Application Center - Maplesoft

App Preview:

Polya Theory by Maple

You can switch back to the summary page by clicking here.

Learn about Maple
Download Application




NULL

 

Polya Theory  by Maple

Kahtan H. Alzubaidy

 

 

 

  Key Words : Permutation Groups, Burnside's Theorem, Polya's Theorems

 

 

  Introduction

     In this application of Maple a few procedures are written to do the computations related to Burnside's counting  theorem and also to Polya's theorems.

  Everything is done in terms of permutation groups.

 

 

   Permutations Group

   A permutation for example   "((1  2 3 4) ? (2 1 4 3)) is represented by the permutation list  [2,1,4,3]  or "  "((1  2 3 4) ? (2 1 4 3))=""((1  2 ) ? (2   1 ))""(( 3 4) ? ( 4 3))"= (1,2)(3,4) is represented by disjoint cycles

"    as a list of lists [[1,2],[3,4]]."

   The identity of degree 4 , for example is given by [1,2,3,4] or [[1],[2],[3],[4]].

   A permutation group is denoted by a list of its permutations.

 

restart

with(combinat):

 

   A product of two permutations S and T of degree n.

 

p:=proc(S,T,n)

[seq(S[T[r]],r=1..n)];

end proc;

proc (S, T, n) [seq(S[T[r]], r = 1 .. n)] end proc

(1)

``

``

    Basic Examples of Permutation Groups

      

  Trivial group of degree 4

  Id4:=[[1,2,3,4]];

[[1, 2, 3, 4]]

(2)

All*permutations(Symmetric Group  S(n) of degree n )

NULL

S:=proc(n)

permute(n);

end proc;

proc (n) combinat:-permute(n) end proc

(3)

NULL

S(1);

[[1]]

(4)

S(2);

[[1, 2], [2, 1]]

(5)

S(3);

[[1, 2, 3], [1, 3, 2], [2, 1, 3], [2, 3, 1], [3, 1, 2], [3, 2, 1]]

(6)

S(4);

[[1, 2, 3, 4], [1, 2, 4, 3], [1, 3, 2, 4], [1, 3, 4, 2], [1, 4, 2, 3], [1, 4, 3, 2], [2, 1, 3, 4], [2, 1, 4, 3], [2, 3, 1, 4], [2, 3, 4, 1], [2, 4, 1, 3], [2, 4, 3, 1], [3, 1, 2, 4], [3, 1, 4, 2], [3, 2, 1, 4], [3, 2, 4, 1], [3, 4, 1, 2], [3, 4, 2, 1], [4, 1, 2, 3], [4, 1, 3, 2], [4, 2, 1, 3], [4, 2, 3, 1], [4, 3, 1, 2], [4, 3, 2, 1]]

(7)

Z2 := [[1, 2], [2, 1]];

[[1, 2], [2, 1]]

(8)

Z3 := [[1, 2, 3], [2, 3, 1], [3, 1, 2]];

[[1, 2, 3], [2, 3, 1], [3, 1, 2]]

(9)

Z4 := [[1, 2, 3, 4], [2, 3, 4, 1], [3, 4, 1, 2], [4, 1, 2, 3]];

[[1, 2, 3, 4], [2, 3, 4, 1], [3, 4, 1, 2], [4, 1, 2, 3]]

(10)

V := [[1, 2, 3, 4], [2, 1, 3, 4], [1, 2, 4, 3], [2, 1, 4, 3]];

[[1, 2, 3, 4], [2, 1, 3, 4], [1, 2, 4, 3], [2, 1, 4, 3]]

(11)

D4 := [[1, 2, 3, 4], [2, 3, 4, 1], [3, 4, 1, 2], [4, 1, 2, 3], [2, 1, 4, 3], [4, 3, 2, 1], [3, 2, 1, 4], [1, 4, 3, 2]];

[[1, 2, 3, 4], [2, 3, 4, 1], [3, 4, 1, 2], [4, 1, 2, 3], [2, 1, 4, 3], [4, 3, 2, 1], [3, 2, 1, 4], [1, 4, 3, 2]]

(12)

 

   The above examples can be put in terms of disjoint cycles  including 1-cycles as follows

``

CId2 := [[[1], [2]]];

