul(mu[k], k = v), `*`(`^`(-1, `+`(nops(v), `-`(1))), `*`(factorial(`+`(nops(v), `-`(1))), `*`(factorial(i))))), `*`(mul(`*`(`^`(factorial(x), numb...
`assign`(makeCTR_s, proc (N) [seq(k[i] = add(`/`(`*`(mul(mu[k], k = v), `*`(`^`(-1, `+`(nops(v), `-`(1))), `*`(factorial(`+`(nops(v), `-`(1))), `*`(factorial(i))))), `*`(mul(`*`(`^`(factorial(x), numb...
`assign`(makeCTR_s, proc (N) [seq(k[i] = add(`/`(`*`(mul(mu[k], k = v), `*`(`^`(-1, `+`(nops(v), `-`(1))), `*`(factorial(`+`(nops(v), `-`(1))), `*`(factorial(i))))), `*`(mul(`*`(`^`(factorial(x), numb...
`assign`(makeCTR_s, proc (N) [seq(k[i] = add(`/`(`*`(mul(mu[k], k = v), `*`(`^`(-1, `+`(nops(v), `-`(1))), `*`(factorial(`+`(nops(v), `-`(1))), `*`(factorial(i))))), `*`(mul(`*`(`^`(factorial(x), numb...
`assign`(makeCTR_s, proc (N) [seq(k[i] = add(`/`(`*`(mul(mu[k], k = v), `*`(`^`(-1, `+`(nops(v), `-`(1))), `*`(factorial(`+`(nops(v), `-`(1))), `*`(factorial(i))))), `*`(mul(`*`(`^`(factorial(x), numb...
`assign`(makeCTR_s, proc (N) [seq(k[i] = add(`/`(`*`(mul(mu[k], k = v), `*`(`^`(-1, `+`(nops(v), `-`(1))), `*`(factorial(`+`(nops(v), `-`(1))), `*`(factorial(i))))), `*`(mul(`*`(`^`(factorial(x), numb...
`assign`(makeCTR_s, proc (N) [seq(k[i] = add(`/`(`*`(mul(mu[k], k = v), `*`(`^`(-1, `+`(nops(v), `-`(1))), `*`(factorial(`+`(nops(v), `-`(1))), `*`(factorial(i))))), `*`(mul(`*`(`^`(factorial(x), numb...
`assign`(makeCTR_s, proc (N) [seq(k[i] = add(`/`(`*`(mul(mu[k], k = v), `*`(`^`(-1, `+`(nops(v), `-`(1))), `*`(factorial(`+`(nops(v), `-`(1))), `*`(factorial(i))))), `*`(mul(`*`(`^`(factorial(x), numb...
`assign`(makeCTR_s, proc (N) [seq(k[i] = add(`/`(`*`(mul(mu[k], k = v), `*`(`^`(-1, `+`(nops(v), `-`(1))), `*`(factorial(`+`(nops(v), `-`(1))), `*`(factorial(i))))), `*`(mul(`*`(`^`(factorial(x), numb...
`assign`(makeCTR_s, proc (N) [seq(k[i] = add(`/`(`*`(mul(mu[k], k = v), `*`(`^`(-1, `+`(nops(v), `-`(1))), `*`(factorial(`+`(nops(v), `-`(1))), `*`(factorial(i))))), `*`(mul(`*`(`^`(factorial(x), numb...
`assign`(makeCTR_s, proc (N) [seq(k[i] = add(`/`(`*`(mul(mu[k], k = v), `*`(`^`(-1, `+`(nops(v), `-`(1))), `*`(factorial(`+`(nops(v), `-`(1))), `*`(factorial(i))))), `*`(mul(`*`(`^`(factorial(x), numb...
`assign`(makeCTR_s, proc (N) [seq(k[i] = add(`/`(`*`(mul(mu[k], k = v), `*`(`^`(-1, `+`(nops(v), `-`(1))), `*`(factorial(`+`(nops(v), `-`(1))), `*`(factorial(i))))), `*`(mul(`*`(`^`(factorial(x), numb...
`assign`(makeCTR_s, proc (N) [seq(k[i] = add(`/`(`*`(mul(mu[k], k = v), `*`(`^`(-1, `+`(nops(v), `-`(1))), `*`(factorial(`+`(nops(v), `-`(1))), `*`(factorial(i))))), `*`(mul(`*`(`^`(factorial(x), numb...
`assign`(makeCTR_s, proc (N) [seq(k[i] = add(`/`(`*`(mul(mu[k], k = v), `*`(`^`(-1, `+`(nops(v), `-`(1))), `*`(factorial(`+`(nops(v), `-`(1))), `*`(factorial(i))))), `*`(mul(`*`(`^`(factorial(x), numb...
`assign`(makeCTR_s, proc (N) [seq(k[i] = add(`/`(`*`(mul(mu[k], k = v), `*`(`^`(-1, `+`(nops(v), `-`(1))), `*`(factorial(`+`(nops(v), `-`(1))), `*`(factorial(i))))), `*`(mul(`*`(`^`(factorial(x), numb...
`assign`(makeCTR_s, proc (N) [seq(k[i] = add(`/`(`*`(mul(mu[k], k = v), `*`(`^`(-1, `+`(nops(v), `-`(1))), `*`(factorial(`+`(nops(v), `-`(1))), `*`(factorial(i))))), `*`(mul(`*`(`^`(factorial(x), numb...
`assign`(makeCTR_s, proc (N) [seq(k[i] = add(`/`(`*`(mul(mu[k], k = v), `*`(`^`(-1, `+`(nops(v), `-`(1))), `*`(factorial(`+`(nops(v), `-`(1))), `*`(factorial(i))))), `*`(mul(`*`(`^`(factorial(x), numb...
`assign`(makeCTR_s, proc (N) [seq(k[i] = add(`/`(`*`(mul(mu[k], k = v), `*`(`^`(-1, `+`(nops(v), `-`(1))), `*`(factorial(`+`(nops(v), `-`(1))), `*`(factorial(i))))), `*`(mul(`*`(`^`(factorial(x), numb...
`assign`(makeCTR_s, proc (N) [seq(k[i] = add(`/`(`*`(mul(mu[k], k = v), `*`(`^`(-1, `+`(nops(v), `-`(1))), `*`(factorial(`+`(nops(v), `-`(1))), `*`(factorial(i))))), `*`(mul(`*`(`^`(factorial(x), numb...
`assign`(makeCTR_s, proc (N) [seq(k[i] = add(`/`(`*`(mul(mu[k], k = v), `*`(`^`(-1, `+`(nops(v), `-`(1))), `*`(factorial(`+`(nops(v), `-`(1))), `*`(factorial(i))))), `*`(mul(`*`(`^`(factorial(x), numb...
`assign`(makeCTR_s, proc (N) [seq(k[i] = add(`/`(`*`(mul(mu[k], k = v), `*`(`^`(-1, `+`(nops(v), `-`(1))), `*`(factorial(`+`(nops(v), `-`(1))), `*`(factorial(i))))), `*`(mul(`*`(`^`(factorial(x), numb...
`assign`(makeCTR_s, proc (N) [seq(k[i] = add(`/`(`*`(mul(mu[k], k = v), `*`(`^`(-1, `+`(nops(v), `-`(1))), `*`(factorial(`+`(nops(v), `-`(1))), `*`(factorial(i))))), `*`(mul(`*`(`^`(factorial(x), numb...
`assign`(makeCTR_s, proc (N) [seq(k[i] = add(`/`(`*`(mul(mu[k], k = v), `*`(`^`(-1, `+`(nops(v), `-`(1))), `*`(factorial(`+`(nops(v), `-`(1))), `*`(factorial(i))))), `*`(mul(`*`(`^`(factorial(x), numb...
`assign`(makeCTR_s, proc (N) [seq(k[i] = add(`/`(`*`(mul(mu[k], k = v), `*`(`^`(-1, `+`(nops(v), `-`(1))), `*`(factorial(`+`(nops(v), `-`(1))), `*`(factorial(i))))), `*`(mul(`*`(`^`(factorial(x), numb...
`assign`(makeCTR_s, proc (N) [seq(k[i] = add(`/`(`*`(mul(mu[k], k = v), `*`(`^`(-1, `+`(nops(v), `-`(1))), `*`(factorial(`+`(nops(v), `-`(1))), `*`(factorial(i))))), `*`(mul(`*`(`^`(factorial(x), numb...
`assign`(makeCTR_s, proc (N) [seq(k[i] = add(`/`(`*`(mul(mu[k], k = v), `*`(`^`(-1, `+`(nops(v), `-`(1))), `*`(factorial(`+`(nops(v), `-`(1))), `*`(factorial(i))))), `*`(mul(`*`(`^`(factorial(x), numb...
`assign`(makeCTR_s, proc (N) [seq(k[i] = add(`/`(`*`(mul(mu[k], k = v), `*`(`^`(-1, `+`(nops(v), `-`(1))), `*`(factorial(`+`(nops(v), `-`(1))), `*`(factorial(i))))), `*`(mul(`*`(`^`(factorial(x), numb...
`assign`(makeCTR_s, proc (N) [seq(k[i] = add(`/`(`*`(mul(mu[k], k = v), `*`(`^`(-1, `+`(nops(v), `-`(1))), `*`(factorial(`+`(nops(v), `-`(1))), `*`(factorial(i))))), `*`(mul(`*`(`^`(factorial(x), numb...
`assign`(makeCTR_s, proc (N) [seq(k[i] = add(`/`(`*`(mul(mu[k], k = v), `*`(`^`(-1, `+`(nops(v), `-`(1))), `*`(factorial(`+`(nops(v), `-`(1))), `*`(factorial(i))))), `*`(mul(`*`(`^`(factorial(x), numb...
`assign`(makeCTR_s, proc (N) [seq(k[i] = add(`/`(`*`(mul(mu[k], k = v), `*`(`^`(-1, `+`(nops(v), `-`(1))), `*`(factorial(`+`(nops(v), `-`(1))), `*`(factorial(i))))), `*`(mul(`*`(`^`(factorial(x), numb...
`assign`(makeCTR_s, proc (N) [seq(k[i] = add(`/`(`*`(mul(mu[k], k = v), `*`(`^`(-1, `+`(nops(v), `-`(1))), `*`(factorial(`+`(nops(v), `-`(1))), `*`(factorial(i))))), `*`(mul(`*`(`^`(factorial(x), numb...
`assign`(makeCTR_s, proc (N) [seq(k[i] = add(`/`(`*`(mul(mu[k], k = v), `*`(`^`(-1, `+`(nops(v), `-`(1))), `*`(factorial(`+`(nops(v), `-`(1))), `*`(factorial(i))))), `*`(mul(`*`(`^`(factorial(x), numb...
`assign`(makeCTR_s, proc (N) [seq(k[i] = add(`/`(`*`(mul(mu[k], k = v), `*`(`^`(-1, `+`(nops(v), `-`(1))), `*`(factorial(`+`(nops(v), `-`(1))), `*`(factorial(i))))), `*`(mul(`*`(`^`(factorial(x), numb...`assign`(makeMu, proc () local u, v, N, eu; `assign`(N, add(i, i = args)); `assign`(eu, [seq(mu[i] = 1, i = 1 .. N)]); if nargs = 1 then `assign`(u, [seq([[x]], x = partition(args[1]))]) else `assign`...
`assign`(makeMu, proc () local u, v, N, eu; `assign`(N, add(i, i = args)); `assign`(eu, [seq(mu[i] = 1, i = 1 .. N)]); if nargs = 1 then `assign`(u, [seq([[x]], x = partition(args[1]))]) else `assign`...
`assign`(makeMu, proc () local u, v, N, eu; `assign`(N, add(i, i = args)); `assign`(eu, [seq(mu[i] = 1, i = 1 .. N)]); if nargs = 1 then `assign`(u, [seq([[x]], x = partition(args[1]))]) else `assign`...
`assign`(makeMu, proc () local u, v, N, eu; `assign`(N, add(i, i = args)); `assign`(eu, [seq(mu[i] = 1, i = 1 .. N)]); if nargs = 1 then `assign`(u, [seq([[x]], x = partition(args[1]))]) else `assign`...
`assign`(makeMu, proc () local u, v, N, eu; `assign`(N, add(i, i = args)); `assign`(eu, [seq(mu[i] = 1, i = 1 .. N)]); if nargs = 1 then `assign`(u, [seq([[x]], x = partition(args[1]))]) else `assign`...
`assign`(makeMu, proc () local u, v, N, eu; `assign`(N, add(i, i = args)); `assign`(eu, [seq(mu[i] = 1, i = 1 .. N)]); if nargs = 1 then `assign`(u, [seq([[x]], x = partition(args[1]))]) else `assign`...
`assign`(makeMu, proc () local u, v, N, eu; `assign`(N, add(i, i = args)); `assign`(eu, [seq(mu[i] = 1, i = 1 .. N)]); if nargs = 1 then `assign`(u, [seq([[x]], x = partition(args[1]))]) else `assign`...
`assign`(makeMu, proc () local u, v, N, eu; `assign`(N, add(i, i = args)); `assign`(eu, [seq(mu[i] = 1, i = 1 .. N)]); if nargs = 1 then `assign`(u, [seq([[x]], x = partition(args[1]))]) else `assign`...
`assign`(makeMu, proc () local u, v, N, eu; `assign`(N, add(i, i = args)); `assign`(eu, [seq(mu[i] = 1, i = 1 .. N)]); if nargs = 1 then `assign`(u, [seq([[x]], x = partition(args[1]))]) else `assign`...
`assign`(makeMu, proc () local u, v, N, eu; `assign`(N, add(i, i = args)); `assign`(eu, [seq(mu[i] = 1, i = 1 .. N)]); if nargs = 1 then `assign`(u, [seq([[x]], x = partition(args[1]))]) else `assign`...
`assign`(makeMu, proc () local u, v, N, eu; `assign`(N, add(i, i = args)); `assign`(eu, [seq(mu[i] = 1, i = 1 .. N)]); if nargs = 1 then `assign`(u, [seq([[x]], x = partition(args[1]))]) else `assign`...
`assign`(makeMu, proc () local u, v, N, eu; `assign`(N, add(i, i = args)); `assign`(eu, [seq(mu[i] = 1, i = 1 .. N)]); if nargs = 1 then `assign`(u, [seq([[x]], x = partition(args[1]))]) else `assign`...
`assign`(makeMu, proc () local u, v, N, eu; `assign`(N, add(i, i = args)); `assign`(eu, [seq(mu[i] = 1, i = 1 .. N)]); if nargs = 1 then `assign`(u, [seq([[x]], x = partition(args[1]))]) else `assign`...
`assign`(makeMu, proc () local u, v, N, eu; `assign`(N, add(i, i = args)); `assign`(eu, [seq(mu[i] = 1, i = 1 .. N)]); if nargs = 1 then `assign`(u, [seq([[x]], x = partition(args[1]))]) else `assign`...
`assign`(makeMu, proc () local u, v, N, eu; `assign`(N, add(i, i = args)); `assign`(eu, [seq(mu[i] = 1, i = 1 .. N)]); if nargs = 1 then `assign`(u, [seq([[x]], x = partition(args[1]))]) else `assign`...
`assign`(makeMu, proc () local u, v, N, eu; `assign`(N, add(i, i = args)); `assign`(eu, [seq(mu[i] = 1, i = 1 .. N)]); if nargs = 1 then `assign`(u, [seq([[x]], x = partition(args[1]))]) else `assign`...
`assign`(makeMu, proc () local u, v, N, eu; `assign`(N, add(i, i = args)); `assign`(eu, [seq(mu[i] = 1, i = 1 .. N)]); if nargs = 1 then `assign`(u, [seq([[x]], x = partition(args[1]))]) else `assign`...
`assign`(makeMu, proc () local u, v, N, eu; `assign`(N, add(i, i = args)); `assign`(eu, [seq(mu[i] = 1, i = 1 .. N)]); if nargs = 1 then `assign`(u, [seq([[x]], x = partition(args[1]))]) else `assign`...
`assign`(makeMu, proc () local u, v, N, eu; `assign`(N, add(i, i = args)); `assign`(eu, [seq(mu[i] = 1, i = 1 .. N)]); if nargs = 1 then `assign`(u, [seq([[x]], x = partition(args[1]))]) else `assign`...
`assign`(makeMu, proc () local u, v, N, eu; `assign`(N, add(i, i = args)); `assign`(eu, [seq(mu[i] = 1, i = 1 .. N)]); if nargs = 1 then `assign`(u, [seq([[x]], x = partition(args[1]))]) else `assign`...
`assign`(makeMu, proc () local u, v, N, eu; `assign`(N, add(i, i = args)); `assign`(eu, [seq(mu[i] = 1, i = 1 .. N)]); if nargs = 1 then `assign`(u, [seq([[x]], x = partition(args[1]))]) else `assign`...
`assign`(makeMu, proc () local u, v, N, eu; `assign`(N, add(i, i = args)); `assign`(eu, [seq(mu[i] = 1, i = 1 .. N)]); if nargs = 1 then `assign`(u, [seq([[x]], x = partition(args[1]))]) else `assign`...
`assign`(makeMu, proc () local u, v, N, eu; `assign`(N, add(i, i = args)); `assign`(eu, [seq(mu[i] = 1, i = 1 .. N)]); if nargs = 1 then `assign`(u, [seq([[x]], x = partition(args[1]))]) else `assign`...
`assign`(makeMu, proc () local u, v, N, eu; `assign`(N, add(i, i = args)); `assign`(eu, [seq(mu[i] = 1, i = 1 .. N)]); if nargs = 1 then `assign`(u, [seq([[x]], x = partition(args[1]))]) else `assign`...
`assign`(makeMu, proc () local u, v, N, eu; `assign`(N, add(i, i = args)); `assign`(eu, [seq(mu[i] = 1, i = 1 .. N)]); if nargs = 1 then `assign`(u, [seq([[x]], x = partition(args[1]))]) else `assign`...
`assign`(makeMu, proc () local u, v, N, eu; `assign`(N, add(i, i = args)); `assign`(eu, [seq(mu[i] = 1, i = 1 .. N)]); if nargs = 1 then `assign`(u, [seq([[x]], x = partition(args[1]))]) else `assign`...
`assign`(makeMu, proc () local u, v, N, eu; `assign`(N, add(i, i = args)); `assign`(eu, [seq(mu[i] = 1, i = 1 .. N)]); if nargs = 1 then `assign`(u, [seq([[x]], x = partition(args[1]))]) else `assign`...
`assign`(makeMu, proc () local u, v, N, eu; `assign`(N, add(i, i = args)); `assign`(eu, [seq(mu[i] = 1, i = 1 .. N)]); if nargs = 1 then `assign`(u, [seq([[x]], x = partition(args[1]))]) else `assign`...
`assign`(makeMu, proc () local u, v, N, eu; `assign`(N, add(i, i = args)); `assign`(eu, [seq(mu[i] = 1, i = 1 .. N)]); if nargs = 1 then `assign`(u, [seq([[x]], x = partition(args[1]))]) else `assign`...
`assign`(makeMu, proc () local u, v, N, eu; `assign`(N, add(i, i = args)); `assign`(eu, [seq(mu[i] = 1, i = 1 .. N)]); if nargs = 1 then `assign`(u, [seq([[x]], x = partition(args[1]))]) else `assign`...
`assign`(makeMu, proc () local u, v, N, eu; `assign`(N, add(i, i = args)); `assign`(eu, [seq(mu[i] = 1, i = 1 .. N)]); if nargs = 1 then `assign`(u, [seq([[x]], x = partition(args[1]))]) else `assign`...
`assign`(makeMu, proc () local u, v, N, eu; `assign`(N, add(i, i = args)); `assign`(eu, [seq(mu[i] = 1, i = 1 .. N)]); if nargs = 1 then `assign`(u, [seq([[x]], x = partition(args[1]))]) else `assign`...
`assign`(makeMu, proc () local u, v, N, eu; `assign`(N, add(i, i = args)); `assign`(eu, [seq(mu[i] = 1, i = 1 .. N)]); if nargs = 1 then `assign`(u, [seq([[x]], x = partition(args[1]))]) else `assign`...
`assign`(makeMu, proc () local u, v, N, eu; `assign`(N, add(i, i = args)); `assign`(eu, [seq(mu[i] = 1, i = 1 .. N)]); if nargs = 1 then `assign`(u, [seq([[x]], x = partition(args[1]))]) else `assign`...
`assign`(makeMu, proc () local u, v, N, eu; `assign`(N, add(i, i = args)); `assign`(eu, [seq(mu[i] = 1, i = 1 .. N)]); if nargs = 1 then `assign`(u, [seq([[x]], x = partition(args[1]))]) else `assign`...
`assign`(makeMu, proc () local u, v, N, eu; `assign`(N, add(i, i = args)); `assign`(eu, [seq(mu[i] = 1, i = 1 .. N)]); if nargs = 1 then `assign`(u, [seq([[x]], x = partition(args[1]))]) else `assign`...
`assign`(makeMu, proc () local u, v, N, eu; `assign`(N, add(i, i = args)); `assign`(eu, [seq(mu[i] = 1, i = 1 .. N)]); if nargs = 1 then `assign`(u, [seq([[x]], x = partition(args[1]))]) else `assign`...
`assign`(makeMu, proc () local u, v, N, eu; `assign`(N, add(i, i = args)); `assign`(eu, [seq(mu[i] = 1, i = 1 .. N)]); if nargs = 1 then `assign`(u, [seq([[x]], x = partition(args[1]))]) else `assign`...
`assign`(makeMu, proc () local u, v, N, eu; `assign`(N, add(i, i = args)); `assign`(eu, [seq(mu[i] = 1, i = 1 .. N)]); if nargs = 1 then `assign`(u, [seq([[x]], x = partition(args[1]))]) else `assign`...
`assign`(makeMu, proc () local u, v, N, eu; `assign`(N, add(i, i = args)); `assign`(eu, [seq(mu[i] = 1, i = 1 .. N)]); if nargs = 1 then `assign`(u, [seq([[x]], x = partition(args[1]))]) else `assign`...
`assign`(makeMu, proc () local u, v, N, eu; `assign`(N, add(i, i = args)); `assign`(eu, [seq(mu[i] = 1, i = 1 .. N)]); if nargs = 1 then `assign`(u, [seq([[x]], x = partition(args[1]))]) else `assign`...
`assign`(makeMu, proc () local u, v, N, eu; `assign`(N, add(i, i = args)); `assign`(eu, [seq(mu[i] = 1, i = 1 .. N)]); if nargs = 1 then `assign`(u, [seq([[x]], x = partition(args[1]))]) else `assign`...`assign`(comb, proc (V, ptr, Y) if ptr = `+`(nops(V), 1) then return Y end if; seq(comb(V, `+`(ptr, 1), [op(Y), L]), L = V[ptr]) end proc); -1
`assign`(comb, proc (V, ptr, Y) if ptr = `+`(nops(V), 1) then return Y end if; seq(comb(V, `+`(ptr, 1), [op(Y), L]), L = V[ptr]) end proc); -1
`assign`(comb, proc (V, ptr, Y) if ptr = `+`(nops(V), 1) then return Y end if; seq(comb(V, `+`(ptr, 1), [op(Y), L]), L = V[ptr]) end proc); -1
`assign`(comb, proc (V, ptr, Y) if ptr = `+`(nops(V), 1) then return Y end if; seq(comb(V, `+`(ptr, 1), [op(Y), L]), L = V[ptr]) end proc); -1
`assign`(comb, proc (V, ptr, Y) if ptr = `+`(nops(V), 1) then return Y end if; seq(comb(V, `+`(ptr, 1), [op(Y), L]), L = V[ptr]) end proc); -1
`assign`(comb, proc (V, ptr, Y) if ptr = `+`(nops(V), 1) then return Y end if; seq(comb(V, `+`(ptr, 1), [op(Y), L]), L = V[ptr]) end proc); -1
`assign`(comb, proc (V, ptr, Y) if ptr = `+`(nops(V), 1) then return Y end if; seq(comb(V, `+`(ptr, 1), [op(Y), L]), L = V[ptr]) end proc); -1
`assign`(comb, proc (V, ptr, Y) if ptr = `+`(nops(V), 1) then return Y end if; seq(comb(V, `+`(ptr, 1), [op(Y), L]), L = V[ptr]) end proc); -1
`assign`(comb, proc (V, ptr, Y) if ptr = `+`(nops(V), 1) then return Y end if; seq(comb(V, `+`(ptr, 1), [op(Y), L]), L = V[ptr]) end proc); -1
`assign`(comb, proc (V, ptr, Y) if ptr = `+`(nops(V), 1) then return Y end if; seq(comb(V, `+`(ptr, 1), [op(Y), L]), L = V[ptr]) end proc); -1
`assign`(comb, proc (V, ptr, Y) if ptr = `+`(nops(V), 1) then return Y end if; seq(comb(V, `+`(ptr, 1), [op(Y), L]), L = V[ptr]) end proc); -1
`assign`(comb, proc (V, ptr, Y) if ptr = `+`(nops(V), 1) then return Y end if; seq(comb(V, `+`(ptr, 1), [op(Y), L]), L = V[ptr]) end proc); -1
`assign`(comb, proc (V, ptr, Y) if ptr = `+`(nops(V), 1) then return Y end if; seq(comb(V, `+`(ptr, 1), [op(Y), L]), L = V[ptr]) end proc); -1
`assign`(comb, proc (V, ptr, Y) if ptr = `+`(nops(V), 1) then return Y end if; seq(comb(V, `+`(ptr, 1), [op(Y), L]), L = V[ptr]) end proc); -1
`assign`(comb, proc (V, ptr, Y) if ptr = `+`(nops(V), 1) then return Y end if; seq(comb(V, `+`(ptr, 1), [op(Y), L]), L = V[ptr]) end proc); -1
`assign`(comb, proc (V, ptr, Y) if ptr = `+`(nops(V), 1) then return Y end if; seq(comb(V, `+`(ptr, 1), [op(Y), L]), L = V[ptr]) end proc); -1
`assign`(comb, proc (V, ptr, Y) if ptr = `+`(nops(V), 1) then return Y end if; seq(comb(V, `+`(ptr, 1), [op(Y), L]), L = V[ptr]) end proc); -1
`assign`(comb, proc (V, ptr, Y) if ptr = `+`(nops(V), 1) then return Y end if; seq(comb(V, `+`(ptr, 1), [op(Y), L]), L = V[ptr]) end proc); -1
`assign`(comb, proc (V, ptr, Y) if ptr = `+`(nops(V), 1) then return Y end if; seq(comb(V, `+`(ptr, 1), [op(Y), L]), L = V[ptr]) end proc); -1
`assign`(comb, proc (V, ptr, Y) if ptr = `+`(nops(V), 1) then return Y end if; seq(comb(V, `+`(ptr, 1), [op(Y), L]), L = V[ptr]) end proc); -1
`assign`(comb, proc (V, ptr, Y) if ptr = `+`(nops(V), 1) then return Y end if; seq(comb(V, `+`(ptr, 1), [op(Y), L]), L = V[ptr]) end proc); -1
`assign`(comb, proc (V, ptr, Y) if ptr = `+`(nops(V), 1) then return Y end if; seq(comb(V, `+`(ptr, 1), [op(Y), L]), L = V[ptr]) end proc); -1
`assign`(comb, proc (V, ptr, Y) if ptr = `+`(nops(V), 1) then return Y end if; seq(comb(V, `+`(ptr, 1), [op(Y), L]), L = V[ptr]) end proc); -1
`assign`(comb, proc (V, ptr, Y) if ptr = `+`(nops(V), 1) then return Y end if; seq(comb(V, `+`(ptr, 1), [op(Y), L]), L = V[ptr]) end proc); -1
`assign`(comb, proc (V, ptr, Y) if ptr = `+`(nops(V), 1) then return Y end if; seq(comb(V, `+`(ptr, 1), [op(Y), L]), L = V[ptr]) end proc); -1
`assign`(comb, proc (V, ptr, Y) if ptr = `+`(nops(V), 1) then return Y end if; seq(comb(V, `+`(ptr, 1), [op(Y), L]), L = V[ptr]) end proc); -1
`assign`(comb, proc (V, ptr, Y) if ptr = `+`(nops(V), 1) then return Y end if; seq(comb(V, `+`(ptr, 1), [op(Y), L]), L = V[ptr]) end proc); -1
`assign`(comb, proc (V, ptr, Y) if ptr = `+`(nops(V), 1) then return Y end if; seq(comb(V, `+`(ptr, 1), [op(Y), L]), L = V[ptr]) end proc); -1
`assign`(comb, proc (V, ptr, Y) if ptr = `+`(nops(V), 1) then return Y end if; seq(comb(V, `+`(ptr, 1), [op(Y), L]), L = V[ptr]) end proc); -1
`assign`(comb, proc (V, ptr, Y) if ptr = `+`(nops(V), 1) then return Y end if; seq(comb(V, `+`(ptr, 1), [op(Y), L]), L = V[ptr]) end proc); -1
`assign`(comb, proc (V, ptr, Y) if ptr = `+`(nops(V), 1) then return Y end if; seq(comb(V, `+`(ptr, 1), [op(Y), L]), L = V[ptr]) end proc); -1
`assign`(comb, proc (V, ptr, Y) if ptr = `+`(nops(V), 1) then return Y end if; seq(comb(V, `+`(ptr, 1), [op(Y), L]), L = V[ptr]) end proc); -1
`assign`(comb, proc (V, ptr, Y) if ptr = `+`(nops(V), 1) then return Y end if; seq(comb(V, `+`(ptr, 1), [op(Y), L]), L = V[ptr]) end proc); -1
`assign`(comb, proc (V, ptr, Y) if ptr = `+`(nops(V), 1) then return Y end if; seq(comb(V, `+`(ptr, 1), [op(Y), L]), L = V[ptr]) end proc); -1
`assign`(comb, proc (V, ptr, Y) if ptr = `+`(nops(V), 1) then return Y end if; seq(comb(V, `+`(ptr, 1), [op(Y), L]), L = V[ptr]) end proc); -1
`assign`(comb, proc (V, ptr, Y) if ptr = `+`(nops(V), 1) then return Y end if; seq(comb(V, `+`(ptr, 1), [op(Y), L]), L = V[ptr]) end proc); -1
`assign`(comb, proc (V, ptr, Y) if ptr = `+`(nops(V), 1) then return Y end if; seq(comb(V, `+`(ptr, 1), [op(Y), L]), L = V[ptr]) end proc); -1
`assign`(comb, proc (V, ptr, Y) if ptr = `+`(nops(V), 1) then return Y end if; seq(comb(V, `+`(ptr, 1), [op(Y), L]), L = V[ptr]) end proc); -1
`assign`(comb, proc (V, ptr, Y) if ptr = `+`(nops(V), 1) then return Y end if; seq(comb(V, `+`(ptr, 1), [op(Y), L]), L = V[ptr]) end proc); -1
`assign`(comb, proc (V, ptr, Y) if ptr = `+`(nops(V), 1) then return Y end if; seq(comb(V, `+`(ptr, 1), [op(Y), L]), L = V[ptr]) end proc); -1
`assign`(comb, proc (V, ptr, Y) if ptr = `+`(nops(V), 1) then return Y end if; seq(comb(V, `+`(ptr, 1), [op(Y), L]), L = V[ptr]) end proc); -1
`assign`(comb, proc (V, ptr, Y) if ptr = `+`(nops(V), 1) then return Y end if; seq(comb(V, `+`(ptr, 1), [op(Y), L]), L = V[ptr]) end proc); -1`assign`(countP, proc (u) `/`(`*`(factorial(add(x, x = u))), `*`(mul(`*`(`^`(x, numboccur(u, x)), `*`(factorial(numboccur(u, x)))), x = {op(u)}))) end proc); -1`assign`(ps, proc () local u, v, N; `assign`(N, add(x, x = args)); `assign`(u, expand(eval(makeTab_ss(N), makeCTR_s(N)))); `assign`(v, expand(eval(u, [makeMu(args), mu = 0]))); `/`(`*`(add(`*`(x[1], `...
`assign`(ps, proc () local u, v, N; `assign`(N, add(x, x = args)); `assign`(u, expand(eval(makeTab_ss(N), makeCTR_s(N)))); `assign`(v, expand(eval(u, [makeMu(args), mu = 0]))); `/`(`*`(add(`*`(x[1], `...
`assign`(ps, proc () local u, v, N; `assign`(N, add(x, x = args)); `assign`(u, expand(eval(makeTab_ss(N), makeCTR_s(N)))); `assign`(v, expand(eval(u, [makeMu(args), mu = 0]))); `/`(`*`(add(`*`(x[1], `...
`assign`(ps, proc () local u, v, N; `assign`(N, add(x, x = args)); `assign`(u, expand(eval(makeTab_ss(N), makeCTR_s(N)))); `assign`(v, expand(eval(u, [makeMu(args), mu = 0]))); `/`(`*`(add(`*`(x[1], `...
`assign`(ps, proc () local u, v, N; `assign`(N, add(x, x = args)); `assign`(u, expand(eval(makeTab_ss(N), makeCTR_s(N)))); `assign`(v, expand(eval(u, [makeMu(args), mu = 0]))); `/`(`*`(add(`*`(x[1], `...
`assign`(ps, proc () local u, v, N; `assign`(N, add(x, x = args)); `assign`(u, expand(eval(makeTab_ss(N), makeCTR_s(N)))); `assign`(v, expand(eval(u, [makeMu(args), mu = 0]))); `/`(`*`(add(`*`(x[1], `...
`assign`(ps, proc () local u, v, N; `assign`(N, add(x, x = args)); `assign`(u, expand(eval(makeTab_ss(N), makeCTR_s(N)))); `assign`(v, expand(eval(u, [makeMu(args), mu = 0]))); `/`(`*`(add(`*`(x[1], `...
`assign`(ps, proc () local u, v, N; `assign`(N, add(x, x = args)); `assign`(u, expand(eval(makeTab_ss(N), makeCTR_s(N)))); `assign`(v, expand(eval(u, [makeMu(args), mu = 0]))); `/`(`*`(add(`*`(x[1], `...
`assign`(ps, proc () local u, v, N; `assign`(N, add(x, x = args)); `assign`(u, expand(eval(makeTab_ss(N), makeCTR_s(N)))); `assign`(v, expand(eval(u, [makeMu(args), mu = 0]))); `/`(`*`(add(`*`(x[1], `...
`assign`(ps, proc () local u, v, N; `assign`(N, add(x, x = args)); `assign`(u, expand(eval(makeTab_ss(N), makeCTR_s(N)))); `assign`(v, expand(eval(u, [makeMu(args), mu = 0]))); `/`(`*`(add(`*`(x[1], `...
`assign`(ps, proc () local u, v, N; `assign`(N, add(x, x = args)); `assign`(u, expand(eval(makeTab_ss(N), makeCTR_s(N)))); `assign`(v, expand(eval(u, [makeMu(args), mu = 0]))); `/`(`*`(add(`*`(x[1], `...
`assign`(ps, proc () local u, v, N; `assign`(N, add(x, x = args)); `assign`(u, expand(eval(makeTab_ss(N), makeCTR_s(N)))); `assign`(v, expand(eval(u, [makeMu(args), mu = 0]))); `/`(`*`(add(`*`(x[1], `...
`assign`(ps, proc () local u, v, N; `assign`(N, add(x, x = args)); `assign`(u, expand(eval(makeTab_ss(N), makeCTR_s(N)))); `assign`(v, expand(eval(u, [makeMu(args), mu = 0]))); `/`(`*`(add(`*`(x[1], `...
`assign`(ps, proc () local u, v, N; `assign`(N, add(x, x = args)); `assign`(u, expand(eval(makeTab_ss(N), makeCTR_s(N)))); `assign`(v, expand(eval(u, [makeMu(args), mu = 0]))); `/`(`*`(add(`*`(x[1], `...
`assign`(ps, proc () local u, v, N; `assign`(N, add(x, x = args)); `assign`(u, expand(eval(makeTab_ss(N), makeCTR_s(N)))); `assign`(v, expand(eval(u, [makeMu(args), mu = 0]))); `/`(`*`(add(`*`(x[1], `...
`assign`(ps, proc () local u, v, N; `assign`(N, add(x, x = args)); `assign`(u, expand(eval(makeTab_ss(N), makeCTR_s(N)))); `assign`(v, expand(eval(u, [makeMu(args), mu = 0]))); `/`(`*`(add(`*`(x[1], `...
`assign`(ps, proc () local u, v, N; `assign`(N, add(x, x = args)); `assign`(u, expand(eval(makeTab_ss(N), makeCTR_s(N)))); `assign`(v, expand(eval(u, [makeMu(args), mu = 0]))); `/`(`*`(add(`*`(x[1], `...
`assign`(ps, proc () local u, v, N; `assign`(N, add(x, x = args)); `assign`(u, expand(eval(makeTab_ss(N), makeCTR_s(N)))); `assign`(v, expand(eval(u, [makeMu(args), mu = 0]))); `/`(`*`(add(`*`(x[1], `...
`assign`(ps, proc () local u, v, N; `assign`(N, add(x, x = args)); `assign`(u, expand(eval(makeTab_ss(N), makeCTR_s(N)))); `assign`(v, expand(eval(u, [makeMu(args), mu = 0]))); `/`(`*`(add(`*`(x[1], `...
`assign`(ps, proc () local u, v, N; `assign`(N, add(x, x = args)); `assign`(u, expand(eval(makeTab_ss(N), makeCTR_s(N)))); `assign`(v, expand(eval(u, [makeMu(args), mu = 0]))); `/`(`*`(add(`*`(x[1], `...
`assign`(ps, proc () local u, v, N; `assign`(N, add(x, x = args)); `assign`(u, expand(eval(makeTab_ss(N), makeCTR_s(N)))); `assign`(v, expand(eval(u, [makeMu(args), mu = 0]))); `/`(`*`(add(`*`(x[1], `...
`assign`(ps, proc () local u, v, N; `assign`(N, add(x, x = args)); `assign`(u, expand(eval(makeTab_ss(N), makeCTR_s(N)))); `assign`(v, expand(eval(u, [makeMu(args), mu = 0]))); `/`(`*`(add(`*`(x[1], `...
`assign`(ps, proc () local u, v, N; `assign`(N, add(x, x = args)); `assign`(u, expand(eval(makeTab_ss(N), makeCTR_s(N)))); `assign`(v, expand(eval(u, [makeMu(args), mu = 0]))); `/`(`*`(add(`*`(x[1], `...
`assign`(ps, proc () local u, v, N; `assign`(N, add(x, x = args)); `assign`(u, expand(eval(makeTab_ss(N), makeCTR_s(N)))); `assign`(v, expand(eval(u, [makeMu(args), mu = 0]))); `/`(`*`(add(`*`(x[1], `...
`assign`(ps, proc () local u, v, N; `assign`(N, add(x, x = args)); `assign`(u, expand(eval(makeTab_ss(N), makeCTR_s(N)))); `assign`(v, expand(eval(u, [makeMu(args), mu = 0]))); `/`(`*`(add(`*`(x[1], `...
`assign`(ps, proc () local u, v, N; `assign`(N, add(x, x = args)); `assign`(u, expand(eval(makeTab_ss(N), makeCTR_s(N)))); `assign`(v, expand(eval(u, [makeMu(args), mu = 0]))); `/`(`*`(add(`*`(x[1], `...
`assign`(ps, proc () local u, v, N; `assign`(N, add(x, x = args)); `assign`(u, expand(eval(makeTab_ss(N), makeCTR_s(N)))); `assign`(v, expand(eval(u, [makeMu(args), mu = 0]))); `/`(`*`(add(`*`(x[1], `...
`assign`(ps, proc () local u, v, N; `assign`(N, add(x, x = args)); `assign`(u, expand(eval(makeTab_ss(N), makeCTR_s(N)))); `assign`(v, expand(eval(u, [makeMu(args), mu = 0]))); `/`(`*`(add(`*`(x[1], `...
`assign`(ps, proc () local u, v, N; `assign`(N, add(x, x = args)); `assign`(u, expand(eval(makeTab_ss(N), makeCTR_s(N)))); `assign`(v, expand(eval(u, [makeMu(args), mu = 0]))); `/`(`*`(add(`*`(x[1], `...
`assign`(ps, proc () local u, v, N; `assign`(N, add(x, x = args)); `assign`(u, expand(eval(makeTab_ss(N), makeCTR_s(N)))); `assign`(v, expand(eval(u, [makeMu(args), mu = 0]))); `/`(`*`(add(`*`(x[1], `...
`assign`(ps, proc () local u, v, N; `assign`(N, add(x, x = args)); `assign`(u, expand(eval(makeTab_ss(N), makeCTR_s(N)))); `assign`(v, expand(eval(u, [makeMu(args), mu = 0]))); `/`(`*`(add(`*`(x[1], `...
`assign`(ps, proc () local u, v, N; `assign`(N, add(x, x = args)); `assign`(u, expand(eval(makeTab_ss(N), makeCTR_s(N)))); `assign`(v, expand(eval(u, [makeMu(args), mu = 0]))); `/`(`*`(add(`*`(x[1], `...
`assign`(ps, proc () local u, v, N; `assign`(N, add(x, x = args)); `assign`(u, expand(eval(makeTab_ss(N), makeCTR_s(N)))); `assign`(v, expand(eval(u, [makeMu(args), mu = 0]))); `/`(`*`(add(`*`(x[1], `...
`assign`(ps, proc () local u, v, N; `assign`(N, add(x, x = args)); `assign`(u, expand(eval(makeTab_ss(N), makeCTR_s(N)))); `assign`(v, expand(eval(u, [makeMu(args), mu = 0]))); `/`(`*`(add(`*`(x[1], `...
`assign`(ps, proc () local u, v, N; `assign`(N, add(x, x = args)); `assign`(u, expand(eval(makeTab_ss(N), makeCTR_s(N)))); `assign`(v, expand(eval(u, [makeMu(args), mu = 0]))); `/`(`*`(add(`*`(x[1], `...
`assign`(ps, proc () local u, v, N; `assign`(N, add(x, x = args)); `assign`(u, expand(eval(makeTab_ss(N), makeCTR_s(N)))); `assign`(v, expand(eval(u, [makeMu(args), mu = 0]))); `/`(`*`(add(`*`(x[1], `...
`assign`(ps, proc () local u, v, N; `assign`(N, add(x, x = args)); `assign`(u, expand(eval(makeTab_ss(N), makeCTR_s(N)))); `assign`(v, expand(eval(u, [makeMu(args), mu = 0]))); `/`(`*`(add(`*`(x[1], `...
`assign`(ps, proc () local u, v, N; `assign`(N, add(x, x = args)); `assign`(u, expand(eval(makeTab_ss(N), makeCTR_s(N)))); `assign`(v, expand(eval(u, [makeMu(args), mu = 0]))); `/`(`*`(add(`*`(x[1], `...
`assign`(ps, proc () local u, v, N; `assign`(N, add(x, x = args)); `assign`(u, expand(eval(makeTab_ss(N), makeCTR_s(N)))); `assign`(v, expand(eval(u, [makeMu(args), mu = 0]))); `/`(`*`(add(`*`(x[1], `...
`assign`(ps, proc () local u, v, N; `assign`(N, add(x, x = args)); `assign`(u, expand(eval(makeTab_ss(N), makeCTR_s(N)))); `assign`(v, expand(eval(u, [makeMu(args), mu = 0]))); `/`(`*`(add(`*`(x[1], `...
`assign`(ps, proc () local u, v, N; `assign`(N, add(x, x = args)); `assign`(u, expand(eval(makeTab_ss(N), makeCTR_s(N)))); `assign`(v, expand(eval(u, [makeMu(args), mu = 0]))); `/`(`*`(add(`*`(x[1], `...
`assign`(ps, proc () local u, v, N; `assign`(N, add(x, x = args)); `assign`(u, expand(eval(makeTab_ss(N), makeCTR_s(N)))); `assign`(v, expand(eval(u, [makeMu(args), mu = 0]))); `/`(`*`(add(`*`(x[1], `...
 

