Application Center - Maplesoft

App Preview:

The Gross-Pitaevskii equation and Bogoliubov spectrum

You can switch back to the summary page by clicking here.

Learn about Maple
Download Application




The Gross-Pitaevskii equation and Bogoliubov spectrum
  

Pascal Szriftgiser1 and Edgardo S. Cheb-Terrab2 

(1) Laboratoire PhLAM, UMR CNRS 8523, Université Lille 1, F-59655, France

(2) Maplesoft, Canada

 

Departing from the equation for a quantum system of identical boson particles, i.e.the Gross-Pitaevskii equation (GPE), the dispersion relation for plane-wave solutions are derived, as well as the Bogoliubov equations and dispersion relations for small perturbations `δϕ` around the GPE stationary solutions.

Stationary and plane-wave solutions to the Gross-Pitaevskii equation

 


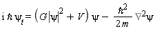
Problem: Given the Gross-Pitaevskii equation, NULL

I*`ℏ`*psi[t] = (G*abs(psi)^2+V)*psi-`ℏ`^2*%Laplacian(psi)/(2*m)

  

a) Derive a relationship between the chemical potential mu entering the phase of stationary, uniform solutions, the atom-atom interaction constant G and the particle density n = abs(psi)^2 in the absence of an external field (V = 0).

  

b) Derive the dispersion relation for plane-wave solutions as a function of G and n. 

  

 

Background: The Gross-Pitaevskii equation is particularly useful to describe Bose Einstein condensates (BEC) of cold atomic gases [3, 4, 5]. The temperature of these cold atomic gases is typically in the w100 nano-Kelvin range. The atom-atom interaction are repulsive for G > 0 and attractive for G < 0 , where G is the interaction constant. The GPE is also widely used in non-linear optics to model the propagation of light in optical fibers.

Solution

 

The Bogoliubov equations and dispersion relations

 

 

Problem: Given the Gross-Pitaevskii equation,

  

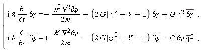
a) Derive the Bogoliubov equations, that is, equations for elementary excitations `&delta;&varphi;` and conjugate(`&delta;&varphi;`)around a GPE stationary solution `&varphi;`(x, y, z), NULL

 

"{[[i `&hbar;` (&PartialD;)/(&PartialD;t) `delta&varphi;`=-(`&hbar;`^2 (&nabla;)^2`delta&varphi;`)/(2 m)+(2 G |`&varphi;`|^2+V-mu) `delta&varphi;`+G `&varphi;`^2 (`delta&varphi;`),,],[i `&hbar;` (&PartialD;)/(&PartialD;t)( `delta&varphi;`)=+(`&hbar;`^2 (&nabla;)^2(`delta&varphi;`))/(2 m)-(2 G |`&varphi;`|^2+V-mu) (`delta&varphi;`)-G `delta&varphi;` ((`&varphi;`))^(2),,]]"

  


b) Show that the dispersion relations of these equations, known as the Bogoliubov spectrum, are given by

  

epsilon[k] = `&hbar;`*omega[k] and `&hbar;`*omega[k] = `&+-`(sqrt(`&hbar;`^4*k^4/(4*m^2)+`&hbar;`^2*k^2*G*n/m)),

  


where k is the wave number of the considered elementary excitation, epsilon[k] its energy or, equivalently, omega[k] its frequency.

Solution

 

NULL

References

NULL

[1] Gross-Pitaevskii equation (wiki)

[2] Continuity equation (wiki)
[3] Bose–Einstein condensate (wiki)

[4] Dispersion relations (wiki)

[5] Advances In Atomic Physics: An Overview, Claude Cohen-Tannoudji and David Guery-Odelin, World Scientific (2011), ISBN-10: 9812774963.

[6] Nonlinear Fiber Optics, Fifth Edition (Optics and Photonics), Govind Agrawal, Academic Press (2012), ISBN-13: 978-0123970237.