Application Center - Maplesoft

App Preview:

Ejemplo de Teorema de Stokes

You can switch back to the summary page by clicking here.

Learn about Maple
Download Application




(Ejemplo*de*aplicación*del*teorema*de)*Stokes

Dr. Ranferí Gutiérrez

 

Resumen

 

En esta hoja se considera el ejemplo 1 de la sección 16.8 del libro Cálculo de varias variables, trascendentes tempranas, 7a. Edición, de Stewart.  

 

A pesar de que se trata de un problema que está resuelto en ese libro, aquí se enriquece con la capacidad que tiene Maple de poder crear figuras 3D las cuales pueden ser rotadas para obtener una mejor visualización de la geometría involucrada.  Adicionalmente se muestran los campos vectoriales involucrados en el teorema de Stokes, haciendo énfasis gráficamente en qué campo se considera sobre la curva C y cuál sobre la superficie S.

 

Ejemplo

 

Evalúe `∮`(F)*d*r donde F(x, y, z) = -i*y^2+k*z^2+j*x y C es la curva de intersección del plano y+z = 2 y el cilindro x^2+y^2 = 1.  Suponga que C se recorre en el sentido positivo.

 

Solución

 

La Figura 1 muestra la superficie S que tiene como frontera a la curva C . También se muestra la región R, que es la proyección de S sobre el plano xy.

 

                                                                        

                                                                         Figura 1.

 

Para comprender mejor la figura de arriba, se muestra abajo, en la Figura 2, el plano y cilindro descritos en el problema.   Rote la figura para obtener distintas vistas.  En particular, rote los ejes de tal forma que el eje z apunte perpendicular a la pantalla (tanto saliendo como entrando a la pantalla) y asegurese de que comprende por qué se afirma que la región R que proyecta S es circular.

 

                                                       

                                                                   Figura 2.

 

La Figura 3 es similar a la Figura 1, pero con la posibilidad de poder girarla y verla desde distintos ángulos. ¿Queda claro que S proyecta una región circular R sobre el plano xy?

 

                                                        

                                                                     Figura 3.

 

En la Figura 4 se muestra, a la izquierda, el campo F(x, y, z) = -i*y^2+k*z^2+j*x  (vectores en color rojo) y la curva C de intersección entre el plano y el cilindro. En esa misma figura puede observar, en color negro, los vectores tangentes d*r en sentido positivo.  A la derecha de la misma figura se muestran, en mayor escala,  la misma curva C y algunos vectores del campo F sobre la misma.

           

                                                                                       Figura 4.

 

De acuerdo al teorema de Stokes, se utilizará el vector V×F y se le considerará sobre la superficie S, que tiene como frontera a C.  En clase mostramos que para el campo vectorial considerado en este ejemplo, `&x`(VectorCalculus[Nabla], F) = (1+2*y)*k.  

 

En la Figura 5 se muestra, a la izquierda, el campo vectorial `&x`(VectorCalculus[Nabla], F) = (1+2*y)*k (vectores en color verde).  Rote la figura y estudie detenidamente la forma que tiene ese campo vectorial.   A la derecha de la misma Figura 5 se muestra de nuevo el campo vectorial `&x`(VectorCalculus[Nabla], F) = (1+2*y)*k en algunos puntos de la superficie S que tiene como frontera a la curva C.

 

                                                    Figura 5.

 

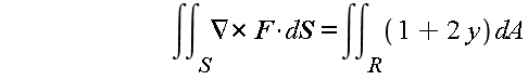
Al aplicar el teorema de Stokes, debemos recordar que

 

"∫(∫)[S]∇*F*dS= ∫(∫)[R][-((∂R)/(∂ y)-(∂Q)/(∂ z))(∂z)/(∂ x)-((∂P)/(∂ z)-(∂R)/(∂ x))(∂z)/(∂ y)+((∂Q)/(∂ x)-(∂P)/(∂ y))]dA"
       (1)

 

donde F = P(x, y, z)*i+Q(x, y, z)*j+R(x, y, z)*k  y R, como se muestra en la figura de abajo, es la proyección de S sobre el plano xy.

                                                                    

                                                                         

 

 

En este ejemplo, como se discutió anteriormente, la región R es un círculo de radio 1 (compare la figura que aparece inmediatamente abajo -recuerde que puede rotarla-, con la que aparece inmediatamente arriba):

 

                                                                        

                                                                               

 

En este ejemplo, F(x, y, z) = -i*y^2+k*z^2+j*x, por lo que P(x, y, z) = -y^2, Q(x, y, z) = x, R(x, y, z) = z^2 y la aplicación de (1) da como resultado

 

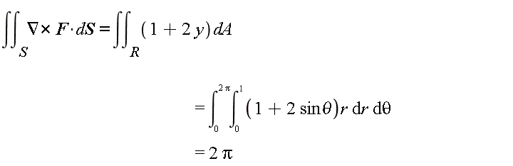
"                          ∫(∫)[S]∇*F*dS= ∫(∫)[R](1+2 y)dA"``

 

y como R tiene forma circular (circulo de radio uno), resulta más conveniente utilizar coordenadas polares:

 

                          
"∫(∫)[S]∇*F*dS= ∫(∫)[R](1+2 y)dA                                                =(∫)[0]^(2 Pi)(∫)[0]^(1)(1+2 sintheta)r ⅆr ⅆtheta                                              = 2 Pi"

 

Por tanto,

                             `∮`(F)*d*r = 2*Pi

                            

 

NULL