> ps(2, 1)
 

`/`(`*`(`+`(`-`(`*`(`^`(S[1], 3))), `*`(`+`(1, n), `*`(S[1], `*`(S[2]))), `-`(`*`(n, `*`(S[3]))))), `*`(n, `*`(`+`(n, `-`(1)), `*`(`+`(n, `-`(2)))))) (4.1)
 

>
 

.297 (4.2)
 

>  
 

Example of polykays construction ()  

> `assign`(v, makeTab_ss(3))
 

[[`*`(`^`(k[1], 3)), `*`(`^`(S[1], 3))], [`+`(`*`(3, `*`(k[1], `*`(k[2])))), `*`(S[1], `*`(S[2]))], [k[3], S[3]]] (4.1.1)
 

> `assign`(u, makeCTR_s(3))
 

[k[1] = mu[1], k[2] = `+`(`-`(`*`(`^`(mu[1], 2))), mu[2]), k[3] = `+`(`*`(2, `*`(`^`(mu[1], 3))), `-`(`*`(3, `*`(mu[1], `*`(mu[2])))), mu[3])] (4.1.2)
 

> `assign`(u, expand(eval(v, u)))
 

[[`*`(`^`(mu[1], 3)), `*`(`^`(S[1], 3))], [`+`(`-`(`*`(3, `*`(`^`(mu[1], 3)))), `*`(3, `*`(mu[1], `*`(mu[2])))), `*`(S[1], `*`(S[2]))], [`+`(`*`(2, `*`(`^`(mu[1], 3))), `-`(`*`(3, `*`(mu[1], `*`(mu[2]... (4.1.3)
 

> `assign`(vEval, [makeMu(2, 1), mu = 0])
 

[`*`(`^`(mu[1], 3)) = -1, `*`(mu[1], `*`(mu[2])) = `+`(`*`(`/`(1, 3), `*`(n)), `-`(`/`(2, 3))), mu = 0] (4.1.4)
 

> `assign`(v, expand(eval(u, vEval)))
 

[[-1, `*`(`^`(S[1], 3))], [`+`(1, n), `*`(S[1], `*`(S[2]))], [`+`(`-`(n)), S[3]]] (4.1.5)
 

> `/`(`*`(add(`*`(x[1], `*`(x[2])), x = v)), `*`(mul(`+`(n, `-`(x)), x = 0 .. `+`(3, -1))))
 

`/`(`*`(`+`(`-`(`*`(`^`(S[1], 3))), `*`(`+`(1, n), `*`(S[1], `*`(S[2]))), `-`(`*`(n, `*`(S[3]))))), `*`(n, `*`(`+`(n, `-`(1)), `*`(`+`(n, `-`(2)))))) (4.1.6)
 

Test previous result 

> ps(2, 1)
 

`/`(`*`(`+`(`-`(`*`(`^`(S[1], 3))), `*`(`+`(1, n), `*`(S[1], `*`(S[2]))), `-`(`*`(n, `*`(S[3]))))), `*`(n, `*`(`+`(n, `-`(1)), `*`(`+`(n, `-`(2)))))) (4.1.7)
 

> evalb(% = `%%`)
 

true (4.1.8)
 

Multiset subdivision 

The following algorithm function is used for listing all subdivision of a multiset. This algorithm is fully discussed in [3] 

Note: the algorithm is necessary for multivariate case. It is recalled only one time for every parameter input of the multivariate function. This speeds up the procedure.  

