Application Center - Maplesoft

App Preview:

Guia electronica de estudio sobre Multiplicadores de Lagrange

You can switch back to the summary page by clicking here.

Learn about Maple
Download Application




Multiplicadores de Lagrange

Guía electrónica de estudio para el estudiante

Dr. M. Ranferí Gutierrez M.

matematicaurl@gmail.com

 

Introducción

En esta guía de estudio tendrá oportunidad de utilizar la capacidad que tiene Maple para generar gráficos en 3D y poderlos manipular de diversas maneras de tal forma que usted pueda adquirir una mejor comprensión geométrica de lo que significa buscar valores extremos de una función que está sujeta a una restricción.

 

Durante la guía hará uso de nuevos elementos que anteriormente en otras guías no había utilizado, como por ejemplo componentes en forma de barra móvil, los cuales le permitirán, junto a la acción de rotar y estudiar las figuras, adquirir una visión más profunda de los procesos analíticos que realiza cada vez que encuentra valores extremos de una función aplicando el método de multiplicadores de Lagrange.

 

Procure responder a cada una de las preguntas planteadas en esta guía.  Si tiene dudas consulte a su catedrático.  

Objetivos

Al finalizar de estudiar esta guía asegúrese que usted esté en capacidad de:

 

1. 

Explicar correctamente qué significa, geométricamente, buscar los valores extremos de una función cuando está sujeta a una condición de restricción.

 

2. 

Explicar la relación que existe entre el gradiente de la condición de restricción y el gradiente de la curva nivel que corresponde al punto donde se presenta un extremo de la función.

 

3. 

Interpretar geométricamente el proceso de resolución de cualquier problema aplicado cuya resolución involucre el uso del método de multiplicadores de Lagrange.

Ejemplo 1

Determine los valores extremos de la función f(x, y) = x^2+2*y^2 sobre la circunferencia x^2+y^2 = 1.

 

Solución:  En la figura de abajo puede observar la gráfica de la función f(x, y), el cilindro x^2+y^2 = 1 y la curva de intersección de ambas superficies.  Recuerde que haciendo clic sobre la figura y luego presionando el botón  puede rotar la figura.  Observe que el eje azul es el correspondiente al eje x, mientras que el eje negro es el correspondiente al eje y.  

1. 

Rote la figura de tal forma que el eje z apunte hacia usted y observe que la curva azul adquiere la apariencia de una circunferencia, tal como se esperaría ya que está completamente sobre la ecuación de restricción x^2+y^2 = 1.

 

2. 

Por simple inspección de la figura, prediga en qué puntos x, y, sobre la curva de restricción, la función f(x, y) = x^2+2*y^2 tendrá máximos y mínimos absolutos. ¿Cuál es el valor de f(x, y) en los puntos que acaba de predecir?

 

3. 

Como la curva azul de intersección está sobre la circunferencia "x^(2)+y^(2)=1, "una posibilidad de parametrización de la misma es "x(t)=cos(t),  y(t)= sin(t), 0<=t<2 Pi."  ¿Sabe cómo verificar que esa parametrización es correcta? Verifique que con esa elección de parametrización para x(t) e  y(t), entonces "z(t)=1+sin^(2)(t)."

 

4. 

Suponga que hubiera empleado como parametrización x(t) = sin(t), y(t) = cos(t), 0 <= t and t < 2*Pi. ¿Sería esa parametrización adecuada? Verifique que con esta nueva elección de parametrización para x(t) e  y(t), entonces "z(t)=1+cos^(2)(t)."

 

Abajo puede utilizar la barra deslizante vertical que aparece a la derecha del gráfico para desplazar planos de la forma z = c y obtener las distintas curvas de nivel. Rote la figura para observar desde distintos ángulos lo que sucede cuando z = 1 y z = 2.

 

5. 

Rote la figura y observe detenidamente cómo se relacionan las curvas de nivel (curva azul) y la curva de intersección (la curva roja), especialmente en los casos z = 1.0 y z = 2.0.  Para estos dos últimos casos, rote la figura de tal forma que el eje z apunte perpendicularmente hacia usted. Compare sus observaciones con el mapa de curvas de nivel que se muestra abajo : Sugerencia: Haga clic sobre la figura de arriba, y esto activará una barra de herramientas como el que se indica a continuación:  Ajuste los valores de los ángulos a los indicados en la imagen anterior con lo que podrá realizar mejor sus comparaciones.

 

 

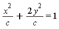
6. 

Verifique que la curva de nivel z = c de f(x, y) = x^2+2*y^2  tiene como ecuación x^2/c+2*y^2/c = 1, y por tanto, un conjunto posible de parametrizaciones es "x(t)=sqrt(c)cos(t),  y(t)=sqrt(c/(2))sin(t),  z=c,  0<=t<2 Pi."  ¿Cuál hubiera sido el conjunto completo de parametrizaciones para la curva de nivel z = c si hubiera escogido x(t) = sqrt(c)*sin(t)?

 

7. 

