Polynomizing Lukasiewicz's Many-Valued Logics by Maple
Kahtan H. Alzubaidy
Introduction
Polynomizing of Lukasiewicz's Many-Valued Logics
by certain reduced polynomials of several variables over the ring
This method is applicable when n is a prime or a power of a prime. We shall restrict ourselves to n = 2, 3, 4 only.
Numerical representations
Propositional Lukasiewicz's many valued logics can be introduced by the matrix
Suppose that n is a prime.Then connectives are expressed by the numeric functions.
negation(ne) wx = n-1- x
implication(im) x
disjunction(di) x
conjunction(co) x
biconditional(bi) x
For
Representations by polynomials
Let n be a prime.
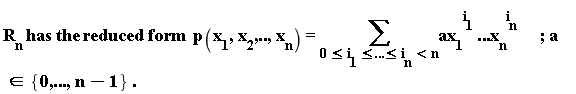
Any polynomial p in
Special cases
In
p(x)=a
p(x,y)=axy+bx+cy+d
p(x,y)=a
Atomic proposition in
the unary onnective x= ax+b ; a,b
the binary connectives
the unary onnective x= a ; a,b
the binary connectives a ;
To find now the connectives
conn2:=proc(ff)
local DS2,Eq2;
DS2 := [seq(seq([i, j], i = 0 .. 1), j = 0 .. 1)];
Eq2 := [seq(p2(u[])-ff(u[]), `in`(u, DS2))];
modp(Linear(Eq2, [a, b, c, d]),2);
end proc;
Thus the connectives in
wx = 1+x
x
In terms of polynomial functions
conn3:=proc(ff)
local DS3,Eq3;
DS3 := [seq(seq([i, j], i = 0 .. 2), j = 0 .. 2)];
Eq3:= [seq(p3(u[])-ff(u[]), `in`(u, DS3))];
`mod`(Linear(Eq3, [a, b, c, d,e,f,g,h,k]), 3);
Therefore the connectives in
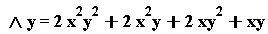
wx =
Checking tautologies
The following procedure based on Groebner basis can compute compound proposition as a reduced polynomial in
The proposition is a tautolog if the result is 1 for
In the following procedure ev (evaluate).
p = 2, 3 primes
V is the list of variables x,y,z,...
q is the proposition as a polynomial in x, y, z, ...
ev:=proc(p,V,q)
local n,W,K,B;
n:=nops(V);
W:=[seq(V[i],i=1..n)];
K:=[seq(x^p-x,x in W)];
B:=Basis(K,tdeg(seq(V[i],i=1..n)));
modp(NormalForm(q,B,tdeg(seq(V[i],i=1..n))),p);
1) x→(y→x)
2) (x→(y→z)→((x→y)→(x→z))
3) (wx→wy)→(y→x)
To verify the second axiom for example. The other two axioms are similar.
2) (x→y)→((y→z)→(x→z))
4) ((x→wx )→x)→x
To verify the fourth axiom. The rest are similar.
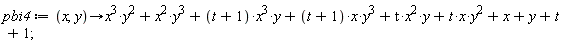
4-valued Logic
The truth values of propositional Lukasiewicz's 4- valued logic
GF(4)=
Minimum and maximum functions on GF(4) are given by the following two proceddures.
m:=proc(u,v)
local r;
r:=min(u,v);
r:=eval(subs(t=2,r));
subs(2=t,3=t+1,r);
M:=proc(u,v)
r:=max(u,v);
The order on GF(4) is therefore given by 0 < 1 < t < t+1 .
The connectives are given by the following functions
Consider the following lists
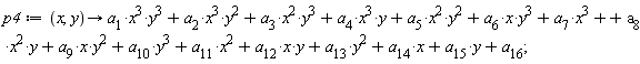
The reduced polynomial when n = 4
conn4:=proc(ff)
local DS4,Eq4;
DS4 := [seq(seq([i, j], `in`(i, L4)), `in`(j, L4))];
Eq4:= [seq(p4(u[])-ff(u[]), `in`(u, DS4))];
`mod`(Linear(Eq4, CC), 2);
The connectives
Connectives in terms of polynomials
The following procedure evaluate compound propositions in terms of reduced polynomials in
p = 2 and V, q as above in ev.
ev4:=proc(p,V,q)
K:=[seq(x^(2*p)-x,x in W)];
Checking tautologies in
The above proceduer ev4 can be used to check tautologies in
Examples
1) x →x
2) x→(y→x)
3) xnwx is not tautology in
Remark
We can deduce from → the other connectives n,o,↔ .
For example xny = (x→y)→y
References
1) M. Bergmann
Many-Valued and Fuzzy Logic
Cambridge 2008.
2) Walter Carnielli
Polynomial Ring Calculus for Many-Valued Logics
Proceedings of the 35th International Symposium on Multiple-Valued Logic (ISMVL’05)