> `assign`(nRep, proc (u) mul(factorial(x[2]), x = convert(u, multiset)) end proc); -1; `assign`(URv, proc (u, v) local U, ou, i, ptr, vI; `assign`(ou, NULL); `assign`(U, []); `assign`(vI, indets(v)); f...
`assign`(nRep, proc (u) mul(factorial(x[2]), x = convert(u, multiset)) end proc); -1; `assign`(URv, proc (u, v) local U, ou, i, ptr, vI; `assign`(ou, NULL); `assign`(U, []); `assign`(vI, indets(v)); f...
`assign`(nRep, proc (u) mul(factorial(x[2]), x = convert(u, multiset)) end proc); -1; `assign`(URv, proc (u, v) local U, ou, i, ptr, vI; `assign`(ou, NULL); `assign`(U, []); `assign`(vI, indets(v)); f...
`assign`(nRep, proc (u) mul(factorial(x[2]), x = convert(u, multiset)) end proc); -1; `assign`(URv, proc (u, v) local U, ou, i, ptr, vI; `assign`(ou, NULL); `assign`(U, []); `assign`(vI, indets(v)); f...
`assign`(nRep, proc (u) mul(factorial(x[2]), x = convert(u, multiset)) end proc); -1; `assign`(URv, proc (u, v) local U, ou, i, ptr, vI; `assign`(ou, NULL); `assign`(U, []); `assign`(vI, indets(v)); f...
`assign`(nRep, proc (u) mul(factorial(x[2]), x = convert(u, multiset)) end proc); -1; `assign`(URv, proc (u, v) local U, ou, i, ptr, vI; `assign`(ou, NULL); `assign`(U, []); `assign`(vI, indets(v)); f...
`assign`(nRep, proc (u) mul(factorial(x[2]), x = convert(u, multiset)) end proc); -1; `assign`(URv, proc (u, v) local U, ou, i, ptr, vI; `assign`(ou, NULL); `assign`(U, []); `assign`(vI, indets(v)); f...
`assign`(nRep, proc (u) mul(factorial(x[2]), x = convert(u, multiset)) end proc); -1; `assign`(URv, proc (u, v) local U, ou, i, ptr, vI; `assign`(ou, NULL); `assign`(U, []); `assign`(vI, indets(v)); f...
`assign`(nRep, proc (u) mul(factorial(x[2]), x = convert(u, multiset)) end proc); -1; `assign`(URv, proc (u, v) local U, ou, i, ptr, vI; `assign`(ou, NULL); `assign`(U, []); `assign`(vI, indets(v)); f...
`assign`(nRep, proc (u) mul(factorial(x[2]), x = convert(u, multiset)) end proc); -1; `assign`(URv, proc (u, v) local U, ou, i, ptr, vI; `assign`(ou, NULL); `assign`(U, []); `assign`(vI, indets(v)); f...
`assign`(nRep, proc (u) mul(factorial(x[2]), x = convert(u, multiset)) end proc); -1; `assign`(URv, proc (u, v) local U, ou, i, ptr, vI; `assign`(ou, NULL); `assign`(U, []); `assign`(vI, indets(v)); f...
`assign`(nRep, proc (u) mul(factorial(x[2]), x = convert(u, multiset)) end proc); -1; `assign`(URv, proc (u, v) local U, ou, i, ptr, vI; `assign`(ou, NULL); `assign`(U, []); `assign`(vI, indets(v)); f...
`assign`(nRep, proc (u) mul(factorial(x[2]), x = convert(u, multiset)) end proc); -1; `assign`(URv, proc (u, v) local U, ou, i, ptr, vI; `assign`(ou, NULL); `assign`(U, []); `assign`(vI, indets(v)); f...
`assign`(nRep, proc (u) mul(factorial(x[2]), x = convert(u, multiset)) end proc); -1; `assign`(URv, proc (u, v) local U, ou, i, ptr, vI; `assign`(ou, NULL); `assign`(U, []); `assign`(vI, indets(v)); f...
`assign`(nRep, proc (u) mul(factorial(x[2]), x = convert(u, multiset)) end proc); -1; `assign`(URv, proc (u, v) local U, ou, i, ptr, vI; `assign`(ou, NULL); `assign`(U, []); `assign`(vI, indets(v)); f...
`assign`(nRep, proc (u) mul(factorial(x[2]), x = convert(u, multiset)) end proc); -1; `assign`(URv, proc (u, v) local U, ou, i, ptr, vI; `assign`(ou, NULL); `assign`(U, []); `assign`(vI, indets(v)); f...
`assign`(nRep, proc (u) mul(factorial(x[2]), x = convert(u, multiset)) end proc); -1; `assign`(URv, proc (u, v) local U, ou, i, ptr, vI; `assign`(ou, NULL); `assign`(U, []); `assign`(vI, indets(v)); f...
`assign`(nRep, proc (u) mul(factorial(x[2]), x = convert(u, multiset)) end proc); -1; `assign`(URv, proc (u, v) local U, ou, i, ptr, vI; `assign`(ou, NULL); `assign`(U, []); `assign`(vI, indets(v)); f...
`assign`(nRep, proc (u) mul(factorial(x[2]), x = convert(u, multiset)) end proc); -1; `assign`(URv, proc (u, v) local U, ou, i, ptr, vI; `assign`(ou, NULL); `assign`(U, []); `assign`(vI, indets(v)); f...
`assign`(nRep, proc (u) mul(factorial(x[2]), x = convert(u, multiset)) end proc); -1; `assign`(URv, proc (u, v) local U, ou, i, ptr, vI; `assign`(ou, NULL); `assign`(U, []); `assign`(vI, indets(v)); f...
`assign`(nRep, proc (u) mul(factorial(x[2]), x = convert(u, multiset)) end proc); -1; `assign`(URv, proc (u, v) local U, ou, i, ptr, vI; `assign`(ou, NULL); `assign`(U, []); `assign`(vI, indets(v)); f...
`assign`(nRep, proc (u) mul(factorial(x[2]), x = convert(u, multiset)) end proc); -1; `assign`(URv, proc (u, v) local U, ou, i, ptr, vI; `assign`(ou, NULL); `assign`(U, []); `assign`(vI, indets(v)); f...
`assign`(nRep, proc (u) mul(factorial(x[2]), x = convert(u, multiset)) end proc); -1; `assign`(URv, proc (u, v) local U, ou, i, ptr, vI; `assign`(ou, NULL); `assign`(U, []); `assign`(vI, indets(v)); f...
`assign`(nRep, proc (u) mul(factorial(x[2]), x = convert(u, multiset)) end proc); -1; `assign`(URv, proc (u, v) local U, ou, i, ptr, vI; `assign`(ou, NULL); `assign`(U, []); `assign`(vI, indets(v)); f...
`assign`(nRep, proc (u) mul(factorial(x[2]), x = convert(u, multiset)) end proc); -1; `assign`(URv, proc (u, v) local U, ou, i, ptr, vI; `assign`(ou, NULL); `assign`(U, []); `assign`(vI, indets(v)); f...
`assign`(nRep, proc (u) mul(factorial(x[2]), x = convert(u, multiset)) end proc); -1; `assign`(URv, proc (u, v) local U, ou, i, ptr, vI; `assign`(ou, NULL); `assign`(U, []); `assign`(vI, indets(v)); f...
`assign`(nRep, proc (u) mul(factorial(x[2]), x = convert(u, multiset)) end proc); -1; `assign`(URv, proc (u, v) local U, ou, i, ptr, vI; `assign`(ou, NULL); `assign`(U, []); `assign`(vI, indets(v)); f...
`assign`(nRep, proc (u) mul(factorial(x[2]), x = convert(u, multiset)) end proc); -1; `assign`(URv, proc (u, v) local U, ou, i, ptr, vI; `assign`(ou, NULL); `assign`(U, []); `assign`(vI, indets(v)); f...
`assign`(nRep, proc (u) mul(factorial(x[2]), x = convert(u, multiset)) end proc); -1; `assign`(URv, proc (u, v) local U, ou, i, ptr, vI; `assign`(ou, NULL); `assign`(U, []); `assign`(vI, indets(v)); f...
`assign`(nRep, proc (u) mul(factorial(x[2]), x = convert(u, multiset)) end proc); -1; `assign`(URv, proc (u, v) local U, ou, i, ptr, vI; `assign`(ou, NULL); `assign`(U, []); `assign`(vI, indets(v)); f...
`assign`(nRep, proc (u) mul(factorial(x[2]), x = convert(u, multiset)) end proc); -1; `assign`(URv, proc (u, v) local U, ou, i, ptr, vI; `assign`(ou, NULL); `assign`(U, []); `assign`(vI, indets(v)); f...
`assign`(nRep, proc (u) mul(factorial(x[2]), x = convert(u, multiset)) end proc); -1; `assign`(URv, proc (u, v) local U, ou, i, ptr, vI; `assign`(ou, NULL); `assign`(U, []); `assign`(vI, indets(v)); f...
`assign`(nRep, proc (u) mul(factorial(x[2]), x = convert(u, multiset)) end proc); -1; `assign`(URv, proc (u, v) local U, ou, i, ptr, vI; `assign`(ou, NULL); `assign`(U, []); `assign`(vI, indets(v)); f...
`assign`(nRep, proc (u) mul(factorial(x[2]), x = convert(u, multiset)) end proc); -1; `assign`(URv, proc (u, v) local U, ou, i, ptr, vI; `assign`(ou, NULL); `assign`(U, []); `assign`(vI, indets(v)); f...
`assign`(nRep, proc (u) mul(factorial(x[2]), x = convert(u, multiset)) end proc); -1; `assign`(URv, proc (u, v) local U, ou, i, ptr, vI; `assign`(ou, NULL); `assign`(U, []); `assign`(vI, indets(v)); f...
`assign`(nRep, proc (u) mul(factorial(x[2]), x = convert(u, multiset)) end proc); -1; `assign`(URv, proc (u, v) local U, ou, i, ptr, vI; `assign`(ou, NULL); `assign`(U, []); `assign`(vI, indets(v)); f...
`assign`(nRep, proc (u) mul(factorial(x[2]), x = convert(u, multiset)) end proc); -1; `assign`(URv, proc (u, v) local U, ou, i, ptr, vI; `assign`(ou, NULL); `assign`(U, []); `assign`(vI, indets(v)); f...
`assign`(nRep, proc (u) mul(factorial(x[2]), x = convert(u, multiset)) end proc); -1; `assign`(URv, proc (u, v) local U, ou, i, ptr, vI; `assign`(ou, NULL); `assign`(U, []); `assign`(vI, indets(v)); f...
`assign`(nRep, proc (u) mul(factorial(x[2]), x = convert(u, multiset)) end proc); -1; `assign`(URv, proc (u, v) local U, ou, i, ptr, vI; `assign`(ou, NULL); `assign`(U, []); `assign`(vI, indets(v)); f...
`assign`(nRep, proc (u) mul(factorial(x[2]), x = convert(u, multiset)) end proc); -1; `assign`(URv, proc (u, v) local U, ou, i, ptr, vI; `assign`(ou, NULL); `assign`(U, []); `assign`(vI, indets(v)); f...
`assign`(nRep, proc (u) mul(factorial(x[2]), x = convert(u, multiset)) end proc); -1; `assign`(URv, proc (u, v) local U, ou, i, ptr, vI; `assign`(ou, NULL); `assign`(U, []); `assign`(vI, indets(v)); f...
`assign`(nRep, proc (u) mul(factorial(x[2]), x = convert(u, multiset)) end proc); -1; `assign`(URv, proc (u, v) local U, ou, i, ptr, vI; `assign`(ou, NULL); `assign`(U, []); `assign`(vI, indets(v)); f...
`assign`(nRep, proc (u) mul(factorial(x[2]), x = convert(u, multiset)) end proc); -1; `assign`(URv, proc (u, v) local U, ou, i, ptr, vI; `assign`(ou, NULL); `assign`(U, []); `assign`(vI, indets(v)); f...
`assign`(nRep, proc (u) mul(factorial(x[2]), x = convert(u, multiset)) end proc); -1; `assign`(URv, proc (u, v) local U, ou, i, ptr, vI; `assign`(ou, NULL); `assign`(U, []); `assign`(vI, indets(v)); f...
`assign`(nRep, proc (u) mul(factorial(x[2]), x = convert(u, multiset)) end proc); -1; `assign`(URv, proc (u, v) local U, ou, i, ptr, vI; `assign`(ou, NULL); `assign`(U, []); `assign`(vI, indets(v)); f...
`assign`(nRep, proc (u) mul(factorial(x[2]), x = convert(u, multiset)) end proc); -1; `assign`(URv, proc (u, v) local U, ou, i, ptr, vI; `assign`(ou, NULL); `assign`(U, []); `assign`(vI, indets(v)); f...
`assign`(nRep, proc (u) mul(factorial(x[2]), x = convert(u, multiset)) end proc); -1; `assign`(URv, proc (u, v) local U, ou, i, ptr, vI; `assign`(ou, NULL); `assign`(U, []); `assign`(vI, indets(v)); f...
`assign`(nRep, proc (u) mul(factorial(x[2]), x = convert(u, multiset)) end proc); -1; `assign`(URv, proc (u, v) local U, ou, i, ptr, vI; `assign`(ou, NULL); `assign`(U, []); `assign`(vI, indets(v)); f...
`assign`(nRep, proc (u) mul(factorial(x[2]), x = convert(u, multiset)) end proc); -1; `assign`(URv, proc (u, v) local U, ou, i, ptr, vI; `assign`(ou, NULL); `assign`(U, []); `assign`(vI, indets(v)); f...
`assign`(nRep, proc (u) mul(factorial(x[2]), x = convert(u, multiset)) end proc); -1; `assign`(URv, proc (u, v) local U, ou, i, ptr, vI; `assign`(ou, NULL); `assign`(U, []); `assign`(vI, indets(v)); f...`assign`(makeTab, proc () local U; if add(x, x = args) = 0 then return 0 end if; `assign`(U, [seq(`if`(args[i] = 0, NULL, [seq([[seq(`^`(P || i, z), z = y)], multinomial(args[i], seq(r, r = y))], y = ...
`assign`(makeTab, proc () local U; if add(x, x = args) = 0 then return 0 end if; `assign`(U, [seq(`if`(args[i] = 0, NULL, [seq([[seq(`^`(P || i, z), z = y)], multinomial(args[i], seq(r, r = y))], y = ...
`assign`(makeTab, proc () local U; if add(x, x = args) = 0 then return 0 end if; `assign`(U, [seq(`if`(args[i] = 0, NULL, [seq([[seq(`^`(P || i, z), z = y)], multinomial(args[i], seq(r, r = y))], y = ...
`assign`(makeTab, proc () local U; if add(x, x = args) = 0 then return 0 end if; `assign`(U, [seq(`if`(args[i] = 0, NULL, [seq([[seq(`^`(P || i, z), z = y)], multinomial(args[i], seq(r, r = y))], y = ...
`assign`(makeTab, proc () local U; if add(x, x = args) = 0 then return 0 end if; `assign`(U, [seq(`if`(args[i] = 0, NULL, [seq([[seq(`^`(P || i, z), z = y)], multinomial(args[i], seq(r, r = y))], y = ...
`assign`(makeTab, proc () local U; if add(x, x = args) = 0 then return 0 end if; `assign`(U, [seq(`if`(args[i] = 0, NULL, [seq([[seq(`^`(P || i, z), z = y)], multinomial(args[i], seq(r, r = y))], y = ...
`assign`(makeTab, proc () local U; if add(x, x = args) = 0 then return 0 end if; `assign`(U, [seq(`if`(args[i] = 0, NULL, [seq([[seq(`^`(P || i, z), z = y)], multinomial(args[i], seq(r, r = y))], y = ...
`assign`(makeTab, proc () local U; if add(x, x = args) = 0 then return 0 end if; `assign`(U, [seq(`if`(args[i] = 0, NULL, [seq([[seq(`^`(P || i, z), z = y)], multinomial(args[i], seq(r, r = y))], y = ...
`assign`(makeTab, proc () local U; if add(x, x = args) = 0 then return 0 end if; `assign`(U, [seq(`if`(args[i] = 0, NULL, [seq([[seq(`^`(P || i, z), z = y)], multinomial(args[i], seq(r, r = y))], y = ...
`assign`(makeTab, proc () local U; if add(x, x = args) = 0 then return 0 end if; `assign`(U, [seq(`if`(args[i] = 0, NULL, [seq([[seq(`^`(P || i, z), z = y)], multinomial(args[i], seq(r, r = y))], y = ...
`assign`(makeTab, proc () local U; if add(x, x = args) = 0 then return 0 end if; `assign`(U, [seq(`if`(args[i] = 0, NULL, [seq([[seq(`^`(P || i, z), z = y)], multinomial(args[i], seq(r, r = y))], y = ...
`assign`(makeTab, proc () local U; if add(x, x = args) = 0 then return 0 end if; `assign`(U, [seq(`if`(args[i] = 0, NULL, [seq([[seq(`^`(P || i, z), z = y)], multinomial(args[i], seq(r, r = y))], y = ...
`assign`(makeTab, proc () local U; if add(x, x = args) = 0 then return 0 end if; `assign`(U, [seq(`if`(args[i] = 0, NULL, [seq([[seq(`^`(P || i, z), z = y)], multinomial(args[i], seq(r, r = y))], y = ...
`assign`(makeTab, proc () local U; if add(x, x = args) = 0 then return 0 end if; `assign`(U, [seq(`if`(args[i] = 0, NULL, [seq([[seq(`^`(P || i, z), z = y)], multinomial(args[i], seq(r, r = y))], y = ...
`assign`(makeTab, proc () local U; if add(x, x = args) = 0 then return 0 end if; `assign`(U, [seq(`if`(args[i] = 0, NULL, [seq([[seq(`^`(P || i, z), z = y)], multinomial(args[i], seq(r, r = y))], y = ...
`assign`(makeTab, proc () local U; if add(x, x = args) = 0 then return 0 end if; `assign`(U, [seq(`if`(args[i] = 0, NULL, [seq([[seq(`^`(P || i, z), z = y)], multinomial(args[i], seq(r, r = y))], y = ...
`assign`(makeTab, proc () local U; if add(x, x = args) = 0 then return 0 end if; `assign`(U, [seq(`if`(args[i] = 0, NULL, [seq([[seq(`^`(P || i, z), z = y)], multinomial(args[i], seq(r, r = y))], y = ...
`assign`(makeTab, proc () local U; if add(x, x = args) = 0 then return 0 end if; `assign`(U, [seq(`if`(args[i] = 0, NULL, [seq([[seq(`^`(P || i, z), z = y)], multinomial(args[i], seq(r, r = y))], y = ...
`assign`(makeTab, proc () local U; if add(x, x = args) = 0 then return 0 end if; `assign`(U, [seq(`if`(args[i] = 0, NULL, [seq([[seq(`^`(P || i, z), z = y)], multinomial(args[i], seq(r, r = y))], y = ...
`assign`(makeTab, proc () local U; if add(x, x = args) = 0 then return 0 end if; `assign`(U, [seq(`if`(args[i] = 0, NULL, [seq([[seq(`^`(P || i, z), z = y)], multinomial(args[i], seq(r, r = y))], y = ...
`assign`(makeTab, proc () local U; if add(x, x = args) = 0 then return 0 end if; `assign`(U, [seq(`if`(args[i] = 0, NULL, [seq([[seq(`^`(P || i, z), z = y)], multinomial(args[i], seq(r, r = y))], y = ...
`assign`(makeTab, proc () local U; if add(x, x = args) = 0 then return 0 end if; `assign`(U, [seq(`if`(args[i] = 0, NULL, [seq([[seq(`^`(P || i, z), z = y)], multinomial(args[i], seq(r, r = y))], y = ...
`assign`(makeTab, proc () local U; if add(x, x = args) = 0 then return 0 end if; `assign`(U, [seq(`if`(args[i] = 0, NULL, [seq([[seq(`^`(P || i, z), z = y)], multinomial(args[i], seq(r, r = y))], y = ...
`assign`(makeTab, proc () local U; if add(x, x = args) = 0 then return 0 end if; `assign`(U, [seq(`if`(args[i] = 0, NULL, [seq([[seq(`^`(P || i, z), z = y)], multinomial(args[i], seq(r, r = y))], y = ...
`assign`(makeTab, proc () local U; if add(x, x = args) = 0 then return 0 end if; `assign`(U, [seq(`if`(args[i] = 0, NULL, [seq([[seq(`^`(P || i, z), z = y)], multinomial(args[i], seq(r, r = y))], y = ...
`assign`(makeTab, proc () local U; if add(x, x = args) = 0 then return 0 end if; `assign`(U, [seq(`if`(args[i] = 0, NULL, [seq([[seq(`^`(P || i, z), z = y)], multinomial(args[i], seq(r, r = y))], y = ...
`assign`(makeTab, proc () local U; if add(x, x = args) = 0 then return 0 end if; `assign`(U, [seq(`if`(args[i] = 0, NULL, [seq([[seq(`^`(P || i, z), z = y)], multinomial(args[i], seq(r, r = y))], y = ...
`assign`(makeTab, proc () local U; if add(x, x = args) = 0 then return 0 end if; `assign`(U, [seq(`if`(args[i] = 0, NULL, [seq([[seq(`^`(P || i, z), z = y)], multinomial(args[i], seq(r, r = y))], y = ...
`assign`(makeTab, proc () local U; if add(x, x = args) = 0 then return 0 end if; `assign`(U, [seq(`if`(args[i] = 0, NULL, [seq([[seq(`^`(P || i, z), z = y)], multinomial(args[i], seq(r, r = y))], y = ...
`assign`(makeTab, proc () local U; if add(x, x = args) = 0 then return 0 end if; `assign`(U, [seq(`if`(args[i] = 0, NULL, [seq([[seq(`^`(P || i, z), z = y)], multinomial(args[i], seq(r, r = y))], y = ...
`assign`(makeTab, proc () local U; if add(x, x = args) = 0 then return 0 end if; `assign`(U, [seq(`if`(args[i] = 0, NULL, [seq([[seq(`^`(P || i, z), z = y)], multinomial(args[i], seq(r, r = y))], y = ...
`assign`(makeTab, proc () local U; if add(x, x = args) = 0 then return 0 end if; `assign`(U, [seq(`if`(args[i] = 0, NULL, [seq([[seq(`^`(P || i, z), z = y)], multinomial(args[i], seq(r, r = y))], y = ...
`assign`(makeTab, proc () local U; if add(x, x = args) = 0 then return 0 end if; `assign`(U, [seq(`if`(args[i] = 0, NULL, [seq([[seq(`^`(P || i, z), z = y)], multinomial(args[i], seq(r, r = y))], y = ...
`assign`(makeTab, proc () local U; if add(x, x = args) = 0 then return 0 end if; `assign`(U, [seq(`if`(args[i] = 0, NULL, [seq([[seq(`^`(P || i, z), z = y)], multinomial(args[i], seq(r, r = y))], y = ...
`assign`(makeTab, proc () local U; if add(x, x = args) = 0 then return 0 end if; `assign`(U, [seq(`if`(args[i] = 0, NULL, [seq([[seq(`^`(P || i, z), z = y)], multinomial(args[i], seq(r, r = y))], y = ...
`assign`(makeTab, proc () local U; if add(x, x = args) = 0 then return 0 end if; `assign`(U, [seq(`if`(args[i] = 0, NULL, [seq([[seq(`^`(P || i, z), z = y)], multinomial(args[i], seq(r, r = y))], y = ...
`assign`(makeTab, proc () local U; if add(x, x = args) = 0 then return 0 end if; `assign`(U, [seq(`if`(args[i] = 0, NULL, [seq([[seq(`^`(P || i, z), z = y)], multinomial(args[i], seq(r, r = y))], y = ...
`assign`(makeTab, proc () local U; if add(x, x = args) = 0 then return 0 end if; `assign`(U, [seq(`if`(args[i] = 0, NULL, [seq([[seq(`^`(P || i, z), z = y)], multinomial(args[i], seq(r, r = y))], y = ...
`assign`(makeTab, proc () local U; if add(x, x = args) = 0 then return 0 end if; `assign`(U, [seq(`if`(args[i] = 0, NULL, [seq([[seq(`^`(P || i, z), z = y)], multinomial(args[i], seq(r, r = y))], y = ...
`assign`(makeTab, proc () local U; if add(x, x = args) = 0 then return 0 end if; `assign`(U, [seq(`if`(args[i] = 0, NULL, [seq([[seq(`^`(P || i, z), z = y)], multinomial(args[i], seq(r, r = y))], y = ...
`assign`(makeTab, proc () local U; if add(x, x = args) = 0 then return 0 end if; `assign`(U, [seq(`if`(args[i] = 0, NULL, [seq([[seq(`^`(P || i, z), z = y)], multinomial(args[i], seq(r, r = y))], y = ...
`assign`(makeTab, proc () local U; if add(x, x = args) = 0 then return 0 end if; `assign`(U, [seq(`if`(args[i] = 0, NULL, [seq([[seq(`^`(P || i, z), z = y)], multinomial(args[i], seq(r, r = y))], y = ...
`assign`(makeTab, proc () local U; if add(x, x = args) = 0 then return 0 end if; `assign`(U, [seq(`if`(args[i] = 0, NULL, [seq([[seq(`^`(P || i, z), z = y)], multinomial(args[i], seq(r, r = y))], y = ...
`assign`(makeTab, proc () local U; if add(x, x = args) = 0 then return 0 end if; `assign`(U, [seq(`if`(args[i] = 0, NULL, [seq([[seq(`^`(P || i, z), z = y)], multinomial(args[i], seq(r, r = y))], y = ...
`assign`(makeTab, proc () local U; if add(x, x = args) = 0 then return 0 end if; `assign`(U, [seq(`if`(args[i] = 0, NULL, [seq([[seq(`^`(P || i, z), z = y)], multinomial(args[i], seq(r, r = y))], y = ...
`assign`(makeTab, proc () local U; if add(x, x = args) = 0 then return 0 end if; `assign`(U, [seq(`if`(args[i] = 0, NULL, [seq([[seq(`^`(P || i, z), z = y)], multinomial(args[i], seq(r, r = y))], y = ...
`assign`(makeTab, proc () local U; if add(x, x = args) = 0 then return 0 end if; `assign`(U, [seq(`if`(args[i] = 0, NULL, [seq([[seq(`^`(P || i, z), z = y)], multinomial(args[i], seq(r, r = y))], y = ...
`assign`(makeTab, proc () local U; if add(x, x = args) = 0 then return 0 end if; `assign`(U, [seq(`if`(args[i] = 0, NULL, [seq([[seq(`^`(P || i, z), z = y)], multinomial(args[i], seq(r, r = y))], y = ...
`assign`(makeTab, proc () local U; if add(x, x = args) = 0 then return 0 end if; `assign`(U, [seq(`if`(args[i] = 0, NULL, [seq([[seq(`^`(P || i, z), z = y)], multinomial(args[i], seq(r, r = y))], y = ...
`assign`(makeTab, proc () local U; if add(x, x = args) = 0 then return 0 end if; `assign`(U, [seq(`if`(args[i] = 0, NULL, [seq([[seq(`^`(P || i, z), z = y)], multinomial(args[i], seq(r, r = y))], y = ...
 