[[[1], [2]]]

(13)

CId3 := [[[1], [2], [3]]];

[[[1], [2], [3]]]

(14)

NULL

CId4 := [[[1], [2], [3], [4]]];

[[[1], [2], [3], [4]]]

(15)

CS(2) := [[[1], [2]], [[2, 1]]];

[[[1], [2]], [[2, 1]]]

(16)

CS(3) := [[[1], [2], [3]], [[1], [3, 2]], [[2, 1], [3]], [[2, 3, 1]], [[3, 1, 2]], [[3, 1], [2]]];

[[[1], [2], [3]], [[1], [3, 2]], [[2, 1], [3]], [[2, 3, 1]], [[3, 1, 2]], [[3, 1], [2]]]

(17)

CZ2 := [[[1], [2]], [[2, 1]]];

[[[1], [2]], [[2, 1]]]

(18)

CZ3 := [[[1], [2], [3]], [[2, 3, 1]], [[3, 1, 2]]];

[[[1], [2], [3]], [[2, 3, 1]], [[3, 1, 2]]]

(19)

CZ4 := [[[1], [2], [3], [4]], [[2, 3, 4, 1]], [[1, 3], [2, 4]], [[4, 1, 2, 3]]];

[[[1], [2], [3], [4]], [[2, 3, 4, 1]], [[1, 3], [2, 4]], [[4, 1, 2, 3]]]

(20)

CV := [[[1], [2], [3], [4]], [[3], [4], [2, 1]], [[1], [2], [4, 3]], [[2, 1, 4, 3]]];

[[[1], [2], [3], [4]], [[3], [4], [2, 1]], [[1], [2], [4, 3]], [[2, 1, 4, 3]]]

(21)

CD4 := [[[1], [2], [3], [4]], [[1, 2, 3, 4]], [[1, 3], [2, 4]], [[4, 1, 2, 3]], [[1, 2], [3, 4]], [[1, 4], [2, 3]], [[1], [3], [2, 4]], [[1, 3], [2], [4]]];

[[[1], [2], [3], [4]], [[1, 2, 3, 4]], [[1, 3], [2, 4]], [[4, 1, 2, 3]], [[1, 2], [3, 4]], [[1, 4], [2, 3]], [[1], [3], [2, 4]], [[1, 3], [2], [4]]]

(22)

NULL

NULL

 

   Burnside Counting Theorem

 

     Fixed Points of a Permutation

FixedPoints:=proc(L)

{select(x->is (x=L[x]),L)[]};

end proc;

 

proc (L) {select(proc (x) options operator, arrow; is(x = L[x]) end proc, L)[]} end proc

(23)

NULL

    Group Action

    Action of a permutation L of degree n on element x in {1,2,...,n}.

NULL

action:=proc(L,x)

L[x];

end proc;

proc (L, x) L[x] end proc

(24)

   Orbit of x in a permutation group G

NULL

orbit:=proc(x,G)

{seq(action(L,x),L in G)};

end proc;

 

proc (x, G) {seq(action(L, x), `in`(L, G))} end proc

(25)

orbit(2, S(3));

{1, 2, 3}

(26)

 

``

     Burnside counting theorem

     Number of orbits  =  "(1)/(|G|)(∑)  FixedPoints(g)"

 

     G is a permutation group of degree n

 

Burnside:=proc(G,n)

1/nops(G)*add(nops(FixedPoints(g)),g = G);

end proc;

proc (G, n) add(nops(FixedPoints(g)), g = G)/nops(G) end proc

(27)

Burnside([[1, 2, 3, 4]], 4);

4

(28)

Burnside([[1, 2, 3, 4], [2, 1, 3, 4]], 4);

3

(29)

Burnside(S(3), 3);

1

(30)

Burnside(V, 4);

2

(31)

Burnside(D4, 4);

1

(32)

Burnside(Z3, 3);

1

(33)

 

   Polya Theorems

 

   Cycle Index Polynomial  ZG of  a permutation group G of degree n.

 

                   ZG("x[1],x[2],...,x[n])  =   (1)/(|G|)(∑)  (∏)x[k]^(c[k](g)) ,   "where  "(c[k])^(g) is the number of cycles of order k  in  g."