De acuerdo al método de Lagrange, g(x, y) = x^2+y^2-1 and x^2+y^2-1 = 0. Calcule Nabla(g) y Nabla(f).  Calcule y dibuje los gradientes anteriores en los puntos 0, 1, 0, -1, 1, 0, -1, 0. ¿Recuerda su predicción del numeral 2? ¿Se cumple, en los puntos críticos, que Nabla(f) = lambda*Nabla(g) ?

Abra esta pestaña para verificar sus resultados de cálculos de gradientes en puntos críticos

a*Nabla(f(0, 1)) = `<,>`(0, 4), Nabla(g(0, 1)) = `<,>`(0, 2), lambda = 2.*b*Nabla(f(0, -1)) and 2.*b*Nabla(f(0, -1)) = `<,>`(0, -4), Nabla(g(0, -1)) = `<,>`(0, -2), lambda = 2.*c*Nabla(f(1, 0)) and 2.*c*Nabla(f(1, 0)) = `<,>`(2, 0), Nabla(g(1, 0)) = `<,>`(2, 0), lambda = 1.*d*Nabla(f(-1, 0)) and 1.*d*Nabla(f(-1, 0)) = `<,>`(-2, 0), Nabla(g(-1, 0)) = `<,>`(-2, 0), lambda = 1.

 

Observe que al aplicar el método de Lagrange, debe resolver el sistema de ecuaciones

``

2*x = 2*`x&lambda;`

(3.1.1)

``

4*y = 2*`y&lambda;`

(3.1.2)

````

x^2+y^2 = 1

(3.1.3)

 

donde usted puede verificar que los valores que puede adquirir el multiplicador de Lagrange λ son 1 y 2, respectivamente.

 

8. 

Aplique el método de multiplicadores de Lagrange y muestre que el valor máximo absoluto de f(x, y) sobre la circunferencia es f(0, `&+-`(1)) = 2, mientras que el valor mínimo es f(`&+-`(1), 0) = 1.

Ejemplo 2

Determine los valores extremos de f(x, y) = xy sobre la elipse (1/8)*x^2+(1/2)*y^2 = 1.

 

Solución: En la figura de abajo se muestra la gráfica de la función f(x, y) -en color amarillo-, el cilindro elíptico (1/8)*x^2+(1/2)*y^2 = 1 (color naranja), la curva de intersección de ambas superficies (la curva en color azul) y algunas curvas de nivel de f(x, y) (curvas rojas).  Rote la figura para estudiarla y localizar, por inspección, los valores extremos de la función f(x, y) = xy sobre la elipse (1/8)*x^2+(1/2)*y^2 = 1.  Observe cuidadosamente las cuatro curvas de nivel que son tangentes al cilindro elíptico (la restricción) y su relación con la posición de los extremos relativos de f(x, y).  

 

Note que se ha utilizado un sistema de coordenadas tipo "caja".

 

Abajo puede observar una figura similar a la de arriba, excepto que ahora se han quitado la superficie f(x, y) y el cilindro elíptico.

 

 

Rote la figura de arriba de tal forma que el eje z apunte directamente hacia usted  (Sugerencia:  Utilice )  Rote ahora la figura y note nuevamente la posición de los extremos relativos y su relación con las curvas de nivel con las que la elipse es tangente en la figura.  ¿Cómo puede, a partir de la información de la figura de arriba, determinar el valor de f(x, y) para las curvas de nivel que son tangentes a la elipse de restricción?  Sugerencia: Fije las condiciones .  Para la curva de nivel en la posición superior izquierda que es tangente a la elipse, note que  ella corta al eje vertical en el punto (x, y) = (4, .5) ¿Cuánto vale f(4, .5)?  Repita el procedimiento para las otras tres curvas de nivel tangente a la elipse y verifique su resultado rotando la figura de arriba para observar el valor de f(x, y) en esos puntos.

 

Utilice el método de multiplicadores de Lagrange para demostrar analíticamente que los valores extremos absolutos de f(x, y) son 2y -2, y que ocurren en los puntos `&+-`(2), 1 y `&+-`(2), -1 respectivamente.  

 

Nota: Cuando resuelva el problema, encontrará que una solución corresponde al punto 0, 0; sin embargo, deberá descartarla.  ¿Por qué?

 

En la figura de abajo mueva la barra deslizante que se encuentra a la figura de la derecha y estudie detenidamente el comportamiento, especialmente en los casos z = -2.0 y z = 2.0.

 

NULL

 

 

Finalmente, aunque no es necesario hacerlo al aplicar el método de multiplicadores de Lagrange, dibuje (utilizando una escala adecuada, como la que se muestra abajo) las curvas de nivel correspondientes a f(x, y) = `&+-`(2), y los vectores Nabla(f(`&+-`(2), 1)), Nabla(f(`&+-`(2), -1)), Nabla(g(`&+-`(2), 1)), Nabla(g(`&+-`(2), -1)).  ¿Obtuvo lo indicado por el método de multiplicadores de Lagrange?  Vea la respuesta, pero únicamente después que usted intentó hacerlo por su propia cuenta.

 

Solución

Figura de apoyo para ejemplo 3 de la sección 13.10

Problemas aplicados propuestos

Créditos de figuras

NULLLas figuras estáticas de la presente guía pertenecen al libro "Calculus.  Early Transcedentals", 6a. Edición., por James Stewart.

``