Multivariate k-statistics 

 

> `assign`(makeTab_sm, proc () local vP, U; `assign`(U, makeTab(args)); `assign`(vP, sort([seq(P || i, i = 1 .. nargs)])); [seq([`*`(mul(k[add(degree(x, vP[i]), i = 1 .. nops(vP))], x = y[1]), `*`(y[2])...
`assign`(makeTab_sm, proc () local vP, U; `assign`(U, makeTab(args)); `assign`(vP, sort([seq(P || i, i = 1 .. nargs)])); [seq([`*`(mul(k[add(degree(x, vP[i]), i = 1 .. nops(vP))], x = y[1]), `*`(y[2])...
`assign`(makeTab_sm, proc () local vP, U; `assign`(U, makeTab(args)); `assign`(vP, sort([seq(P || i, i = 1 .. nargs)])); [seq([`*`(mul(k[add(degree(x, vP[i]), i = 1 .. nops(vP))], x = y[1]), `*`(y[2])...
`assign`(makeTab_sm, proc () local vP, U; `assign`(U, makeTab(args)); `assign`(vP, sort([seq(P || i, i = 1 .. nargs)])); [seq([`*`(mul(k[add(degree(x, vP[i]), i = 1 .. nops(vP))], x = y[1]), `*`(y[2])...
`assign`(makeTab_sm, proc () local vP, U; `assign`(U, makeTab(args)); `assign`(vP, sort([seq(P || i, i = 1 .. nargs)])); [seq([`*`(mul(k[add(degree(x, vP[i]), i = 1 .. nops(vP))], x = y[1]), `*`(y[2])...
`assign`(makeTab_sm, proc () local vP, U; `assign`(U, makeTab(args)); `assign`(vP, sort([seq(P || i, i = 1 .. nargs)])); [seq([`*`(mul(k[add(degree(x, vP[i]), i = 1 .. nops(vP))], x = y[1]), `*`(y[2])...
`assign`(makeTab_sm, proc () local vP, U; `assign`(U, makeTab(args)); `assign`(vP, sort([seq(P || i, i = 1 .. nargs)])); [seq([`*`(mul(k[add(degree(x, vP[i]), i = 1 .. nops(vP))], x = y[1]), `*`(y[2])...
`assign`(makeTab_sm, proc () local vP, U; `assign`(U, makeTab(args)); `assign`(vP, sort([seq(P || i, i = 1 .. nargs)])); [seq([`*`(mul(k[add(degree(x, vP[i]), i = 1 .. nops(vP))], x = y[1]), `*`(y[2])...
`assign`(makeTab_sm, proc () local vP, U; `assign`(U, makeTab(args)); `assign`(vP, sort([seq(P || i, i = 1 .. nargs)])); [seq([`*`(mul(k[add(degree(x, vP[i]), i = 1 .. nops(vP))], x = y[1]), `*`(y[2])...
`assign`(makeTab_sm, proc () local vP, U; `assign`(U, makeTab(args)); `assign`(vP, sort([seq(P || i, i = 1 .. nargs)])); [seq([`*`(mul(k[add(degree(x, vP[i]), i = 1 .. nops(vP))], x = y[1]), `*`(y[2])...
`assign`(makeTab_sm, proc () local vP, U; `assign`(U, makeTab(args)); `assign`(vP, sort([seq(P || i, i = 1 .. nargs)])); [seq([`*`(mul(k[add(degree(x, vP[i]), i = 1 .. nops(vP))], x = y[1]), `*`(y[2])...
`assign`(makeTab_sm, proc () local vP, U; `assign`(U, makeTab(args)); `assign`(vP, sort([seq(P || i, i = 1 .. nargs)])); [seq([`*`(mul(k[add(degree(x, vP[i]), i = 1 .. nops(vP))], x = y[1]), `*`(y[2])...
`assign`(makeTab_sm, proc () local vP, U; `assign`(U, makeTab(args)); `assign`(vP, sort([seq(P || i, i = 1 .. nargs)])); [seq([`*`(mul(k[add(degree(x, vP[i]), i = 1 .. nops(vP))], x = y[1]), `*`(y[2])...
`assign`(makeTab_sm, proc () local vP, U; `assign`(U, makeTab(args)); `assign`(vP, sort([seq(P || i, i = 1 .. nargs)])); [seq([`*`(mul(k[add(degree(x, vP[i]), i = 1 .. nops(vP))], x = y[1]), `*`(y[2])...
`assign`(makeTab_sm, proc () local vP, U; `assign`(U, makeTab(args)); `assign`(vP, sort([seq(P || i, i = 1 .. nargs)])); [seq([`*`(mul(k[add(degree(x, vP[i]), i = 1 .. nops(vP))], x = y[1]), `*`(y[2])...
`assign`(makeTab_sm, proc () local vP, U; `assign`(U, makeTab(args)); `assign`(vP, sort([seq(P || i, i = 1 .. nargs)])); [seq([`*`(mul(k[add(degree(x, vP[i]), i = 1 .. nops(vP))], x = y[1]), `*`(y[2])...
`assign`(makeTab_sm, proc () local vP, U; `assign`(U, makeTab(args)); `assign`(vP, sort([seq(P || i, i = 1 .. nargs)])); [seq([`*`(mul(k[add(degree(x, vP[i]), i = 1 .. nops(vP))], x = y[1]), `*`(y[2])...`assign`(km, proc () local u, v, N; `assign`(N, add(x, x = args)); `assign`(v, expand(eval(makeTab_sm(args), makeK_s(N)))); `assign`(u, [seq(`^`(x, i) = `*`(`^`(-1, `+`(i, `-`(1))), `*`(factorial(`+`(...
`assign`(km, proc () local u, v, N; `assign`(N, add(x, x = args)); `assign`(v, expand(eval(makeTab_sm(args), makeK_s(N)))); `assign`(u, [seq(`^`(x, i) = `*`(`^`(-1, `+`(i, `-`(1))), `*`(factorial(`+`(...
`assign`(km, proc () local u, v, N; `assign`(N, add(x, x = args)); `assign`(v, expand(eval(makeTab_sm(args), makeK_s(N)))); `assign`(u, [seq(`^`(x, i) = `*`(`^`(-1, `+`(i, `-`(1))), `*`(factorial(`+`(...
`assign`(km, proc () local u, v, N; `assign`(N, add(x, x = args)); `assign`(v, expand(eval(makeTab_sm(args), makeK_s(N)))); `assign`(u, [seq(`^`(x, i) = `*`(`^`(-1, `+`(i, `-`(1))), `*`(factorial(`+`(...
`assign`(km, proc () local u, v, N; `assign`(N, add(x, x = args)); `assign`(v, expand(eval(makeTab_sm(args), makeK_s(N)))); `assign`(u, [seq(`^`(x, i) = `*`(`^`(-1, `+`(i, `-`(1))), `*`(factorial(`+`(...
`assign`(km, proc () local u, v, N; `assign`(N, add(x, x = args)); `assign`(v, expand(eval(makeTab_sm(args), makeK_s(N)))); `assign`(u, [seq(`^`(x, i) = `*`(`^`(-1, `+`(i, `-`(1))), `*`(factorial(`+`(...
`assign`(km, proc () local u, v, N; `assign`(N, add(x, x = args)); `assign`(v, expand(eval(makeTab_sm(args), makeK_s(N)))); `assign`(u, [seq(`^`(x, i) = `*`(`^`(-1, `+`(i, `-`(1))), `*`(factorial(`+`(...
`assign`(km, proc () local u, v, N; `assign`(N, add(x, x = args)); `assign`(v, expand(eval(makeTab_sm(args), makeK_s(N)))); `assign`(u, [seq(`^`(x, i) = `*`(`^`(-1, `+`(i, `-`(1))), `*`(factorial(`+`(...
`assign`(km, proc () local u, v, N; `assign`(N, add(x, x = args)); `assign`(v, expand(eval(makeTab_sm(args), makeK_s(N)))); `assign`(u, [seq(`^`(x, i) = `*`(`^`(-1, `+`(i, `-`(1))), `*`(factorial(`+`(...
`assign`(km, proc () local u, v, N; `assign`(N, add(x, x = args)); `assign`(v, expand(eval(makeTab_sm(args), makeK_s(N)))); `assign`(u, [seq(`^`(x, i) = `*`(`^`(-1, `+`(i, `-`(1))), `*`(factorial(`+`(...
`assign`(km, proc () local u, v, N; `assign`(N, add(x, x = args)); `assign`(v, expand(eval(makeTab_sm(args), makeK_s(N)))); `assign`(u, [seq(`^`(x, i) = `*`(`^`(-1, `+`(i, `-`(1))), `*`(factorial(`+`(...
`assign`(km, proc () local u, v, N; `assign`(N, add(x, x = args)); `assign`(v, expand(eval(makeTab_sm(args), makeK_s(N)))); `assign`(u, [seq(`^`(x, i) = `*`(`^`(-1, `+`(i, `-`(1))), `*`(factorial(`+`(...
`assign`(km, proc () local u, v, N; `assign`(N, add(x, x = args)); `assign`(v, expand(eval(makeTab_sm(args), makeK_s(N)))); `assign`(u, [seq(`^`(x, i) = `*`(`^`(-1, `+`(i, `-`(1))), `*`(factorial(`+`(...
`assign`(km, proc () local u, v, N; `assign`(N, add(x, x = args)); `assign`(v, expand(eval(makeTab_sm(args), makeK_s(N)))); `assign`(u, [seq(`^`(x, i) = `*`(`^`(-1, `+`(i, `-`(1))), `*`(factorial(`+`(...
`assign`(km, proc () local u, v, N; `assign`(N, add(x, x = args)); `assign`(v, expand(eval(makeTab_sm(args), makeK_s(N)))); `assign`(u, [seq(`^`(x, i) = `*`(`^`(-1, `+`(i, `-`(1))), `*`(factorial(`+`(...
`assign`(km, proc () local u, v, N; `assign`(N, add(x, x = args)); `assign`(v, expand(eval(makeTab_sm(args), makeK_s(N)))); `assign`(u, [seq(`^`(x, i) = `*`(`^`(-1, `+`(i, `-`(1))), `*`(factorial(`+`(...
`assign`(km, proc () local u, v, N; `assign`(N, add(x, x = args)); `assign`(v, expand(eval(makeTab_sm(args), makeK_s(N)))); `assign`(u, [seq(`^`(x, i) = `*`(`^`(-1, `+`(i, `-`(1))), `*`(factorial(`+`(...
 

> km(2, 1)
 

`/`(`*`(`+`(`-`(`*`(2, `*`(n, `*`(S[1, 1], `*`(S[1, 0]))))), `*`(2, `*`(`^`(S[1, 0], 2), `*`(S[0, 1]))), `*`(`^`(n, 2), `*`(S[2, 1])), `-`(`*`(n, `*`(S[2, 0], `*`(S[0, 1])))))), `*`(n, `*`(`+`(n, `-`(... (6.1)
 

> km(1, 1, 1)
 

`/`(`*`(`+`(`*`(`^`(n, 2), `*`(S[1, 1, 1])), `-`(`*`(n, `*`(S[1, 1, 0], `*`(S[0, 0, 1])))), `-`(`*`(n, `*`(S[1, 0, 1], `*`(S[0, 1, 0])))), `-`(`*`(n, `*`(S[1, 0, 0], `*`(S[0, 1, 1])))), `*`(2, `*`(S[1... (6.2)
 

>
 

1.234 (6.3)
 

Example of multivariate k-statistics construction ()  

>
 

[[`+`(`*`(2, `*`(k[2], `*`(k[1])))), `*`(S[1, 1], `*`(S[1, 0]))], [`*`(`^`(k[1], 3)), `*`(`^`(S[1, 0], 2), `*`(S[0, 1]))], [k[3], S[2, 1]], [`*`(k[2], `*`(k[1])), `*`(S[2, 0], `*`(S[0, 1]))]] (6.1.1)
 

>
 

[k[1] = x, k[2] = `+`(x, `-`(`*`(`^`(x, 2)))), k[3] = `+`(x, `-`(`*`(3, `*`(`^`(x, 2)))), `*`(2, `*`(`^`(x, 3))))] (6.1.2)
 

>
 

[[`+`(`*`(2, `*`(`^`(x, 2))), `-`(`*`(2, `*`(`^`(x, 3))))), `*`(S[1, 1], `*`(S[1, 0]))], [`*`(`^`(x, 3)), `*`(`^`(S[1, 0], 2), `*`(S[0, 1]))], [`+`(x, `-`(`*`(3, `*`(`^`(x, 2)))), `*`(2, `*`(`^`(x, 3)... (6.1.3)
 

>
 

[x = `+`(`*`(`^`(n, 2)), `-`(`*`(3, `*`(n))), 2), `*`(`^`(x, 2)) = `+`(`-`(n), 2), `*`(`^`(x, 3)) = 2] (6.1.4)
 

>
 

`/`(`*`(`+`(`-`(`*`(2, `*`(n, `*`(S[1, 1], `*`(S[1, 0]))))), `*`(2, `*`(`^`(S[1, 0], 2), `*`(S[0, 1]))), `*`(`^`(n, 2), `*`(S[2, 1])), `-`(`*`(n, `*`(S[2, 0], `*`(S[0, 1])))))), `*`(n, `*`(`+`(n, `-`(... (6.1.5)
 

Test previous result 

>
 

`/`(`*`(`+`(`-`(`*`(2, `*`(n, `*`(S[1, 1], `*`(S[1, 0]))))), `*`(2, `*`(`^`(S[1, 0], 2), `*`(S[0, 1]))), `*`(`^`(n, 2), `*`(S[2, 1])), `-`(`*`(n, `*`(S[2, 0], `*`(S[0, 1])))))), `*`(n, `*`(`+`(n, `-`(... (6.1.6)
 

>
 

true (6.1.7)
 

Multivariate polykays 

 