      

   In the following procedurs permutation groups should be given in cycle notations

 

NULL

expo:=proc(L)

[seq(nops(op(i,L)),i=1..nops(L))];

end proc;

proc (L) [seq(nops(op(i, L)), i = 1 .. nops(L))] end proc

(34)

NULL

l:=proc(L,m,t)

  nops(select(x-> is(nops(x)=t),L));

end proc;

proc (L, m, t) nops(select(proc (x) options operator, arrow; is(nops(x) = t) end proc, L)) end proc

(35)

NULL

NULL

exponents:=proc(L,m)

 [seq(l(L,m,t),t=1..m)];

end proc;

proc (L, m) [seq(l(L, m, t), t = 1 .. m)] end proc

(36)

``

NULL

vars:=proc(m)

 [seq(x[i],i=1..m)];

end proc;

proc (m) [seq(x[i], i = 1 .. m)] end proc

(37)

NULL

NULL

mono:=proc(L,m) local B,E;

 B:= [seq(x[i],i=1..m)];

 E:=exponents(L,m);

 product((x[r])^E[r],r=1..m);

end proc;

 

proc (L, m) local B, E; B := [seq(x[i], i = 1 .. m)]; E := exponents(L, m); product(x[r]^E[r], r = 1 .. m) end proc

(38)

NULL

NULL

ZG:=proc(G,m)

  1/nops(G) *add(mono(L,m),L=G);

end proc;

proc (G, m) add(mono(L, m), L = G)/nops(G) end proc

(39)

ZG(CId2, 2);

x[1]^2

(40)

ZG(CId3, 3);

x[1]^3

(41)

ZG(CId4, 4);

x[1]^4

(42)

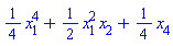
ZG(CS(2), 2);

(1/2)*x[1]^2+(1/2)*x[2]

(43)

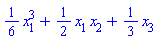
ZG(CS(3), 3);

(1/6)*x[1]^3+(1/2)*x[1]*x[2]+(1/3)*x[3]

(44)

ZG(CZ3, 3);

(1/3)*x[1]^3+(2/3)*x[3]

(45)

ZG(CV, 4);

(1/4)*x[1]^4+(1/2)*x[1]^2*x[2]+(1/4)*x[4]

(46)

ZG([[[1], [2], [3]], [[1], [3, 2]]], 3);

(1/2)*x[1]^3+(1/2)*x[1]*x[2]

(47)

ZG(CD4, 4)

(1/8)*x[1]^4+(1/4)*x[4]+(3/8)*x[2]^2+(1/4)*x[1]^2*x[2]

(48)

   

   Let D and R be two finite sets.
"R^(D)= {f  |   f:D->R is a function}.  Let  G be a permutation group of   D. Define  a binary relation   ≈on  R^(D) as follows"

   "f[1] ≈ f[2]   iff   f[1]= f[2]g   for some   g  in G.    ≈ is an equivalence  relation."

 

Polya Enumeration Theorem

   The number of equivalence classes induced by "≈on  R^(D)  is given by "

    PG(abs(R), abs(R), () .. (), abs(R))

 

Polya1:=proc(G,d,r)

 

 ZG(G,d);

 subs([seq(x[i] = r, i = 1 .. d)],ZG(G,d));

end proc;

proc (G, d, r) ZG(G, d); subs([seq(x[i] = r, i = 1 .. d)], ZG(G, d)) end proc

(49)

Polya1(CId4, 4, r);

r^4

(50)

Polya1(CS(2), 2, r);

(1/2)*r^2+(1/2)*r

(51)

Polya1(CS(3), 3, r);

(1/6)*r^3+(1/2)*r^2+(1/3)*r

(52)

Polya1(CZ3, 3, r);

(1/3)*r^3+(2/3)*r

(53)

Polya1(CV, 4, r);

(1/4)*r^4+(1/2)*r^3+(1/4)*r

(54)

Polya1(CD4, 4, r);

(1/8)*r^4+(1/4)*r+(3/8)*r^2+(1/4)*r^3

(55)

 

    Inventory Polynomials

    Let D and R be two finite sets. The weight of  r2R is a symbol w(r) associated with r. The weight of a function f; proc (D) options operator, arrow; R end proc is defined by

            w(f)="(∏)w(f(d)).  "Note that w("f[1])=w(f[2])  if  f[1] ≈ f[2] ."

