Calculus II
Lesson 24: Conic Sections
The conic sections can be realized as the graphs of second degree equations. Consider the set of all equations of second degree: In the case where {A,B,C} are zero, this reduces to the equation of a straight line. We will, therefore, consider those cases where this does not occur.
The reason that these graphs arte called conic sections is that they also arise as the intersection of a plane with a cone.
Parabola
The parabola arises as the intersection of a cone and a plane parallel to its side.
Warning, the name changecoords has been redefined
Hyperbola
The hyperbola arises as the intersection of a cone with a plane that makes a steeper angle with the x-y plane than does the side of the cone.
Ellipse
The ellipse arises as the intersection of a cone with a plane that makes a less steep angle with the x-y plane than does the side of the cone.
Circle
The circle arises as the intersection of a cone and a plane parallel to its base.
The Standard Form of Equations
The xy term in the general quadratic results in rotation of the xy plane about the origin. At present we will deal only with conic sections whose lines of symmetry are parallel to one of the axes.
The parabola, with its line of symmetry at , is probably familiar to you.
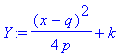
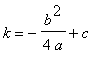
Classically the equation of a parabola was put in the form:
From which we conclude that , and . the vertex of the parabola is at (q,k).
Now we will draw an ellipse with its center at the origin.
Note that the x intercepts occur at , x = +/-3, while the y intercepts occure at x =0, y =+/-2. In general, an ellipse of the form , a>b , will have a semi-major axis of a and a semi-minor axis of b . Now move the center of the ellipse to new coordinates, x= 3, y =2.
Given an ellipse described by the equation: we would proceed to analyze it like this.
From this we would conclude that this ellipse is centered at (4,5) and has a s emi-major axis of 6 and a semi-minor axis of 4.
Now go back to the original ellipse, . Change the sign of the term to obtain a hyperbola.
How far apart are the two branches at their closest approach to each other?
In general,
The distance between the two branches of the hyperbola is not affected by where we place the origin of the coordinate system.
Ex. 1
Find the shortest distance between the branches of the hyperbola,
Practice
1. Put each of the following parabolas into "standard" form, and read off
a) The axis of symmetry.
b) The coordinates of the vertex of the parabola.
i.
ii.
iii.
2. Determine the nature of each of the following curves. Where is each curve centered?
a)
b)
c)
3. Write the equation of the following ellipses.
Center Semi-major axis Parallel to: Semi-minor axis
a) (1,2) 5 y-axis 3
b) (-3,-2) 7 x-axis 2
c) (-5,1) 6 y-axis 1