> `assign`(makeTab_mm, proc () local vP, U; `assign`(U, makeTab(args)); `assign`(vP, sort([op(indets(U))])); [seq([`*`(mul(k[seq(degree(x, vP[i]), i = 1 .. nops(vP))], x = y[1]), `*`(y[2])), mul(S[seq(d...
`assign`(makeTab_mm, proc () local vP, U; `assign`(U, makeTab(args)); `assign`(vP, sort([op(indets(U))])); [seq([`*`(mul(k[seq(degree(x, vP[i]), i = 1 .. nops(vP))], x = y[1]), `*`(y[2])), mul(S[seq(d...
`assign`(makeTab_mm, proc () local vP, U; `assign`(U, makeTab(args)); `assign`(vP, sort([op(indets(U))])); [seq([`*`(mul(k[seq(degree(x, vP[i]), i = 1 .. nops(vP))], x = y[1]), `*`(y[2])), mul(S[seq(d...
`assign`(makeTab_mm, proc () local vP, U; `assign`(U, makeTab(args)); `assign`(vP, sort([op(indets(U))])); [seq([`*`(mul(k[seq(degree(x, vP[i]), i = 1 .. nops(vP))], x = y[1]), `*`(y[2])), mul(S[seq(d...
`assign`(makeTab_mm, proc () local vP, U; `assign`(U, makeTab(args)); `assign`(vP, sort([op(indets(U))])); [seq([`*`(mul(k[seq(degree(x, vP[i]), i = 1 .. nops(vP))], x = y[1]), `*`(y[2])), mul(S[seq(d...
`assign`(makeTab_mm, proc () local vP, U; `assign`(U, makeTab(args)); `assign`(vP, sort([op(indets(U))])); [seq([`*`(mul(k[seq(degree(x, vP[i]), i = 1 .. nops(vP))], x = y[1]), `*`(y[2])), mul(S[seq(d...
`assign`(makeTab_mm, proc () local vP, U; `assign`(U, makeTab(args)); `assign`(vP, sort([op(indets(U))])); [seq([`*`(mul(k[seq(degree(x, vP[i]), i = 1 .. nops(vP))], x = y[1]), `*`(y[2])), mul(S[seq(d...
`assign`(makeTab_mm, proc () local vP, U; `assign`(U, makeTab(args)); `assign`(vP, sort([op(indets(U))])); [seq([`*`(mul(k[seq(degree(x, vP[i]), i = 1 .. nops(vP))], x = y[1]), `*`(y[2])), mul(S[seq(d...
`assign`(makeTab_mm, proc () local vP, U; `assign`(U, makeTab(args)); `assign`(vP, sort([op(indets(U))])); [seq([`*`(mul(k[seq(degree(x, vP[i]), i = 1 .. nops(vP))], x = y[1]), `*`(y[2])), mul(S[seq(d...
`assign`(makeTab_mm, proc () local vP, U; `assign`(U, makeTab(args)); `assign`(vP, sort([op(indets(U))])); [seq([`*`(mul(k[seq(degree(x, vP[i]), i = 1 .. nops(vP))], x = y[1]), `*`(y[2])), mul(S[seq(d...
`assign`(makeTab_mm, proc () local vP, U; `assign`(U, makeTab(args)); `assign`(vP, sort([op(indets(U))])); [seq([`*`(mul(k[seq(degree(x, vP[i]), i = 1 .. nops(vP))], x = y[1]), `*`(y[2])), mul(S[seq(d...
`assign`(makeTab_mm, proc () local vP, U; `assign`(U, makeTab(args)); `assign`(vP, sort([op(indets(U))])); [seq([`*`(mul(k[seq(degree(x, vP[i]), i = 1 .. nops(vP))], x = y[1]), `*`(y[2])), mul(S[seq(d...
`assign`(makeTab_mm, proc () local vP, U; `assign`(U, makeTab(args)); `assign`(vP, sort([op(indets(U))])); [seq([`*`(mul(k[seq(degree(x, vP[i]), i = 1 .. nops(vP))], x = y[1]), `*`(y[2])), mul(S[seq(d...
`assign`(makeTab_mm, proc () local vP, U; `assign`(U, makeTab(args)); `assign`(vP, sort([op(indets(U))])); [seq([`*`(mul(k[seq(degree(x, vP[i]), i = 1 .. nops(vP))], x = y[1]), `*`(y[2])), mul(S[seq(d...
`assign`(makeTab_mm, proc () local vP, U; `assign`(U, makeTab(args)); `assign`(vP, sort([op(indets(U))])); [seq([`*`(mul(k[seq(degree(x, vP[i]), i = 1 .. nops(vP))], x = y[1]), `*`(y[2])), mul(S[seq(d...
`assign`(makeTab_mm, proc () local vP, U; `assign`(U, makeTab(args)); `assign`(vP, sort([op(indets(U))])); [seq([`*`(mul(k[seq(degree(x, vP[i]), i = 1 .. nops(vP))], x = y[1]), `*`(y[2])), mul(S[seq(d...
`assign`(makeTab_mm, proc () local vP, U; `assign`(U, makeTab(args)); `assign`(vP, sort([op(indets(U))])); [seq([`*`(mul(k[seq(degree(x, vP[i]), i = 1 .. nops(vP))], x = y[1]), `*`(y[2])), mul(S[seq(d...
`assign`(makeTab_mm, proc () local vP, U; `assign`(U, makeTab(args)); `assign`(vP, sort([op(indets(U))])); [seq([`*`(mul(k[seq(degree(x, vP[i]), i = 1 .. nops(vP))], x = y[1]), `*`(y[2])), mul(S[seq(d...
`assign`(makeTab_mm, proc () local vP, U; `assign`(U, makeTab(args)); `assign`(vP, sort([op(indets(U))])); [seq([`*`(mul(k[seq(degree(x, vP[i]), i = 1 .. nops(vP))], x = y[1]), `*`(y[2])), mul(S[seq(d...
`assign`(makeTab_mm, proc () local vP, U; `assign`(U, makeTab(args)); `assign`(vP, sort([op(indets(U))])); [seq([`*`(mul(k[seq(degree(x, vP[i]), i = 1 .. nops(vP))], x = y[1]), `*`(y[2])), mul(S[seq(d...
`assign`(makeTab_mm, proc () local vP, U; `assign`(U, makeTab(args)); `assign`(vP, sort([op(indets(U))])); [seq([`*`(mul(k[seq(degree(x, vP[i]), i = 1 .. nops(vP))], x = y[1]), `*`(y[2])), mul(S[seq(d...
`assign`(makeTab_mm, proc () local vP, U; `assign`(U, makeTab(args)); `assign`(vP, sort([op(indets(U))])); [seq([`*`(mul(k[seq(degree(x, vP[i]), i = 1 .. nops(vP))], x = y[1]), `*`(y[2])), mul(S[seq(d...
`assign`(makeTab_mm, proc () local vP, U; `assign`(U, makeTab(args)); `assign`(vP, sort([op(indets(U))])); [seq([`*`(mul(k[seq(degree(x, vP[i]), i = 1 .. nops(vP))], x = y[1]), `*`(y[2])), mul(S[seq(d...
`assign`(makeTab_mm, proc () local vP, U; `assign`(U, makeTab(args)); `assign`(vP, sort([op(indets(U))])); [seq([`*`(mul(k[seq(degree(x, vP[i]), i = 1 .. nops(vP))], x = y[1]), `*`(y[2])), mul(S[seq(d...
`assign`(makeTab_mm, proc () local vP, U; `assign`(U, makeTab(args)); `assign`(vP, sort([op(indets(U))])); [seq([`*`(mul(k[seq(degree(x, vP[i]), i = 1 .. nops(vP))], x = y[1]), `*`(y[2])), mul(S[seq(d...
`assign`(makeTab_mm, proc () local vP, U; `assign`(U, makeTab(args)); `assign`(vP, sort([op(indets(U))])); [seq([`*`(mul(k[seq(degree(x, vP[i]), i = 1 .. nops(vP))], x = y[1]), `*`(y[2])), mul(S[seq(d...
`assign`(makeTab_mm, proc () local vP, U; `assign`(U, makeTab(args)); `assign`(vP, sort([op(indets(U))])); [seq([`*`(mul(k[seq(degree(x, vP[i]), i = 1 .. nops(vP))], x = y[1]), `*`(y[2])), mul(S[seq(d...
`assign`(makeTab_mm, proc () local vP, U; `assign`(U, makeTab(args)); `assign`(vP, sort([op(indets(U))])); [seq([`*`(mul(k[seq(degree(x, vP[i]), i = 1 .. nops(vP))], x = y[1]), `*`(y[2])), mul(S[seq(d...
`assign`(makeTab_mm, proc () local vP, U; `assign`(U, makeTab(args)); `assign`(vP, sort([op(indets(U))])); [seq([`*`(mul(k[seq(degree(x, vP[i]), i = 1 .. nops(vP))], x = y[1]), `*`(y[2])), mul(S[seq(d...
`assign`(makeTab_mm, proc () local vP, U; `assign`(U, makeTab(args)); `assign`(vP, sort([op(indets(U))])); [seq([`*`(mul(k[seq(degree(x, vP[i]), i = 1 .. nops(vP))], x = y[1]), `*`(y[2])), mul(S[seq(d...
`assign`(makeTab_mm, proc () local vP, U; `assign`(U, makeTab(args)); `assign`(vP, sort([op(indets(U))])); [seq([`*`(mul(k[seq(degree(x, vP[i]), i = 1 .. nops(vP))], x = y[1]), `*`(y[2])), mul(S[seq(d...
`assign`(makeTab_mm, proc () local vP, U; `assign`(U, makeTab(args)); `assign`(vP, sort([op(indets(U))])); [seq([`*`(mul(k[seq(degree(x, vP[i]), i = 1 .. nops(vP))], x = y[1]), `*`(y[2])), mul(S[seq(d...
`assign`(makeTab_mm, proc () local vP, U; `assign`(U, makeTab(args)); `assign`(vP, sort([op(indets(U))])); [seq([`*`(mul(k[seq(degree(x, vP[i]), i = 1 .. nops(vP))], x = y[1]), `*`(y[2])), mul(S[seq(d...
`assign`(makeTab_mm, proc () local vP, U; `assign`(U, makeTab(args)); `assign`(vP, sort([op(indets(U))])); [seq([`*`(mul(k[seq(degree(x, vP[i]), i = 1 .. nops(vP))], x = y[1]), `*`(y[2])), mul(S[seq(d...
`assign`(makeTab_mm, proc () local vP, U; `assign`(U, makeTab(args)); `assign`(vP, sort([op(indets(U))])); [seq([`*`(mul(k[seq(degree(x, vP[i]), i = 1 .. nops(vP))], x = y[1]), `*`(y[2])), mul(S[seq(d...
`assign`(makeTab_mm, proc () local vP, U; `assign`(U, makeTab(args)); `assign`(vP, sort([op(indets(U))])); [seq([`*`(mul(k[seq(degree(x, vP[i]), i = 1 .. nops(vP))], x = y[1]), `*`(y[2])), mul(S[seq(d...
`assign`(makeTab_mm, proc () local vP, U; `assign`(U, makeTab(args)); `assign`(vP, sort([op(indets(U))])); [seq([`*`(mul(k[seq(degree(x, vP[i]), i = 1 .. nops(vP))], x = y[1]), `*`(y[2])), mul(S[seq(d...
`assign`(makeTab_mm, proc () local vP, U; `assign`(U, makeTab(args)); `assign`(vP, sort([op(indets(U))])); [seq([`*`(mul(k[seq(degree(x, vP[i]), i = 1 .. nops(vP))], x = y[1]), `*`(y[2])), mul(S[seq(d...
`assign`(makeTab_mm, proc () local vP, U; `assign`(U, makeTab(args)); `assign`(vP, sort([op(indets(U))])); [seq([`*`(mul(k[seq(degree(x, vP[i]), i = 1 .. nops(vP))], x = y[1]), `*`(y[2])), mul(S[seq(d...
`assign`(makeTab_mm, proc () local vP, U; `assign`(U, makeTab(args)); `assign`(vP, sort([op(indets(U))])); [seq([`*`(mul(k[seq(degree(x, vP[i]), i = 1 .. nops(vP))], x = y[1]), `*`(y[2])), mul(S[seq(d...
`assign`(makeTab_mm, proc () local vP, U; `assign`(U, makeTab(args)); `assign`(vP, sort([op(indets(U))])); [seq([`*`(mul(k[seq(degree(x, vP[i]), i = 1 .. nops(vP))], x = y[1]), `*`(y[2])), mul(S[seq(d...
`assign`(makeTab_mm, proc () local vP, U; `assign`(U, makeTab(args)); `assign`(vP, sort([op(indets(U))])); [seq([`*`(mul(k[seq(degree(x, vP[i]), i = 1 .. nops(vP))], x = y[1]), `*`(y[2])), mul(S[seq(d...
`assign`(makeTab_mm, proc () local vP, U; `assign`(U, makeTab(args)); `assign`(vP, sort([op(indets(U))])); [seq([`*`(mul(k[seq(degree(x, vP[i]), i = 1 .. nops(vP))], x = y[1]), `*`(y[2])), mul(S[seq(d...
`assign`(makeTab_mm, proc () local vP, U; `assign`(U, makeTab(args)); `assign`(vP, sort([op(indets(U))])); [seq([`*`(mul(k[seq(degree(x, vP[i]), i = 1 .. nops(vP))], x = y[1]), `*`(y[2])), mul(S[seq(d...
`assign`(makeTab_mm, proc () local vP, U; `assign`(U, makeTab(args)); `assign`(vP, sort([op(indets(U))])); [seq([`*`(mul(k[seq(degree(x, vP[i]), i = 1 .. nops(vP))], x = y[1]), `*`(y[2])), mul(S[seq(d...
`assign`(makeTab_mm, proc () local vP, U; `assign`(U, makeTab(args)); `assign`(vP, sort([op(indets(U))])); [seq([`*`(mul(k[seq(degree(x, vP[i]), i = 1 .. nops(vP))], x = y[1]), `*`(y[2])), mul(S[seq(d...
`assign`(makeTab_mm, proc () local vP, U; `assign`(U, makeTab(args)); `assign`(vP, sort([op(indets(U))])); [seq([`*`(mul(k[seq(degree(x, vP[i]), i = 1 .. nops(vP))], x = y[1]), `*`(y[2])), mul(S[seq(d...
`assign`(makeTab_mm, proc () local vP, U; `assign`(U, makeTab(args)); `assign`(vP, sort([op(indets(U))])); [seq([`*`(mul(k[seq(degree(x, vP[i]), i = 1 .. nops(vP))], x = y[1]), `*`(y[2])), mul(S[seq(d...
`assign`(makeTab_mm, proc () local vP, U; `assign`(U, makeTab(args)); `assign`(vP, sort([op(indets(U))])); [seq([`*`(mul(k[seq(degree(x, vP[i]), i = 1 .. nops(vP))], x = y[1]), `*`(y[2])), mul(S[seq(d...
`assign`(makeTab_mm, proc () local vP, U; `assign`(U, makeTab(args)); `assign`(vP, sort([op(indets(U))])); [seq([`*`(mul(k[seq(degree(x, vP[i]), i = 1 .. nops(vP))], x = y[1]), `*`(y[2])), mul(S[seq(d...
`assign`(makeTab_mm, proc () local vP, U; `assign`(U, makeTab(args)); `assign`(vP, sort([op(indets(U))])); [seq([`*`(mul(k[seq(degree(x, vP[i]), i = 1 .. nops(vP))], x = y[1]), `*`(y[2])), mul(S[seq(d...
`assign`(makeTab_mm, proc () local vP, U; `assign`(U, makeTab(args)); `assign`(vP, sort([op(indets(U))])); [seq([`*`(mul(k[seq(degree(x, vP[i]), i = 1 .. nops(vP))], x = y[1]), `*`(y[2])), mul(S[seq(d...
`assign`(makeTab_mm, proc () local vP, U; `assign`(U, makeTab(args)); `assign`(vP, sort([op(indets(U))])); [seq([`*`(mul(k[seq(degree(x, vP[i]), i = 1 .. nops(vP))], x = y[1]), `*`(y[2])), mul(S[seq(d...
`assign`(makeTab_mm, proc () local vP, U; `assign`(U, makeTab(args)); `assign`(vP, sort([op(indets(U))])); [seq([`*`(mul(k[seq(degree(x, vP[i]), i = 1 .. nops(vP))], x = y[1]), `*`(y[2])), mul(S[seq(d...
`assign`(makeTab_mm, proc () local vP, U; `assign`(U, makeTab(args)); `assign`(vP, sort([op(indets(U))])); [seq([`*`(mul(k[seq(degree(x, vP[i]), i = 1 .. nops(vP))], x = y[1]), `*`(y[2])), mul(S[seq(d...
`assign`(makeTab_mm, proc () local vP, U; `assign`(U, makeTab(args)); `assign`(vP, sort([op(indets(U))])); [seq([`*`(mul(k[seq(degree(x, vP[i]), i = 1 .. nops(vP))], x = y[1]), `*`(y[2])), mul(S[seq(d...
`assign`(makeTab_mm, proc () local vP, U; `assign`(U, makeTab(args)); `assign`(vP, sort([op(indets(U))])); [seq([`*`(mul(k[seq(degree(x, vP[i]), i = 1 .. nops(vP))], x = y[1]), `*`(y[2])), mul(S[seq(d...
`assign`(makeTab_mm, proc () local vP, U; `assign`(U, makeTab(args)); `assign`(vP, sort([op(indets(U))])); [seq([`*`(mul(k[seq(degree(x, vP[i]), i = 1 .. nops(vP))], x = y[1]), `*`(y[2])), mul(S[seq(d...
`assign`(makeTab_mm, proc () local vP, U; `assign`(U, makeTab(args)); `assign`(vP, sort([op(indets(U))])); [seq([`*`(mul(k[seq(degree(x, vP[i]), i = 1 .. nops(vP))], x = y[1]), `*`(y[2])), mul(S[seq(d...
`assign`(makeTab_mm, proc () local vP, U; `assign`(U, makeTab(args)); `assign`(vP, sort([op(indets(U))])); [seq([`*`(mul(k[seq(degree(x, vP[i]), i = 1 .. nops(vP))], x = y[1]), `*`(y[2])), mul(S[seq(d...
`assign`(makeTab_mm, proc () local vP, U; `assign`(U, makeTab(args)); `assign`(vP, sort([op(indets(U))])); [seq([`*`(mul(k[seq(degree(x, vP[i]), i = 1 .. nops(vP))], x = y[1]), `*`(y[2])), mul(S[seq(d...
`assign`(makeTab_mm, proc () local vP, U; `assign`(U, makeTab(args)); `assign`(vP, sort([op(indets(U))])); [seq([`*`(mul(k[seq(degree(x, vP[i]), i = 1 .. nops(vP))], x = y[1]), `*`(y[2])), mul(S[seq(d...
`assign`(makeTab_mm, proc () local vP, U; `assign`(U, makeTab(args)); `assign`(vP, sort([op(indets(U))])); [seq([`*`(mul(k[seq(degree(x, vP[i]), i = 1 .. nops(vP))], x = y[1]), `*`(y[2])), mul(S[seq(d...
`assign`(makeTab_mm, proc () local vP, U; `assign`(U, makeTab(args)); `assign`(vP, sort([op(indets(U))])); [seq([`*`(mul(k[seq(degree(x, vP[i]), i = 1 .. nops(vP))], x = y[1]), `*`(y[2])), mul(S[seq(d...
`assign`(makeTab_mm, proc () local vP, U; `assign`(U, makeTab(args)); `assign`(vP, sort([op(indets(U))])); [seq([`*`(mul(k[seq(degree(x, vP[i]), i = 1 .. nops(vP))], x = y[1]), `*`(y[2])), mul(S[seq(d...`assign`(ctr, proc () local vP, U; `assign`(U, makeTab(args)); `assign`(vP, [seq(P || i, i = 1 .. nargs)]); add(`*`(v[2], `*`(`^`(-1, `+`(nops(v[1]), `-`(1))), `*`(factorial(`+`(nops(v[1]), `-`(1))), ...
`assign`(ctr, proc () local vP, U; `assign`(U, makeTab(args)); `assign`(vP, [seq(P || i, i = 1 .. nargs)]); add(`*`(v[2], `*`(`^`(-1, `+`(nops(v[1]), `-`(1))), `*`(factorial(`+`(nops(v[1]), `-`(1))), ...
`assign`(ctr, proc () local vP, U; `assign`(U, makeTab(args)); `assign`(vP, [seq(P || i, i = 1 .. nargs)]); add(`*`(v[2], `*`(`^`(-1, `+`(nops(v[1]), `-`(1))), `*`(factorial(`+`(nops(v[1]), `-`(1))), ...
`assign`(ctr, proc () local vP, U; `assign`(U, makeTab(args)); `assign`(vP, [seq(P || i, i = 1 .. nargs)]); add(`*`(v[2], `*`(`^`(-1, `+`(nops(v[1]), `-`(1))), `*`(factorial(`+`(nops(v[1]), `-`(1))), ...
`assign`(ctr, proc () local vP, U; `assign`(U, makeTab(args)); `assign`(vP, [seq(P || i, i = 1 .. nargs)]); add(`*`(v[2], `*`(`^`(-1, `+`(nops(v[1]), `-`(1))), `*`(factorial(`+`(nops(v[1]), `-`(1))), ...
`assign`(ctr, proc () local vP, U; `assign`(U, makeTab(args)); `assign`(vP, [seq(P || i, i = 1 .. nargs)]); add(`*`(v[2], `*`(`^`(-1, `+`(nops(v[1]), `-`(1))), `*`(factorial(`+`(nops(v[1]), `-`(1))), ...
`assign`(ctr, proc () local vP, U; `assign`(U, makeTab(args)); `assign`(vP, [seq(P || i, i = 1 .. nargs)]); add(`*`(v[2], `*`(`^`(-1, `+`(nops(v[1]), `-`(1))), `*`(factorial(`+`(nops(v[1]), `-`(1))), ...
`assign`(ctr, proc () local vP, U; `assign`(U, makeTab(args)); `assign`(vP, [seq(P || i, i = 1 .. nargs)]); add(`*`(v[2], `*`(`^`(-1, `+`(nops(v[1]), `-`(1))), `*`(factorial(`+`(nops(v[1]), `-`(1))), ...
`assign`(ctr, proc () local vP, U; `assign`(U, makeTab(args)); `assign`(vP, [seq(P || i, i = 1 .. nargs)]); add(`*`(v[2], `*`(`^`(-1, `+`(nops(v[1]), `-`(1))), `*`(factorial(`+`(nops(v[1]), `-`(1))), ...
`assign`(ctr, proc () local vP, U; `assign`(U, makeTab(args)); `assign`(vP, [seq(P || i, i = 1 .. nargs)]); add(`*`(v[2], `*`(`^`(-1, `+`(nops(v[1]), `-`(1))), `*`(factorial(`+`(nops(v[1]), `-`(1))), ...
`assign`(ctr, proc () local vP, U; `assign`(U, makeTab(args)); `assign`(vP, [seq(P || i, i = 1 .. nargs)]); add(`*`(v[2], `*`(`^`(-1, `+`(nops(v[1]), `-`(1))), `*`(factorial(`+`(nops(v[1]), `-`(1))), ...
`assign`(ctr, proc () local vP, U; `assign`(U, makeTab(args)); `assign`(vP, [seq(P || i, i = 1 .. nargs)]); add(`*`(v[2], `*`(`^`(-1, `+`(nops(v[1]), `-`(1))), `*`(factorial(`+`(nops(v[1]), `-`(1))), ...
`assign`(ctr, proc () local vP, U; `assign`(U, makeTab(args)); `assign`(vP, [seq(P || i, i = 1 .. nargs)]); add(`*`(v[2], `*`(`^`(-1, `+`(nops(v[1]), `-`(1))), `*`(factorial(`+`(nops(v[1]), `-`(1))), ...
`assign`(ctr, proc () local vP, U; `assign`(U, makeTab(args)); `assign`(vP, [seq(P || i, i = 1 .. nargs)]); add(`*`(v[2], `*`(`^`(-1, `+`(nops(v[1]), `-`(1))), `*`(factorial(`+`(nops(v[1]), `-`(1))), ...
`assign`(ctr, proc () local vP, U; `assign`(U, makeTab(args)); `assign`(vP, [seq(P || i, i = 1 .. nargs)]); add(`*`(v[2], `*`(`^`(-1, `+`(nops(v[1]), `-`(1))), `*`(factorial(`+`(nops(v[1]), `-`(1))), ...
`assign`(ctr, proc () local vP, U; `assign`(U, makeTab(args)); `assign`(vP, [seq(P || i, i = 1 .. nargs)]); add(`*`(v[2], `*`(`^`(-1, `+`(nops(v[1]), `-`(1))), `*`(factorial(`+`(nops(v[1]), `-`(1))), ...
`assign`(ctr, proc () local vP, U; `assign`(U, makeTab(args)); `assign`(vP, [seq(P || i, i = 1 .. nargs)]); add(`*`(v[2], `*`(`^`(-1, `+`(nops(v[1]), `-`(1))), `*`(factorial(`+`(nops(v[1]), `-`(1))), ...
`assign`(ctr, proc () local vP, U; `assign`(U, makeTab(args)); `assign`(vP, [seq(P || i, i = 1 .. nargs)]); add(`*`(v[2], `*`(`^`(-1, `+`(nops(v[1]), `-`(1))), `*`(factorial(`+`(nops(v[1]), `-`(1))), ...
`assign`(ctr, proc () local vP, U; `assign`(U, makeTab(args)); `assign`(vP, [seq(P || i, i = 1 .. nargs)]); add(`*`(v[2], `*`(`^`(-1, `+`(nops(v[1]), `-`(1))), `*`(factorial(`+`(nops(v[1]), `-`(1))), ...
`assign`(ctr, proc () local vP, U; `assign`(U, makeTab(args)); `assign`(vP, [seq(P || i, i = 1 .. nargs)]); add(`*`(v[2], `*`(`^`(-1, `+`(nops(v[1]), `-`(1))), `*`(factorial(`+`(nops(v[1]), `-`(1))), ...
`assign`(ctr, proc () local vP, U; `assign`(U, makeTab(args)); `assign`(vP, [seq(P || i, i = 1 .. nargs)]); add(`*`(v[2], `*`(`^`(-1, `+`(nops(v[1]), `-`(1))), `*`(factorial(`+`(nops(v[1]), `-`(1))), ...
`assign`(ctr, proc () local vP, U; `assign`(U, makeTab(args)); `assign`(vP, [seq(P || i, i = 1 .. nargs)]); add(`*`(v[2], `*`(`^`(-1, `+`(nops(v[1]), `-`(1))), `*`(factorial(`+`(nops(v[1]), `-`(1))), ...