    The inventory of  F4"R^(D) is given by Inv(F)= (∑)w(f) ."

 

    Theorem.

     Let  "D[1],D[2],...,D[n]  be a partition of  D.  Then    Inv(R^(D))=   (∏)[  (∑)(w(r))^(|D[i]|) ] ."

 

 

    Polya Fundamental Theorem.

    Let D and R be two finite sets and G a permutation group of D.  Then  Inv("R^(D))=PG(Sigma w(r),Sigma (w(r))^(2), ...)."

  

 

    The following procedure computes the inventory polynomial of a permutation group G of degree  d  in terms of the symbols  "a[1],a[2], ..., a[r] ."

NULL

Polya2:=proc(G,d,r)

 seq(a[i],i=1..r);  

 

 ZG(G,d);

 subs([seq(x[t] = sum(a[i]^t, i = 1 .. r),t=1..d)],ZG(G,d));

end proc;

 

proc (G, d, r) seq(a[i], i = 1 .. r); ZG(G, d); subs([seq(x[t] = sum(a[i]^t, i = 1 .. r), t = 1 .. d)], ZG(G, d)) end proc

(56)

Polya2(CId4, 4, 3);

(a[1]+a[2]+a[3])^4

(57)

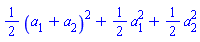
Polya2(CS(2), 2, 2);

(1/2)*(a[1]+a[2])^2+(1/2)*a[1]^2+(1/2)*a[2]^2

(58)

``

Polya2(CS(2), 2, 3);

(1/2)*(a[1]+a[2]+a[3])^2+(1/2)*a[1]^2+(1/2)*a[2]^2+(1/2)*a[3]^2

(59)

expand(%);

a[1]^2+a[1]*a[2]+a[1]*a[3]+a[2]^2+a[2]*a[3]+a[3]^2

(60)

Polya2(CS(3), 3, 3);

(1/6)*(a[1]+a[2]+a[3])^3+(1/2)*(a[1]+a[2]+a[3])*(a[1]^2+a[2]^2+a[3]^2)+(1/3)*a[1]^3+(1/3)*a[2]^3+(1/3)*a[3]^3

(61)

expand(%);

a[1]^3+a[1]^2*a[2]+a[1]^2*a[3]+a[1]*a[2]^2+a[1]*a[2]*a[3]+a[1]*a[3]^2+a[2]^3+a[2]^2*a[3]+a[2]*a[3]^2+a[3]^3

(62)

Polya2(CV, 4, 2, 2);

(1/4)*(a[1]+a[2])^4+(1/2)*(a[1]+a[2])^2*(a[1]^2+a[2]^2)+(1/4)*a[1]^4+(1/4)*a[2]^4

(63)

Polya2(CD4, 4, 3);

(1/8)*(a[1]+a[2]+a[3])^4+(1/4)*a[1]^4+(1/4)*a[2]^4+(1/4)*a[3]^4+(3/8)*(a[1]^2+a[2]^2+a[3]^2)^2+(1/4)*(a[1]+a[2]+a[3])^2*(a[1]^2+a[2]^2+a[3]^2)

(64)

``

   Let D and R be two finite sets. Suppose that  G is a permutation group of degree "|D|  and H  is a permutation group of degree  |R|. Define a binary relation ≈ on  R^(D) as follows "

   "f[1] ≈ f[2]   iff   hf[1]= f[2]g   for some   g  in G and some   h in H.      ≈ is an equivalence  relation." 

 

   Polya Generalized Theorem(DeBruijn)

   The number of equivalence classes induced by "≈on  R^(D)  is given by "

           "(1)/(|H|)(∑)ZG(|R[h]|, |R[h^(2)]|,..., |R[h^(k)]|),  where  R[h^(k)]  is the set of  points of  R  fixed fixed by h^(k).  "

  

 

   The following procedures lead to the computation of the number of these equivalence classes.