`assign`(ctr, proc () local vP, U; `assign`(U, makeTab(args)); `assign`(vP, [seq(P || i, i = 1 .. nargs)]); add(`*`(v[2], `*`(`^`(-1, `+`(nops(v[1]), `-`(1))), `*`(factorial(`+`(nops(v[1]), `-`(1))), ...
`assign`(ctr, proc () local vP, U; `assign`(U, makeTab(args)); `assign`(vP, [seq(P || i, i = 1 .. nargs)]); add(`*`(v[2], `*`(`^`(-1, `+`(nops(v[1]), `-`(1))), `*`(factorial(`+`(nops(v[1]), `-`(1))), ...
`assign`(ctr, proc () local vP, U; `assign`(U, makeTab(args)); `assign`(vP, [seq(P || i, i = 1 .. nargs)]); add(`*`(v[2], `*`(`^`(-1, `+`(nops(v[1]), `-`(1))), `*`(factorial(`+`(nops(v[1]), `-`(1))), ...
`assign`(ctr, proc () local vP, U; `assign`(U, makeTab(args)); `assign`(vP, [seq(P || i, i = 1 .. nargs)]); add(`*`(v[2], `*`(`^`(-1, `+`(nops(v[1]), `-`(1))), `*`(factorial(`+`(nops(v[1]), `-`(1))), ...
`assign`(ctr, proc () local vP, U; `assign`(U, makeTab(args)); `assign`(vP, [seq(P || i, i = 1 .. nargs)]); add(`*`(v[2], `*`(`^`(-1, `+`(nops(v[1]), `-`(1))), `*`(factorial(`+`(nops(v[1]), `-`(1))), ...
`assign`(ctr, proc () local vP, U; `assign`(U, makeTab(args)); `assign`(vP, [seq(P || i, i = 1 .. nargs)]); add(`*`(v[2], `*`(`^`(-1, `+`(nops(v[1]), `-`(1))), `*`(factorial(`+`(nops(v[1]), `-`(1))), ...
`assign`(ctr, proc () local vP, U; `assign`(U, makeTab(args)); `assign`(vP, [seq(P || i, i = 1 .. nargs)]); add(`*`(v[2], `*`(`^`(-1, `+`(nops(v[1]), `-`(1))), `*`(factorial(`+`(nops(v[1]), `-`(1))), ...
`assign`(ctr, proc () local vP, U; `assign`(U, makeTab(args)); `assign`(vP, [seq(P || i, i = 1 .. nargs)]); add(`*`(v[2], `*`(`^`(-1, `+`(nops(v[1]), `-`(1))), `*`(factorial(`+`(nops(v[1]), `-`(1))), ...
`assign`(ctr, proc () local vP, U; `assign`(U, makeTab(args)); `assign`(vP, [seq(P || i, i = 1 .. nargs)]); add(`*`(v[2], `*`(`^`(-1, `+`(nops(v[1]), `-`(1))), `*`(factorial(`+`(nops(v[1]), `-`(1))), ...
`assign`(ctr, proc () local vP, U; `assign`(U, makeTab(args)); `assign`(vP, [seq(P || i, i = 1 .. nargs)]); add(`*`(v[2], `*`(`^`(-1, `+`(nops(v[1]), `-`(1))), `*`(factorial(`+`(nops(v[1]), `-`(1))), ...
`assign`(ctr, proc () local vP, U; `assign`(U, makeTab(args)); `assign`(vP, [seq(P || i, i = 1 .. nargs)]); add(`*`(v[2], `*`(`^`(-1, `+`(nops(v[1]), `-`(1))), `*`(factorial(`+`(nops(v[1]), `-`(1))), ...
`assign`(ctr, proc () local vP, U; `assign`(U, makeTab(args)); `assign`(vP, [seq(P || i, i = 1 .. nargs)]); add(`*`(v[2], `*`(`^`(-1, `+`(nops(v[1]), `-`(1))), `*`(factorial(`+`(nops(v[1]), `-`(1))), ...
`assign`(ctr, proc () local vP, U; `assign`(U, makeTab(args)); `assign`(vP, [seq(P || i, i = 1 .. nargs)]); add(`*`(v[2], `*`(`^`(-1, `+`(nops(v[1]), `-`(1))), `*`(factorial(`+`(nops(v[1]), `-`(1))), ...
`assign`(ctr, proc () local vP, U; `assign`(U, makeTab(args)); `assign`(vP, [seq(P || i, i = 1 .. nargs)]); add(`*`(v[2], `*`(`^`(-1, `+`(nops(v[1]), `-`(1))), `*`(factorial(`+`(nops(v[1]), `-`(1))), ...
`assign`(ctr, proc () local vP, U; `assign`(U, makeTab(args)); `assign`(vP, [seq(P || i, i = 1 .. nargs)]); add(`*`(v[2], `*`(`^`(-1, `+`(nops(v[1]), `-`(1))), `*`(factorial(`+`(nops(v[1]), `-`(1))), ...
`assign`(ctr, proc () local vP, U; `assign`(U, makeTab(args)); `assign`(vP, [seq(P || i, i = 1 .. nargs)]); add(`*`(v[2], `*`(`^`(-1, `+`(nops(v[1]), `-`(1))), `*`(factorial(`+`(nops(v[1]), `-`(1))), ...
`assign`(ctr, proc () local vP, U; `assign`(U, makeTab(args)); `assign`(vP, [seq(P || i, i = 1 .. nargs)]); add(`*`(v[2], `*`(`^`(-1, `+`(nops(v[1]), `-`(1))), `*`(factorial(`+`(nops(v[1]), `-`(1))), ...
`assign`(ctr, proc () local vP, U; `assign`(U, makeTab(args)); `assign`(vP, [seq(P || i, i = 1 .. nargs)]); add(`*`(v[2], `*`(`^`(-1, `+`(nops(v[1]), `-`(1))), `*`(factorial(`+`(nops(v[1]), `-`(1))), ...
`assign`(ctr, proc () local vP, U; `assign`(U, makeTab(args)); `assign`(vP, [seq(P || i, i = 1 .. nargs)]); add(`*`(v[2], `*`(`^`(-1, `+`(nops(v[1]), `-`(1))), `*`(factorial(`+`(nops(v[1]), `-`(1))), ...
`assign`(ctr, proc () local vP, U; `assign`(U, makeTab(args)); `assign`(vP, [seq(P || i, i = 1 .. nargs)]); add(`*`(v[2], `*`(`^`(-1, `+`(nops(v[1]), `-`(1))), `*`(factorial(`+`(nops(v[1]), `-`(1))), ...
`assign`(ctr, proc () local vP, U; `assign`(U, makeTab(args)); `assign`(vP, [seq(P || i, i = 1 .. nargs)]); add(`*`(v[2], `*`(`^`(-1, `+`(nops(v[1]), `-`(1))), `*`(factorial(`+`(nops(v[1]), `-`(1))), ...
`assign`(ctr, proc () local vP, U; `assign`(U, makeTab(args)); `assign`(vP, [seq(P || i, i = 1 .. nargs)]); add(`*`(v[2], `*`(`^`(-1, `+`(nops(v[1]), `-`(1))), `*`(factorial(`+`(nops(v[1]), `-`(1))), ...
`assign`(ctr, proc () local vP, U; `assign`(U, makeTab(args)); `assign`(vP, [seq(P || i, i = 1 .. nargs)]); add(`*`(v[2], `*`(`^`(-1, `+`(nops(v[1]), `-`(1))), `*`(factorial(`+`(nops(v[1]), `-`(1))), ...
`assign`(ctr, proc () local vP, U; `assign`(U, makeTab(args)); `assign`(vP, [seq(P || i, i = 1 .. nargs)]); add(`*`(v[2], `*`(`^`(-1, `+`(nops(v[1]), `-`(1))), `*`(factorial(`+`(nops(v[1]), `-`(1))), ...
`assign`(ctr, proc () local vP, U; `assign`(U, makeTab(args)); `assign`(vP, [seq(P || i, i = 1 .. nargs)]); add(`*`(v[2], `*`(`^`(-1, `+`(nops(v[1]), `-`(1))), `*`(factorial(`+`(nops(v[1]), `-`(1))), ...
`assign`(ctr, proc () local vP, U; `assign`(U, makeTab(args)); `assign`(vP, [seq(P || i, i = 1 .. nargs)]); add(`*`(v[2], `*`(`^`(-1, `+`(nops(v[1]), `-`(1))), `*`(factorial(`+`(nops(v[1]), `-`(1))), ...
`assign`(ctr, proc () local vP, U; `assign`(U, makeTab(args)); `assign`(vP, [seq(P || i, i = 1 .. nargs)]); add(`*`(v[2], `*`(`^`(-1, `+`(nops(v[1]), `-`(1))), `*`(factorial(`+`(nops(v[1]), `-`(1))), ...
`assign`(ctr, proc () local vP, U; `assign`(U, makeTab(args)); `assign`(vP, [seq(P || i, i = 1 .. nargs)]); add(`*`(v[2], `*`(`^`(-1, `+`(nops(v[1]), `-`(1))), `*`(factorial(`+`(nops(v[1]), `-`(1))), ...
`assign`(ctr, proc () local vP, U; `assign`(U, makeTab(args)); `assign`(vP, [seq(P || i, i = 1 .. nargs)]); add(`*`(v[2], `*`(`^`(-1, `+`(nops(v[1]), `-`(1))), `*`(factorial(`+`(nops(v[1]), `-`(1))), ...
`assign`(ctr, proc () local vP, U; `assign`(U, makeTab(args)); `assign`(vP, [seq(P || i, i = 1 .. nargs)]); add(`*`(v[2], `*`(`^`(-1, `+`(nops(v[1]), `-`(1))), `*`(factorial(`+`(nops(v[1]), `-`(1))), ...
`assign`(ctr, proc () local vP, U; `assign`(U, makeTab(args)); `assign`(vP, [seq(P || i, i = 1 .. nargs)]); add(`*`(v[2], `*`(`^`(-1, `+`(nops(v[1]), `-`(1))), `*`(factorial(`+`(nops(v[1]), `-`(1))), ...
`assign`(ctr, proc () local vP, U; `assign`(U, makeTab(args)); `assign`(vP, [seq(P || i, i = 1 .. nargs)]); add(`*`(v[2], `*`(`^`(-1, `+`(nops(v[1]), `-`(1))), `*`(factorial(`+`(nops(v[1]), `-`(1))), ...
`assign`(ctr, proc () local vP, U; `assign`(U, makeTab(args)); `assign`(vP, [seq(P || i, i = 1 .. nargs)]); add(`*`(v[2], `*`(`^`(-1, `+`(nops(v[1]), `-`(1))), `*`(factorial(`+`(nops(v[1]), `-`(1))), ...
`assign`(ctr, proc () local vP, U; `assign`(U, makeTab(args)); `assign`(vP, [seq(P || i, i = 1 .. nargs)]); add(`*`(v[2], `*`(`^`(-1, `+`(nops(v[1]), `-`(1))), `*`(factorial(`+`(nops(v[1]), `-`(1))), ...
`assign`(ctr, proc () local vP, U; `assign`(U, makeTab(args)); `assign`(vP, [seq(P || i, i = 1 .. nargs)]); add(`*`(v[2], `*`(`^`(-1, `+`(nops(v[1]), `-`(1))), `*`(factorial(`+`(nops(v[1]), `-`(1))), ...
`assign`(ctr, proc () local vP, U; `assign`(U, makeTab(args)); `assign`(vP, [seq(P || i, i = 1 .. nargs)]); add(`*`(v[2], `*`(`^`(-1, `+`(nops(v[1]), `-`(1))), `*`(factorial(`+`(nops(v[1]), `-`(1))), ...
`assign`(ctr, proc () local vP, U; `assign`(U, makeTab(args)); `assign`(vP, [seq(P || i, i = 1 .. nargs)]); add(`*`(v[2], `*`(`^`(-1, `+`(nops(v[1]), `-`(1))), `*`(factorial(`+`(nops(v[1]), `-`(1))), ...
`assign`(ctr, proc () local vP, U; `assign`(U, makeTab(args)); `assign`(vP, [seq(P || i, i = 1 .. nargs)]); add(`*`(v[2], `*`(`^`(-1, `+`(nops(v[1]), `-`(1))), `*`(factorial(`+`(nops(v[1]), `-`(1))), ...
`assign`(ctr, proc () local vP, U; `assign`(U, makeTab(args)); `assign`(vP, [seq(P || i, i = 1 .. nargs)]); add(`*`(v[2], `*`(`^`(-1, `+`(nops(v[1]), `-`(1))), `*`(factorial(`+`(nops(v[1]), `-`(1))), ...
`assign`(ctr, proc () local vP, U; `assign`(U, makeTab(args)); `assign`(vP, [seq(P || i, i = 1 .. nargs)]); add(`*`(v[2], `*`(`^`(-1, `+`(nops(v[1]), `-`(1))), `*`(factorial(`+`(nops(v[1]), `-`(1))), ...
`assign`(ctr, proc () local vP, U; `assign`(U, makeTab(args)); `assign`(vP, [seq(P || i, i = 1 .. nargs)]); add(`*`(v[2], `*`(`^`(-1, `+`(nops(v[1]), `-`(1))), `*`(factorial(`+`(nops(v[1]), `-`(1))), ...
`assign`(ctr, proc () local vP, U; `assign`(U, makeTab(args)); `assign`(vP, [seq(P || i, i = 1 .. nargs)]); add(`*`(v[2], `*`(`^`(-1, `+`(nops(v[1]), `-`(1))), `*`(factorial(`+`(nops(v[1]), `-`(1))), ...
`assign`(ctr, proc () local vP, U; `assign`(U, makeTab(args)); `assign`(vP, [seq(P || i, i = 1 .. nargs)]); add(`*`(v[2], `*`(`^`(-1, `+`(nops(v[1]), `-`(1))), `*`(factorial(`+`(nops(v[1]), `-`(1))), ...`assign`(makeCTR_m, proc () [seq(k[op(i)] = ctr(op(i)), i = comb([seq([seq(x, x = 0 .. y)], y = args)], 1, []))] end proc); -1; `assign`(unionVects, proc (`::`(U, list), `::`(V, list)) if nops(U) = 0 ...
`assign`(makeCTR_m, proc () [seq(k[op(i)] = ctr(op(i)), i = comb([seq([seq(x, x = 0 .. y)], y = args)], 1, []))] end proc); -1; `assign`(unionVects, proc (`::`(U, list), `::`(V, list)) if nops(U) = 0 ...
`assign`(makeCTR_m, proc () [seq(k[op(i)] = ctr(op(i)), i = comb([seq([seq(x, x = 0 .. y)], y = args)], 1, []))] end proc); -1; `assign`(unionVects, proc (`::`(U, list), `::`(V, list)) if nops(U) = 0 ...
`assign`(makeCTR_m, proc () [seq(k[op(i)] = ctr(op(i)), i = comb([seq([seq(x, x = 0 .. y)], y = args)], 1, []))] end proc); -1; `assign`(unionVects, proc (`::`(U, list), `::`(V, list)) if nops(U) = 0 ...
`assign`(makeCTR_m, proc () [seq(k[op(i)] = ctr(op(i)), i = comb([seq([seq(x, x = 0 .. y)], y = args)], 1, []))] end proc); -1; `assign`(unionVects, proc (`::`(U, list), `::`(V, list)) if nops(U) = 0 ...
`assign`(makeCTR_m, proc () [seq(k[op(i)] = ctr(op(i)), i = comb([seq([seq(x, x = 0 .. y)], y = args)], 1, []))] end proc); -1; `assign`(unionVects, proc (`::`(U, list), `::`(V, list)) if nops(U) = 0 ...
`assign`(makeCTR_m, proc () [seq(k[op(i)] = ctr(op(i)), i = comb([seq([seq(x, x = 0 .. y)], y = args)], 1, []))] end proc); -1; `assign`(unionVects, proc (`::`(U, list), `::`(V, list)) if nops(U) = 0 ...
`assign`(makeCTR_m, proc () [seq(k[op(i)] = ctr(op(i)), i = comb([seq([seq(x, x = 0 .. y)], y = args)], 1, []))] end proc); -1; `assign`(unionVects, proc (`::`(U, list), `::`(V, list)) if nops(U) = 0 ...
`assign`(makeCTR_m, proc () [seq(k[op(i)] = ctr(op(i)), i = comb([seq([seq(x, x = 0 .. y)], y = args)], 1, []))] end proc); -1; `assign`(unionVects, proc (`::`(U, list), `::`(V, list)) if nops(U) = 0 ...
`assign`(makeCTR_m, proc () [seq(k[op(i)] = ctr(op(i)), i = comb([seq([seq(x, x = 0 .. y)], y = args)], 1, []))] end proc); -1; `assign`(unionVects, proc (`::`(U, list), `::`(V, list)) if nops(U) = 0 ...
`assign`(makeCTR_m, proc () [seq(k[op(i)] = ctr(op(i)), i = comb([seq([seq(x, x = 0 .. y)], y = args)], 1, []))] end proc); -1; `assign`(unionVects, proc (`::`(U, list), `::`(V, list)) if nops(U) = 0 ...
`assign`(makeCTR_m, proc () [seq(k[op(i)] = ctr(op(i)), i = comb([seq([seq(x, x = 0 .. y)], y = args)], 1, []))] end proc); -1; `assign`(unionVects, proc (`::`(U, list), `::`(V, list)) if nops(U) = 0 ...
`assign`(makeCTR_m, proc () [seq(k[op(i)] = ctr(op(i)), i = comb([seq([seq(x, x = 0 .. y)], y = args)], 1, []))] end proc); -1; `assign`(unionVects, proc (`::`(U, list), `::`(V, list)) if nops(U) = 0 ...
`assign`(makeCTR_m, proc () [seq(k[op(i)] = ctr(op(i)), i = comb([seq([seq(x, x = 0 .. y)], y = args)], 1, []))] end proc); -1; `assign`(unionVects, proc (`::`(U, list), `::`(V, list)) if nops(U) = 0 ...
`assign`(makeCTR_m, proc () [seq(k[op(i)] = ctr(op(i)), i = comb([seq([seq(x, x = 0 .. y)], y = args)], 1, []))] end proc); -1; `assign`(unionVects, proc (`::`(U, list), `::`(V, list)) if nops(U) = 0 ...
`assign`(makeCTR_m, proc () [seq(k[op(i)] = ctr(op(i)), i = comb([seq([seq(x, x = 0 .. y)], y = args)], 1, []))] end proc); -1; `assign`(unionVects, proc (`::`(U, list), `::`(V, list)) if nops(U) = 0 ...
`assign`(makeCTR_m, proc () [seq(k[op(i)] = ctr(op(i)), i = comb([seq([seq(x, x = 0 .. y)], y = args)], 1, []))] end proc); -1; `assign`(unionVects, proc (`::`(U, list), `::`(V, list)) if nops(U) = 0 ...
`assign`(makeCTR_m, proc () [seq(k[op(i)] = ctr(op(i)), i = comb([seq([seq(x, x = 0 .. y)], y = args)], 1, []))] end proc); -1; `assign`(unionVects, proc (`::`(U, list), `::`(V, list)) if nops(U) = 0 ...
`assign`(makeCTR_m, proc () [seq(k[op(i)] = ctr(op(i)), i = comb([seq([seq(x, x = 0 .. y)], y = args)], 1, []))] end proc); -1; `assign`(unionVects, proc (`::`(U, list), `::`(V, list)) if nops(U) = 0 ...
`assign`(makeCTR_m, proc () [seq(k[op(i)] = ctr(op(i)), i = comb([seq([seq(x, x = 0 .. y)], y = args)], 1, []))] end proc); -1; `assign`(unionVects, proc (`::`(U, list), `::`(V, list)) if nops(U) = 0 ...
`assign`(makeCTR_m, proc () [seq(k[op(i)] = ctr(op(i)), i = comb([seq([seq(x, x = 0 .. y)], y = args)], 1, []))] end proc); -1; `assign`(unionVects, proc (`::`(U, list), `::`(V, list)) if nops(U) = 0 ...
`assign`(makeCTR_m, proc () [seq(k[op(i)] = ctr(op(i)), i = comb([seq([seq(x, x = 0 .. y)], y = args)], 1, []))] end proc); -1; `assign`(unionVects, proc (`::`(U, list), `::`(V, list)) if nops(U) = 0 ...
`assign`(makeCTR_m, proc () [seq(k[op(i)] = ctr(op(i)), i = comb([seq([seq(x, x = 0 .. y)], y = args)], 1, []))] end proc); -1; `assign`(unionVects, proc (`::`(U, list), `::`(V, list)) if nops(U) = 0 ...
`assign`(makeCTR_m, proc () [seq(k[op(i)] = ctr(op(i)), i = comb([seq([seq(x, x = 0 .. y)], y = args)], 1, []))] end proc); -1; `assign`(unionVects, proc (`::`(U, list), `::`(V, list)) if nops(U) = 0 ...
`assign`(makeCTR_m, proc () [seq(k[op(i)] = ctr(op(i)), i = comb([seq([seq(x, x = 0 .. y)], y = args)], 1, []))] end proc); -1; `assign`(unionVects, proc (`::`(U, list), `::`(V, list)) if nops(U) = 0 ...
`assign`(makeCTR_m, proc () [seq(k[op(i)] = ctr(op(i)), i = comb([seq([seq(x, x = 0 .. y)], y = args)], 1, []))] end proc); -1; `assign`(unionVects, proc (`::`(U, list), `::`(V, list)) if nops(U) = 0 ...
`assign`(makeCTR_m, proc () [seq(k[op(i)] = ctr(op(i)), i = comb([seq([seq(x, x = 0 .. y)], y = args)], 1, []))] end proc); -1; `assign`(unionVects, proc (`::`(U, list), `::`(V, list)) if nops(U) = 0 ...
`assign`(makeCTR_m, proc () [seq(k[op(i)] = ctr(op(i)), i = comb([seq([seq(x, x = 0 .. y)], y = args)], 1, []))] end proc); -1; `assign`(unionVects, proc (`::`(U, list), `::`(V, list)) if nops(U) = 0 ...
`assign`(makeCTR_m, proc () [seq(k[op(i)] = ctr(op(i)), i = comb([seq([seq(x, x = 0 .. y)], y = args)], 1, []))] end proc); -1; `assign`(unionVects, proc (`::`(U, list), `::`(V, list)) if nops(U) = 0 ...
`assign`(makeCTR_m, proc () [seq(k[op(i)] = ctr(op(i)), i = comb([seq([seq(x, x = 0 .. y)], y = args)], 1, []))] end proc); -1; `assign`(unionVects, proc (`::`(U, list), `::`(V, list)) if nops(U) = 0 ...
`assign`(makeCTR_m, proc () [seq(k[op(i)] = ctr(op(i)), i = comb([seq([seq(x, x = 0 .. y)], y = args)], 1, []))] end proc); -1; `assign`(unionVects, proc (`::`(U, list), `::`(V, list)) if nops(U) = 0 ...
`assign`(makeCTR_m, proc () [seq(k[op(i)] = ctr(op(i)), i = comb([seq([seq(x, x = 0 .. y)], y = args)], 1, []))] end proc); -1; `assign`(unionVects, proc (`::`(U, list), `::`(V, list)) if nops(U) = 0 ...
`assign`(makeCTR_m, proc () [seq(k[op(i)] = ctr(op(i)), i = comb([seq([seq(x, x = 0 .. y)], y = args)], 1, []))] end proc); -1; `assign`(unionVects, proc (`::`(U, list), `::`(V, list)) if nops(U) = 0 ...
`assign`(makeCTR_m, proc () [seq(k[op(i)] = ctr(op(i)), i = comb([seq([seq(x, x = 0 .. y)], y = args)], 1, []))] end proc); -1; `assign`(unionVects, proc (`::`(U, list), `::`(V, list)) if nops(U) = 0 ...
`assign`(makeCTR_m, proc () [seq(k[op(i)] = ctr(op(i)), i = comb([seq([seq(x, x = 0 .. y)], y = args)], 1, []))] end proc); -1; `assign`(unionVects, proc (`::`(U, list), `::`(V, list)) if nops(U) = 0 ...
`assign`(makeCTR_m, proc () [seq(k[op(i)] = ctr(op(i)), i = comb([seq([seq(x, x = 0 .. y)], y = args)], 1, []))] end proc); -1; `assign`(unionVects, proc (`::`(U, list), `::`(V, list)) if nops(U) = 0 ...
`assign`(makeCTR_m, proc () [seq(k[op(i)] = ctr(op(i)), i = comb([seq([seq(x, x = 0 .. y)], y = args)], 1, []))] end proc); -1; `assign`(unionVects, proc (`::`(U, list), `::`(V, list)) if nops(U) = 0 ...
`assign`(makeCTR_m, proc () [seq(k[op(i)] = ctr(op(i)), i = comb([seq([seq(x, x = 0 .. y)], y = args)], 1, []))] end proc); -1; `assign`(unionVects, proc (`::`(U, list), `::`(V, list)) if nops(U) = 0 ...
`assign`(makeCTR_m, proc () [seq(k[op(i)] = ctr(op(i)), i = comb([seq([seq(x, x = 0 .. y)], y = args)], 1, []))] end proc); -1; `assign`(unionVects, proc (`::`(U, list), `::`(V, list)) if nops(U) = 0 ...
`assign`(makeCTR_m, proc () [seq(k[op(i)] = ctr(op(i)), i = comb([seq([seq(x, x = 0 .. y)], y = args)], 1, []))] end proc); -1; `assign`(unionVects, proc (`::`(U, list), `::`(V, list)) if nops(U) = 0 ...
`assign`(makeCTR_m, proc () [seq(k[op(i)] = ctr(op(i)), i = comb([seq([seq(x, x = 0 .. y)], y = args)], 1, []))] end proc); -1; `assign`(unionVects, proc (`::`(U, list), `::`(V, list)) if nops(U) = 0 ...
`assign`(makeCTR_m, proc () [seq(k[op(i)] = ctr(op(i)), i = comb([seq([seq(x, x = 0 .. y)], y = args)], 1, []))] end proc); -1; `assign`(unionVects, proc (`::`(U, list), `::`(V, list)) if nops(U) = 0 ...
`assign`(makeCTR_m, proc () [seq(k[op(i)] = ctr(op(i)), i = comb([seq([seq(x, x = 0 .. y)], y = args)], 1, []))] end proc); -1; `assign`(unionVects, proc (`::`(U, list), `::`(V, list)) if nops(U) = 0 ...