NULL

   The powers  h^r

 

pr:=proc(h,p,n,r)

local q;

q:=t->p(q(t-1),h,n);

q(1):=h;

q(r);

end proc;

proc (h, p, n, r) local q; q := proc (t) options operator, arrow; p(q(t-1), h, n) end proc; q(1) := h; q(r) end proc

(65)

NULL

   List  of numbers of fixed points of  h, "h^(2), ... ,h^(m)."

 

 

NULL

R:=proc(h,p,n,m)

 

[seq(nops(FixedPoints(pr(h,p,n,r))),r=1..m)]

end proc;

proc (h, p, n, m) [seq(nops(FixedPoints(pr(h, p, n, r))), r = 1 .. m)] end proc

(66)

NULL

    List of numbers of fixed points of  "h^(r) , where  h in H."

 

RR:=proc(H,n,m)

[seq(R(h,p,n,m),h in H)];

end proc;

proc (H, n, m) [seq(R(h, p, n, m), `in`(h, H))] end proc

(67)

``

"    Arguments includes G of degree m in cycles  and  variables  a[1],..,a[m]."

pgg:=proc()

local m,PP;

m:=nargs-1;PP:=PG(args[1],m);

subs([seq(x[i-1]=args[i],i=2..m+1)],PP);

end proc;

 

proc () local m, PP; m := nargs-1; PP := PG(args[1], m); subs([seq(x[i-1] = args[i], i = 2 .. m+1)], PP) end proc

(68)

``

``

   G of degree m in cycles and H of degree n in permutation lists

 

Polya3:=proc(G,m,H,n)

local RRR;

RRR:=RR(H,n,m);

1/nops(H) *add(z,z in [seq(pgg(G,RRR[i][]),i=1..nops(H))]);

end proc;

 

proc (G, m, H, n) local RRR; RRR := RR(H, n, m); add(z, `in`(z, [seq(pgg(G, RRR[i][]), i = 1 .. nops(H))]))/nops(H) end proc

(69)

Polya3(CS(3), 3, S(2), 2);

PG([[[1], [2], [3]], [[1], [3, 2]], [[2, 1], [3]], [[2, 3, 1]], [[3, 1, 2]], [[3, 1], [2]]], 3)

(70)

Polya3(CS(3), 3, S(3), 3);

PG([[[1], [2], [3]], [[1], [3, 2]], [[2, 1], [3]], [[2, 3, 1]], [[3, 1, 2]], [[3, 1], [2]]], 3)

(71)

Polya3(CS(3), 3, [[1, 2]], 2);

PG([[[1], [2], [3]], [[1], [3, 2]], [[2, 1], [3]], [[2, 3, 1]], [[3, 1, 2]], [[3, 1], [2]]], 3)

(72)

Polya3(CD4, 4, [[1, 2, 3, 4]], 4);

PG([[[1], [2], [3], [4]], [[1, 2, 3, 4]], [[1, 3], [2, 4]], [[4, 1, 2, 3]], [[1, 2], [3, 4]], [[1, 4], [2, 3]], [[1], [3], [2, 4]], [[1, 3], [2], [4]]], 4)

(73)

Polya3(CS(3), 4, [[1, 2, 3, 4]], 4);

PG([[[1], [2], [3]], [[1], [3, 2]], [[2, 1], [3]], [[2, 3, 1]], [[3, 1, 2]], [[3, 1], [2]]], 4)

(74)

Polya3(CS(3), 3, [[1, 2, 3]], 3);

PG([[[1], [2], [3]], [[1], [3, 2]], [[2, 1], [3]], [[2, 3, 1]], [[3, 1, 2]], [[3, 1], [2]]], 3)

(75)

NULL

  

Generalized Polya's Fundamental Theorem(DeBruijn)

 

   N =   
"(1)/(|H|) (∑)ZG(alpha[1](h),alpha[2](h),..., alpha[m](h)),  where   alpha[k](h)= (∑)  (∏)t[h^(i).a]    ;   k=1, ... ,m   and  a in R.  "

 

Note that  D ={1,2,..., m} and  R ={ 1,2,...,n}.

One may program this formula by Maple to complete the procedures.

 

    Department of Mathematics,

    Faculty of Science,

    University of Benghazi,  Libya

    E-mail: kahtanalzubaidy@yahoo.com

 

 

 

``

``