`assign`(makeCTR_m, proc () [seq(k[op(i)] = ctr(op(i)), i = comb([seq([seq(x, x = 0 .. y)], y = args)], 1, []))] end proc); -1; `assign`(unionVects, proc (`::`(U, list), `::`(V, list)) if nops(U) = 0 ...
`assign`(makeCTR_m, proc () [seq(k[op(i)] = ctr(op(i)), i = comb([seq([seq(x, x = 0 .. y)], y = args)], 1, []))] end proc); -1; `assign`(unionVects, proc (`::`(U, list), `::`(V, list)) if nops(U) = 0 ...
`assign`(makeCTR_m, proc () [seq(k[op(i)] = ctr(op(i)), i = comb([seq([seq(x, x = 0 .. y)], y = args)], 1, []))] end proc); -1; `assign`(unionVects, proc (`::`(U, list), `::`(V, list)) if nops(U) = 0 ...
`assign`(makeCTR_m, proc () [seq(k[op(i)] = ctr(op(i)), i = comb([seq([seq(x, x = 0 .. y)], y = args)], 1, []))] end proc); -1; `assign`(unionVects, proc (`::`(U, list), `::`(V, list)) if nops(U) = 0 ...
`assign`(makeCTR_m, proc () [seq(k[op(i)] = ctr(op(i)), i = comb([seq([seq(x, x = 0 .. y)], y = args)], 1, []))] end proc); -1; `assign`(unionVects, proc (`::`(U, list), `::`(V, list)) if nops(U) = 0 ...
`assign`(makeCTR_m, proc () [seq(k[op(i)] = ctr(op(i)), i = comb([seq([seq(x, x = 0 .. y)], y = args)], 1, []))] end proc); -1; `assign`(unionVects, proc (`::`(U, list), `::`(V, list)) if nops(U) = 0 ...
`assign`(makeCTR_m, proc () [seq(k[op(i)] = ctr(op(i)), i = comb([seq([seq(x, x = 0 .. y)], y = args)], 1, []))] end proc); -1; `assign`(unionVects, proc (`::`(U, list), `::`(V, list)) if nops(U) = 0 ...
`assign`(makeCTR_m, proc () [seq(k[op(i)] = ctr(op(i)), i = comb([seq([seq(x, x = 0 .. y)], y = args)], 1, []))] end proc); -1; `assign`(unionVects, proc (`::`(U, list), `::`(V, list)) if nops(U) = 0 ...
`assign`(makeCTR_m, proc () [seq(k[op(i)] = ctr(op(i)), i = comb([seq([seq(x, x = 0 .. y)], y = args)], 1, []))] end proc); -1; `assign`(unionVects, proc (`::`(U, list), `::`(V, list)) if nops(U) = 0 ...
`assign`(makeCTR_m, proc () [seq(k[op(i)] = ctr(op(i)), i = comb([seq([seq(x, x = 0 .. y)], y = args)], 1, []))] end proc); -1; `assign`(unionVects, proc (`::`(U, list), `::`(V, list)) if nops(U) = 0 ...
`assign`(makeCTR_m, proc () [seq(k[op(i)] = ctr(op(i)), i = comb([seq([seq(x, x = 0 .. y)], y = args)], 1, []))] end proc); -1; `assign`(unionVects, proc (`::`(U, list), `::`(V, list)) if nops(U) = 0 ...
`assign`(makeCTR_m, proc () [seq(k[op(i)] = ctr(op(i)), i = comb([seq([seq(x, x = 0 .. y)], y = args)], 1, []))] end proc); -1; `assign`(unionVects, proc (`::`(U, list), `::`(V, list)) if nops(U) = 0 ...
`assign`(makeCTR_m, proc () [seq(k[op(i)] = ctr(op(i)), i = comb([seq([seq(x, x = 0 .. y)], y = args)], 1, []))] end proc); -1; `assign`(unionVects, proc (`::`(U, list), `::`(V, list)) if nops(U) = 0 ...
`assign`(makeCTR_m, proc () [seq(k[op(i)] = ctr(op(i)), i = comb([seq([seq(x, x = 0 .. y)], y = args)], 1, []))] end proc); -1; `assign`(unionVects, proc (`::`(U, list), `::`(V, list)) if nops(U) = 0 ...
`assign`(makeCTR_m, proc () [seq(k[op(i)] = ctr(op(i)), i = comb([seq([seq(x, x = 0 .. y)], y = args)], 1, []))] end proc); -1; `assign`(unionVects, proc (`::`(U, list), `::`(V, list)) if nops(U) = 0 ...
`assign`(makeCTR_m, proc () [seq(k[op(i)] = ctr(op(i)), i = comb([seq([seq(x, x = 0 .. y)], y = args)], 1, []))] end proc); -1; `assign`(unionVects, proc (`::`(U, list), `::`(V, list)) if nops(U) = 0 ...
`assign`(makeCTR_m, proc () [seq(k[op(i)] = ctr(op(i)), i = comb([seq([seq(x, x = 0 .. y)], y = args)], 1, []))] end proc); -1; `assign`(unionVects, proc (`::`(U, list), `::`(V, list)) if nops(U) = 0 ...
`assign`(makeCTR_m, proc () [seq(k[op(i)] = ctr(op(i)), i = comb([seq([seq(x, x = 0 .. y)], y = args)], 1, []))] end proc); -1; `assign`(unionVects, proc (`::`(U, list), `::`(V, list)) if nops(U) = 0 ...
`assign`(makeCTR_m, proc () [seq(k[op(i)] = ctr(op(i)), i = comb([seq([seq(x, x = 0 .. y)], y = args)], 1, []))] end proc); -1; `assign`(unionVects, proc (`::`(U, list), `::`(V, list)) if nops(U) = 0 ...
`assign`(makeCTR_m, proc () [seq(k[op(i)] = ctr(op(i)), i = comb([seq([seq(x, x = 0 .. y)], y = args)], 1, []))] end proc); -1; `assign`(unionVects, proc (`::`(U, list), `::`(V, list)) if nops(U) = 0 ...
`assign`(makeCTR_m, proc () [seq(k[op(i)] = ctr(op(i)), i = comb([seq([seq(x, x = 0 .. y)], y = args)], 1, []))] end proc); -1; `assign`(unionVects, proc (`::`(U, list), `::`(V, list)) if nops(U) = 0 ...
`assign`(makeCTR_m, proc () [seq(k[op(i)] = ctr(op(i)), i = comb([seq([seq(x, x = 0 .. y)], y = args)], 1, []))] end proc); -1; `assign`(unionVects, proc (`::`(U, list), `::`(V, list)) if nops(U) = 0 ...`assign`(ricVtab, proc (v, V, N) local u, vv; `assign`(vv, sort(v[1])); for u in V do if sort(u[1]) = vv then return `/`(`*`(v[2], `*`(fd(`+`(N, `-`(1)), nops(v[1])))), `*`(u[2])) end if end do; retur...
`assign`(ricVtab, proc (v, V, N) local u, vv; `assign`(vv, sort(v[1])); for u in V do if sort(u[1]) = vv then return `/`(`*`(v[2], `*`(fd(`+`(N, `-`(1)), nops(v[1])))), `*`(u[2])) end if end do; retur...
`assign`(ricVtab, proc (v, V, N) local u, vv; `assign`(vv, sort(v[1])); for u in V do if sort(u[1]) = vv then return `/`(`*`(v[2], `*`(fd(`+`(N, `-`(1)), nops(v[1])))), `*`(u[2])) end if end do; retur...
`assign`(ricVtab, proc (v, V, N) local u, vv; `assign`(vv, sort(v[1])); for u in V do if sort(u[1]) = vv then return `/`(`*`(v[2], `*`(fd(`+`(N, `-`(1)), nops(v[1])))), `*`(u[2])) end if end do; retur...
`assign`(ricVtab, proc (v, V, N) local u, vv; `assign`(vv, sort(v[1])); for u in V do if sort(u[1]) = vv then return `/`(`*`(v[2], `*`(fd(`+`(N, `-`(1)), nops(v[1])))), `*`(u[2])) end if end do; retur...
`assign`(ricVtab, proc (v, V, N) local u, vv; `assign`(vv, sort(v[1])); for u in V do if sort(u[1]) = vv then return `/`(`*`(v[2], `*`(fd(`+`(N, `-`(1)), nops(v[1])))), `*`(u[2])) end if end do; retur...
`assign`(ricVtab, proc (v, V, N) local u, vv; `assign`(vv, sort(v[1])); for u in V do if sort(u[1]) = vv then return `/`(`*`(v[2], `*`(fd(`+`(N, `-`(1)), nops(v[1])))), `*`(u[2])) end if end do; retur...
`assign`(ricVtab, proc (v, V, N) local u, vv; `assign`(vv, sort(v[1])); for u in V do if sort(u[1]) = vv then return `/`(`*`(v[2], `*`(fd(`+`(N, `-`(1)), nops(v[1])))), `*`(u[2])) end if end do; retur...
`assign`(ricVtab, proc (v, V, N) local u, vv; `assign`(vv, sort(v[1])); for u in V do if sort(u[1]) = vv then return `/`(`*`(v[2], `*`(fd(`+`(N, `-`(1)), nops(v[1])))), `*`(u[2])) end if end do; retur...
`assign`(ricVtab, proc (v, V, N) local u, vv; `assign`(vv, sort(v[1])); for u in V do if sort(u[1]) = vv then return `/`(`*`(v[2], `*`(fd(`+`(N, `-`(1)), nops(v[1])))), `*`(u[2])) end if end do; retur...
`assign`(ricVtab, proc (v, V, N) local u, vv; `assign`(vv, sort(v[1])); for u in V do if sort(u[1]) = vv then return `/`(`*`(v[2], `*`(fd(`+`(N, `-`(1)), nops(v[1])))), `*`(u[2])) end if end do; retur...
`assign`(ricVtab, proc (v, V, N) local u, vv; `assign`(vv, sort(v[1])); for u in V do if sort(u[1]) = vv then return `/`(`*`(v[2], `*`(fd(`+`(N, `-`(1)), nops(v[1])))), `*`(u[2])) end if end do; retur...
`assign`(ricVtab, proc (v, V, N) local u, vv; `assign`(vv, sort(v[1])); for u in V do if sort(u[1]) = vv then return `/`(`*`(v[2], `*`(fd(`+`(N, `-`(1)), nops(v[1])))), `*`(u[2])) end if end do; retur...
`assign`(ricVtab, proc (v, V, N) local u, vv; `assign`(vv, sort(v[1])); for u in V do if sort(u[1]) = vv then return `/`(`*`(v[2], `*`(fd(`+`(N, `-`(1)), nops(v[1])))), `*`(u[2])) end if end do; retur...
`assign`(ricVtab, proc (v, V, N) local u, vv; `assign`(vv, sort(v[1])); for u in V do if sort(u[1]) = vv then return `/`(`*`(v[2], `*`(fd(`+`(N, `-`(1)), nops(v[1])))), `*`(u[2])) end if end do; retur...
`assign`(ricVtab, proc (v, V, N) local u, vv; `assign`(vv, sort(v[1])); for u in V do if sort(u[1]) = vv then return `/`(`*`(v[2], `*`(fd(`+`(N, `-`(1)), nops(v[1])))), `*`(u[2])) end if end do; retur...
`assign`(ricVtab, proc (v, V, N) local u, vv; `assign`(vv, sort(v[1])); for u in V do if sort(u[1]) = vv then return `/`(`*`(v[2], `*`(fd(`+`(N, `-`(1)), nops(v[1])))), `*`(u[2])) end if end do; retur...
`assign`(ricVtab, proc (v, V, N) local u, vv; `assign`(vv, sort(v[1])); for u in V do if sort(u[1]) = vv then return `/`(`*`(v[2], `*`(fd(`+`(N, `-`(1)), nops(v[1])))), `*`(u[2])) end if end do; retur...
`assign`(ricVtab, proc (v, V, N) local u, vv; `assign`(vv, sort(v[1])); for u in V do if sort(u[1]) = vv then return `/`(`*`(v[2], `*`(fd(`+`(N, `-`(1)), nops(v[1])))), `*`(u[2])) end if end do; retur...
`assign`(ricVtab, proc (v, V, N) local u, vv; `assign`(vv, sort(v[1])); for u in V do if sort(u[1]) = vv then return `/`(`*`(v[2], `*`(fd(`+`(N, `-`(1)), nops(v[1])))), `*`(u[2])) end if end do; retur...
`assign`(ricVtab, proc (v, V, N) local u, vv; `assign`(vv, sort(v[1])); for u in V do if sort(u[1]) = vv then return `/`(`*`(v[2], `*`(fd(`+`(N, `-`(1)), nops(v[1])))), `*`(u[2])) end if end do; retur...
`assign`(ricVtab, proc (v, V, N) local u, vv; `assign`(vv, sort(v[1])); for u in V do if sort(u[1]) = vv then return `/`(`*`(v[2], `*`(fd(`+`(N, `-`(1)), nops(v[1])))), `*`(u[2])) end if end do; retur...
`assign`(ricVtab, proc (v, V, N) local u, vv; `assign`(vv, sort(v[1])); for u in V do if sort(u[1]) = vv then return `/`(`*`(v[2], `*`(fd(`+`(N, `-`(1)), nops(v[1])))), `*`(u[2])) end if end do; retur...
`assign`(ricVtab, proc (v, V, N) local u, vv; `assign`(vv, sort(v[1])); for u in V do if sort(u[1]) = vv then return `/`(`*`(v[2], `*`(fd(`+`(N, `-`(1)), nops(v[1])))), `*`(u[2])) end if end do; retur...
`assign`(ricVtab, proc (v, V, N) local u, vv; `assign`(vv, sort(v[1])); for u in V do if sort(u[1]) = vv then return `/`(`*`(v[2], `*`(fd(`+`(N, `-`(1)), nops(v[1])))), `*`(u[2])) end if end do; retur...
`assign`(ricVtab, proc (v, V, N) local u, vv; `assign`(vv, sort(v[1])); for u in V do if sort(u[1]) = vv then return `/`(`*`(v[2], `*`(fd(`+`(N, `-`(1)), nops(v[1])))), `*`(u[2])) end if end do; retur...
`assign`(ricVtab, proc (v, V, N) local u, vv; `assign`(vv, sort(v[1])); for u in V do if sort(u[1]) = vv then return `/`(`*`(v[2], `*`(fd(`+`(N, `-`(1)), nops(v[1])))), `*`(u[2])) end if end do; retur...
`assign`(ricVtab, proc (v, V, N) local u, vv; `assign`(vv, sort(v[1])); for u in V do if sort(u[1]) = vv then return `/`(`*`(v[2], `*`(fd(`+`(N, `-`(1)), nops(v[1])))), `*`(u[2])) end if end do; retur...
`assign`(ricVtab, proc (v, V, N) local u, vv; `assign`(vv, sort(v[1])); for u in V do if sort(u[1]) = vv then return `/`(`*`(v[2], `*`(fd(`+`(N, `-`(1)), nops(v[1])))), `*`(u[2])) end if end do; retur...
`assign`(ricVtab, proc (v, V, N) local u, vv; `assign`(vv, sort(v[1])); for u in V do if sort(u[1]) = vv then return `/`(`*`(v[2], `*`(fd(`+`(N, `-`(1)), nops(v[1])))), `*`(u[2])) end if end do; retur...
`assign`(ricVtab, proc (v, V, N) local u, vv; `assign`(vv, sort(v[1])); for u in V do if sort(u[1]) = vv then return `/`(`*`(v[2], `*`(fd(`+`(N, `-`(1)), nops(v[1])))), `*`(u[2])) end if end do; retur...
`assign`(ricVtab, proc (v, V, N) local u, vv; `assign`(vv, sort(v[1])); for u in V do if sort(u[1]) = vv then return `/`(`*`(v[2], `*`(fd(`+`(N, `-`(1)), nops(v[1])))), `*`(u[2])) end if end do; retur...
`assign`(ricVtab, proc (v, V, N) local u, vv; `assign`(vv, sort(v[1])); for u in V do if sort(u[1]) = vv then return `/`(`*`(v[2], `*`(fd(`+`(N, `-`(1)), nops(v[1])))), `*`(u[2])) end if end do; retur...
`assign`(ricVtab, proc (v, V, N) local u, vv; `assign`(vv, sort(v[1])); for u in V do if sort(u[1]) = vv then return `/`(`*`(v[2], `*`(fd(`+`(N, `-`(1)), nops(v[1])))), `*`(u[2])) end if end do; retur...
`assign`(ricVtab, proc (v, V, N) local u, vv; `assign`(vv, sort(v[1])); for u in V do if sort(u[1]) = vv then return `/`(`*`(v[2], `*`(fd(`+`(N, `-`(1)), nops(v[1])))), `*`(u[2])) end if end do; retur...
`assign`(ricVtab, proc (v, V, N) local u, vv; `assign`(vv, sort(v[1])); for u in V do if sort(u[1]) = vv then return `/`(`*`(v[2], `*`(fd(`+`(N, `-`(1)), nops(v[1])))), `*`(u[2])) end if end do; retur...
`assign`(ricVtab, proc (v, V, N) local u, vv; `assign`(vv, sort(v[1])); for u in V do if sort(u[1]) = vv then return `/`(`*`(v[2], `*`(fd(`+`(N, `-`(1)), nops(v[1])))), `*`(u[2])) end if end do; retur...
`assign`(ricVtab, proc (v, V, N) local u, vv; `assign`(vv, sort(v[1])); for u in V do if sort(u[1]) = vv then return `/`(`*`(v[2], `*`(fd(`+`(N, `-`(1)), nops(v[1])))), `*`(u[2])) end if end do; retur...
`assign`(ricVtab, proc (v, V, N) local u, vv; `assign`(vv, sort(v[1])); for u in V do if sort(u[1]) = vv then return `/`(`*`(v[2], `*`(fd(`+`(N, `-`(1)), nops(v[1])))), `*`(u[2])) end if end do; retur...
`assign`(ricVtab, proc (v, V, N) local u, vv; `assign`(vv, sort(v[1])); for u in V do if sort(u[1]) = vv then return `/`(`*`(v[2], `*`(fd(`+`(N, `-`(1)), nops(v[1])))), `*`(u[2])) end if end do; retur...
`assign`(ricVtab, proc (v, V, N) local u, vv; `assign`(vv, sort(v[1])); for u in V do if sort(u[1]) = vv then return `/`(`*`(v[2], `*`(fd(`+`(N, `-`(1)), nops(v[1])))), `*`(u[2])) end if end do; retur...
`assign`(ricVtab, proc (v, V, N) local u, vv; `assign`(vv, sort(v[1])); for u in V do if sort(u[1]) = vv then return `/`(`*`(v[2], `*`(fd(`+`(N, `-`(1)), nops(v[1])))), `*`(u[2])) end if end do; retur...
`assign`(ricVtab, proc (v, V, N) local u, vv; `assign`(vv, sort(v[1])); for u in V do if sort(u[1]) = vv then return `/`(`*`(v[2], `*`(fd(`+`(N, `-`(1)), nops(v[1])))), `*`(u[2])) end if end do; retur...
`assign`(ricVtab, proc (v, V, N) local u, vv; `assign`(vv, sort(v[1])); for u in V do if sort(u[1]) = vv then return `/`(`*`(v[2], `*`(fd(`+`(N, `-`(1)), nops(v[1])))), `*`(u[2])) end if end do; retur...
`assign`(ricVtab, proc (v, V, N) local u, vv; `assign`(vv, sort(v[1])); for u in V do if sort(u[1]) = vv then return `/`(`*`(v[2], `*`(fd(`+`(N, `-`(1)), nops(v[1])))), `*`(u[2])) end if end do; retur...
`assign`(ricVtab, proc (v, V, N) local u, vv; `assign`(vv, sort(v[1])); for u in V do if sort(u[1]) = vv then return `/`(`*`(v[2], `*`(fd(`+`(N, `-`(1)), nops(v[1])))), `*`(u[2])) end if end do; retur...
`assign`(ricVtab, proc (v, V, N) local u, vv; `assign`(vv, sort(v[1])); for u in V do if sort(u[1]) = vv then return `/`(`*`(v[2], `*`(fd(`+`(N, `-`(1)), nops(v[1])))), `*`(u[2])) end if end do; retur...
`assign`(ricVtab, proc (v, V, N) local u, vv; `assign`(vv, sort(v[1])); for u in V do if sort(u[1]) = vv then return `/`(`*`(v[2], `*`(fd(`+`(N, `-`(1)), nops(v[1])))), `*`(u[2])) end if end do; retur...
`assign`(ricVtab, proc (v, V, N) local u, vv; `assign`(vv, sort(v[1])); for u in V do if sort(u[1]) = vv then return `/`(`*`(v[2], `*`(fd(`+`(N, `-`(1)), nops(v[1])))), `*`(u[2])) end if end do; retur...
`assign`(ricVtab, proc (v, V, N) local u, vv; `assign`(vv, sort(v[1])); for u in V do if sort(u[1]) = vv then return `/`(`*`(v[2], `*`(fd(`+`(N, `-`(1)), nops(v[1])))), `*`(u[2])) end if end do; retur...
`assign`(ricVtab, proc (v, V, N) local u, vv; `assign`(vv, sort(v[1])); for u in V do if sort(u[1]) = vv then return `/`(`*`(v[2], `*`(fd(`+`(N, `-`(1)), nops(v[1])))), `*`(u[2])) end if end do; retur...
`assign`(ricVtab, proc (v, V, N) local u, vv; `assign`(vv, sort(v[1])); for u in V do if sort(u[1]) = vv then return `/`(`*`(v[2], `*`(fd(`+`(N, `-`(1)), nops(v[1])))), `*`(u[2])) end if end do; retur...
`assign`(ricVtab, proc (v, V, N) local u, vv; `assign`(vv, sort(v[1])); for u in V do if sort(u[1]) = vv then return `/`(`*`(v[2], `*`(fd(`+`(N, `-`(1)), nops(v[1])))), `*`(u[2])) end if end do; retur...
`assign`(ricVtab, proc (v, V, N) local u, vv; `assign`(vv, sort(v[1])); for u in V do if sort(u[1]) = vv then return `/`(`*`(v[2], `*`(fd(`+`(N, `-`(1)), nops(v[1])))), `*`(u[2])) end if end do; retur...
`assign`(ricVtab, proc (v, V, N) local u, vv; `assign`(vv, sort(v[1])); for u in V do if sort(u[1]) = vv then return `/`(`*`(v[2], `*`(fd(`+`(N, `-`(1)), nops(v[1])))), `*`(u[2])) end if end do; retur...
`assign`(ricVtab, proc (v, V, N) local u, vv; `assign`(vv, sort(v[1])); for u in V do if sort(u[1]) = vv then return `/`(`*`(v[2], `*`(fd(`+`(N, `-`(1)), nops(v[1])))), `*`(u[2])) end if end do; retur...
`assign`(ricVtab, proc (v, V, N) local u, vv; `assign`(vv, sort(v[1])); for u in V do if sort(u[1]) = vv then return `/`(`*`(v[2], `*`(fd(`+`(N, `-`(1)), nops(v[1])))), `*`(u[2])) end if end do; retur...
`assign`(ricVtab, proc (v, V, N) local u, vv; `assign`(vv, sort(v[1])); for u in V do if sort(u[1]) = vv then return `/`(`*`(v[2], `*`(fd(`+`(N, `-`(1)), nops(v[1])))), `*`(u[2])) end if end do; retur...
`assign`(ricVtab, proc (v, V, N) local u, vv; `assign`(vv, sort(v[1])); for u in V do if sort(u[1]) = vv then return `/`(`*`(v[2], `*`(fd(`+`(N, `-`(1)), nops(v[1])))), `*`(u[2])) end if end do; retur...
`assign`(ricVtab, proc (v, V, N) local u, vv; `assign`(vv, sort(v[1])); for u in V do if sort(u[1]) = vv then return `/`(`*`(v[2], `*`(fd(`+`(N, `-`(1)), nops(v[1])))), `*`(u[2])) end if end do; retur...
`assign`(ricVtab, proc (v, V, N) local u, vv; `assign`(vv, sort(v[1])); for u in V do if sort(u[1]) = vv then return `/`(`*`(v[2], `*`(fd(`+`(N, `-`(1)), nops(v[1])))), `*`(u[2])) end if end do; retur...
`assign`(ricVtab, proc (v, V, N) local u, vv; `assign`(vv, sort(v[1])); for u in V do if sort(u[1]) = vv then return `/`(`*`(v[2], `*`(fd(`+`(N, `-`(1)), nops(v[1])))), `*`(u[2])) end if end do; retur...
`assign`(ricVtab, proc (v, V, N) local u, vv; `assign`(vv, sort(v[1])); for u in V do if sort(u[1]) = vv then return `/`(`*`(v[2], `*`(fd(`+`(N, `-`(1)), nops(v[1])))), `*`(u[2])) end if end do; retur...
`assign`(ricVtab, proc (v, V, N) local u, vv; `assign`(vv, sort(v[1])); for u in V do if sort(u[1]) = vv then return `/`(`*`(v[2], `*`(fd(`+`(N, `-`(1)), nops(v[1])))), `*`(u[2])) end if end do; retur...
`assign`(ricVtab, proc (v, V, N) local u, vv; `assign`(vv, sort(v[1])); for u in V do if sort(u[1]) = vv then return `/`(`*`(v[2], `*`(fd(`+`(N, `-`(1)), nops(v[1])))), `*`(u[2])) end if end do; retur...
 

> pm([1, 1], [1])
 

`/`(`*`(`+`(`*`(n, `*`(S[1, 1], `*`(S[1, 0]))), `-`(`*`(`^`(S[1, 0], 2), `*`(S[0, 1]))), `-`(`*`(n, `*`(S[2, 1]))), `*`(S[2, 0], `*`(S[0, 1])))), `*`(n, `*`(`+`(n, `-`(1)), `*`(`+`(n, `-`(2)))))) (7.1)
 

>
 

`/`(`*`(`+`(`*`(n, `*`(S[1, 1], `*`(`^`(S[1, 0], 2)))), `-`(`*`(`^`(S[1, 0], 3), `*`(S[0, 1]))), `-`(`*`(n, `*`(S[1, 1], `*`(S[2, 0])))), `-`(`*`(2, `*`(n, `*`(S[1, 0], `*`(S[2, 1]))))), `*`(3, `*`(S[... (7.2)
 

>
 

.344 (7.3)
 

Example of multivariate polykays construction ()  

M is the max order of elements in { [1,1],[1] } 

N is ( 1 + 1 ) + ( 1 )  

>
 

 

 

2
3 (7.1.1)
 

>
 

[P1, P2] (7.1.2)
 

If args =  

>
 

2, 1 (7.1.3)
 

>
 

[[`+`(`*`(2, `*`(k[1, 1], `*`(k[1, 0])))), `*`(S[1, 1], `*`(S[1, 0]))], [`*`(`^`(k[1, 0], 2), `*`(k[0, 1])), `*`(`^`(S[1, 0], 2), `*`(S[0, 1]))], [k[2, 1], S[2, 1]], [`*`(k[2, 0], `*`(k[0, 1])), `*`(S... (7.1.4)
 

>
 

[k[0, 0] = 0, k[0, 1] = mu[0, 1], k[1, 0] = mu[1, 0], k[1, 1] = `+`(mu[1, 1], `-`(`*`(mu[1, 0], `*`(mu[0, 1])))), k[2, 0] = `+`(`-`(`*`(`^`(mu[1, 0], 2))), mu[2, 0]), k[2, 1] = `+`(`-`(`*`(2, `*`(mu[1...
[k[0, 0] = 0, k[0, 1] = mu[0, 1], k[1, 0] = mu[1, 0], k[1, 1] = `+`(mu[1, 1], `-`(`*`(mu[1, 0], `*`(mu[0, 1])))), k[2, 0] = `+`(`-`(`*`(`^`(mu[1, 0], 2))), mu[2, 0]), k[2, 1] = `+`(`-`(`*`(2, `*`(mu[1...
(7.1.5)
 

>
 

[[`+`(`*`(2, `*`(mu[1, 1], `*`(mu[1, 0]))), `-`(`*`(2, `*`(`^`(mu[1, 0], 2), `*`(mu[0, 1]))))), `*`(S[1, 1], `*`(S[1, 0]))], [`*`(`^`(mu[1, 0], 2), `*`(mu[0, 1])), `*`(`^`(S[1, 0], 2), `*`(S[0, 1]))],...
[[`+`(`*`(2, `*`(mu[1, 1], `*`(mu[1, 0]))), `-`(`*`(2, `*`(`^`(mu[1, 0], 2), `*`(mu[0, 1]))))), `*`(S[1, 1], `*`(S[1, 0]))], [`*`(`^`(mu[1, 0], 2), `*`(mu[0, 1])), `*`(`^`(S[1, 0], 2), `*`(S[0, 1]))],...
(7.1.6)
 

>
 

 

 

[[[`*`(P1, `*`(P2))], 1], [[P1, P2], 1]]
[[`*`(P1, `*`(P2))], 1], [[P1, P2], -1] (7.1.7)
 

>
 

 

 

[[[P1], 1]]
[[P1], 1] (7.1.8)
 

>
 

[[[`*`(P1, `*`(P2)), P1], 1], [[P1, P1, P2], -1]] (7.1.9)
 

>
 

[[[`*`(P1, `*`(P2)), P1], 2], [[P1, P1, P2], 1], [[`*`(`^`(P1, 2), `*`(P2))], 1], [[`*`(`^`(P1, 2)), P2], 1]] (7.1.10)
 

 

Note on function "ricVtab":  for example with parameters [P1P2,P1] the function returns 1/2 [ where 1 is in vTab e 2 in vParts ] and computes fd(3-1, 2) [where 3-1 is N-1 and 2 is order of [P1P2, P1] block. 

 

>
 

[[[`*`(P1, `*`(P2)), P1], `+`(`*`(`/`(1, 2), `*`(n)), `-`(1))], [[P1, P1, P2], -1]] (7.1.11)
 

>
 

[`*`(mu[1, 1], `*`(mu[1, 0])) = `+`(`*`(`/`(1, 2), `*`(n)), `-`(1)), `*`(`^`(mu[1, 0], 2), `*`(mu[0, 1])) = -1, mu = 0] (7.1.12)
 

>
 

`/`(`*`(`+`(`*`(n, `*`(S[1, 1], `*`(S[1, 0]))), `-`(`*`(`^`(S[1, 0], 2), `*`(S[0, 1]))), `-`(`*`(n, `*`(S[2, 1]))), `*`(S[2, 0], `*`(S[0, 1])))), `*`(n, `*`(`+`(n, `-`(1)), `*`(`+`(n, `-`(2)))))) (7.1.13)
 

Test previous result 

>
 

`/`(`*`(`+`(`*`(n, `*`(S[1, 1], `*`(S[1, 0]))), `-`(`*`(`^`(S[1, 0], 2), `*`(S[0, 1]))), `-`(`*`(n, `*`(S[2, 1]))), `*`(S[2, 0], `*`(S[0, 1])))), `*`(n, `*`(`+`(n, `-`(1)), `*`(`+`(n, `-`(2)))))) (7.1.14)
 

>
 

true (7.1.15)
 

Master function "polyk" for manage all cases 

This function allows us to recall all functions for generate k-statistics, polykays and their multivariate generalizzations
The input is the following: 

-  for generate  k-statistics  the parameter is:  [ r ] 

-  for generate  polykays the parameter is:  [ r ], [ s ]  

-  for generate multivariate k-statistics  the parameter is:  [ r, s ]  

-  for generate multivariate polykays  the parameter is:  [ r, s ],  [ u, v]  

>








 

 

Example 

>
 

 

 

KS
`/`(`*`(`+`(`*`(2, `*`(`^`(S[1], 3))), `-`(`*`(3, `*`(n, `*`(S[1], `*`(S[2]))))), `*`(`^`(n, 2), `*`(S[3])))), `*`(n, `*`(`+`(n, `-`(1)), `*`(`+`(n, `-`(2)))))) (8.1)
 

>
 

 

 

PS
`/`(`*`(`+`(`-`(`*`(`^`(S[1], 3))), `*`(`+`(1, n), `*`(S[1], `*`(S[2]))), `-`(`*`(n, `*`(S[3]))))), `*`(n, `*`(`+`(n, `-`(1)), `*`(`+`(n, `-`(2)))))) (8.2)
 

>
 

 

 

KM
`/`(`*`(`+`(`-`(`*`(2, `*`(n, `*`(S[1, 1], `*`(S[1, 0]))))), `*`(2, `*`(`^`(S[1, 0], 2), `*`(S[0, 1]))), `*`(`^`(n, 2), `*`(S[2, 1])), `-`(`*`(n, `*`(S[2, 0], `*`(S[0, 1])))))), `*`(n, `*`(`+`(n, `-`(... (8.3)
 

>
 

 

 

PM
`/`(`*`(`+`(`*`(n, `*`(S[1, 1], `*`(S[1, 0]))), `-`(`*`(`^`(S[1, 0], 2), `*`(S[0, 1]))), `-`(`*`(n, `*`(S[2, 1]))), `*`(S[2, 0], `*`(S[0, 1])))), `*`(n, `*`(`+`(n, `-`(1)), `*`(`+`(n, `-`(2)))))) (8.4)
 

Replacing symbols with numerical data 


Sums of the rth powers of the data points: 

> `assign`(powS, proc () if nargs = 1 then Sum(`^`('X'[i], args[1]), i = 1 .. 'n') else Sum(mul(`^`('X'[i, j], args[j]), j = 1 .. nargs), i = 1 .. 'n') end if end proc); -1
`assign`(powS, proc () if nargs = 1 then Sum(`^`('X'[i], args[1]), i = 1 .. 'n') else Sum(mul(`^`('X'[i, j], args[j]), j = 1 .. nargs), i = 1 .. 'n') end if end proc); -1
`assign`(powS, proc () if nargs = 1 then Sum(`^`('X'[i], args[1]), i = 1 .. 'n') else Sum(mul(`^`('X'[i, j], args[j]), j = 1 .. nargs), i = 1 .. 'n') end if end proc); -1
 

 

Example 

> powS(5, 3, 1)
 

Sum(`*`(`^`(X[i, 1], 5), `*`(`^`(X[i, 2], 3), `*`(X[i, 3]))), i = 1 .. n) (9.1)
 

> powS(9); 1
 

Sum(`*`(`^`(X[i], 9)), i = 1 .. n) (9.2)
 

 

 

This function allows us to process a k-statistic or polykay replacing the simbols with numerical data.  

The parameter is the following: 

-  for generate  k-statistics  the parameter is:  [ r ],  [ [ n1, n2, ...] ]   

-  for generate  polykays the parameter is:  [ [ r ], [ s ] ],  [ [ n1, n2, ...] ]   

-  for generate multivariate k-statistics  the parameter is: [ [ r , s ] ],  [ [ n1a, n2a], [ n1b, n2b] , ... ]     

-  for generate multivariate polykays  the parameter is:  [ [ r , s ],  [ u , v] ],  [ [ n1a, n2a], [ n1b, n2b] , ... ]     

>

















 

Examples: k-statistics and polykays 

>
 

[[16.34, 10.76, 11.84, 13.55, 15.85, 18.20, 7.51, 10.22, 12.52, 14.68, 16.08, 19.43, 8.12, 11.20, 12.95, 14.77, 16.83, 19.80, 8.55, 11.58, 12.10, 15.02, 16.83, 16.98, 19.92, 9.47, 11.68, 13.41, 15.35,...
[[16.34, 10.76, 11.84, 13.55, 15.85, 18.20, 7.51, 10.22, 12.52, 14.68, 16.08, 19.43, 8.12, 11.20, 12.95, 14.77, 16.83, 19.80, 8.55, 11.58, 12.10, 15.02, 16.83, 16.98, 19.92, 9.47, 11.68, 13.41, 15.35,...
(9.3)
 

 

The estimator for the mean is given by  

>
 

14.02166667 (9.4)
 

The estimator for the variance is given by  

>
 

12.65006954 (9.5)
 

The estimator for the skewness is given by   /  

>
 

-0.3216240416e-1 (9.6)
 

The estimator for the kurtosis is given by   /  

>
 

-.8852923202 (9.7)
 

The estimator for the is given by    

>
 

-15.56090621 (9.8)
 

 

Examples: multivariate k-ktatistics and multivariate polykays 

>
 

[[5.31, 11.16], [3.26, 3.26], [2.35, 2.35], [8.32, 14.34], [13.48, 49.45], [6.25, 15.05], [7.01, 7.01], [8.52, 8.52], [.45, .45], [12.08, 12.08], [19.39, 10.42]]
[[5.31, 11.16], [3.26, 3.26], [2.35, 2.35], [8.32, 14.34], [13.48, 49.45], [6.25, 15.05], [7.01, 7.01], [8.52, 8.52], [.45, .45], [12.08, 12.08], [19.39, 10.42]]
(9.9)
 

 

The estimator for the is given by  

>
 

-23.73790506 (9.10)
 

The estimator for the is given by  

>
 

294.2657624 (9.11)
 

The estimator for the is given by  

>
 

12369.47450 (9.12)
 

>  
 

 

Conclusions 

Tables 1 and 2 show computational times of three procedures, implementing algorithms to express single and multivariate k-statistics and single and multivariate polykays. The first one, which we call AS algorithms, has been implemented in Mathematica and refers to procedures explained in [7] - availables on the web page http://www.utstat.toronto.edu/david/trans.7.nb. The second one refers to the package MathStatica [8]. Note that in this package, there are no procedures devoted to multivariate polykays. The third procedure, named Fast algorithms has been implemented in Maple 10.x by using the results explained in [5]. The procedure to compute subdivisions of multisets have been described with a wealth of details in [3] and [4].
Above all, comparing our procedures with the more speed ones of MathStatica, it is evident the improvement in computational times. Let us remark that, for all the considered procedures, the results are in the same output form and have been evaluated on the same platform.
 

All tasks have been performed on a PC Pentium(R)4 Intel(R), CPU 3.00 Ghz, 480MB Ram.
 

 

Image 

Tab 1 

Comparison of computational times for k-statistics and polykays. Missed computational times "means greater than 20 houres". 

 

 

Image 

Tab 2 

Comparison of computational times for multivariate k-statistics and multivariate polykays. For AS Algorithms, missed computational times means "greater than 20 houres". For MathStatica, missed computational times means "procedures not available". 

 

References 

[1] Di Nardo E., G. Guarino, D. Senato (2008) A Maple algorithm for polykays and their generalizations. Adv. Appl. Stat. Vol. 8, No. 1, 19 - 36, http://www.pphmj.com/journals/adas.htm.

[2] Di Nardo E., G. Guarino, D. Senato (2008) An unifying framework for k-statistics, polykays and their generalizations. Bernoulli. Vol. 14(2), 440-468. Official Journal of the Bernoulli Society for Mathematical Statistics and Probability, http://isi.cbs.nl/bernoulli/,  

(download from http://www.unibas.it/utenti/dinardo/lavori.html)
 

[3]  Di Nardo E., G. Guarino, D. Senato, Multiset Subdivision, source Maple algorithm located in www.maplesoft.com (submitted) 


[4] Di Nardo E., G. Guarino, D. Senato (2008) Symbolic computation of moments of sampling distributions. Comp. Stat. Data Analysis Vol. 52, no. 11, 4909-4922, (download from http://arxiv.org/PS_cache/arxiv/pdf/0806/0806.0129v1.pdf or http://www.unibas.it/utenti/dinardo/lavori.html) 

 

[5] Di Nardo E., G. Guarino, D. Senato (2007), A new method for fast computing unbiased estimators of cumulants. In press Statistics and Computing. http://www.springer.com/statistics/computational/journal/11222 (download from http://www.unibas.it/utenti/dinardo/lavori.html) 

 

[6] Di Nardo E., G. Guarino, D. Senato, A Maple algorithm for k-statistics, polykays and their multivariate generalization, source Maple algorithm located in www.maplesoft.com (submitted) 

 

[7] D. F. Andrews and J. E. Stafford Symbolic computation for statistical inference :. Oxford Statistical Science Series, 21. Oxford University Press, Oxford, 2000. 

 

[8] C. Rose and M. D. Smith, Mathematical Statistics with Mathematica:, Spinger Verlag, New York, 2002.


Legal Notice: The copyright for this application is owned by the author(s). Neither Maplesoft nor the author are responsible for any errors contained within and are not liable for any damages resulting from the use of this material. This application is intended for non-commercial, non-profit use only. Contact the author for permission if you wish to use this application in for-profit activities 

>