Application Center - Maplesoft

App Preview:

Analytical Magnetic Field Modeling of Slotless Permanent Magnet Synchronous Motors

You can switch back to the summary page by clicking here.

Learn about Maple
Download Application




 

Analytical Magnetic Field Modeling of Slotless Permanent Magnet Synchronous Motors

 

Dr. Kamel Boughrara
Centre universitaire de Khemis Miliana
Algeria
boughrarakamel@yahoo.fr

 

In this paper an analytical model for predicting the open-circuit magnetic field distribution in the air gap of iron-cored internal rotor with radial magnetization of surface mounted magnet and a slotless stator is presented. The model is extended to the prediction of the armature reaction field, back-emf and instantaneous torque produced by the 3-phase stator windings with fractional or integer slot per pole and per phase of iron-cored internal rotor. Analytical model can be adapted also for any type of windings. The results are in closed forms and provide a basis for comparative studies between existing permanent magnet (PM) machines and searching for new PM machines topologies. Predicted armature reaction field distribution, back-emf and instantaneous torque can be validated by comparing with corresponding finite element calculations.

 

Index Terms—Analytical modeling, permanent magnet motors, armature reaction.

 

1. INTRODUCTION

 

ANALYTICAL modeling of slotless permanent magnet motors is studied by many authors. The model is based on the solution of Laplace and Poisson equation which are issued from Maxwell equations.

In this paper, we develop an analytical model for calculating magnetic field of slotless permanent magnet motors due to radial permanent magnet and armature reaction in the case of internal iron-cored rotor.

 

 

2. MAXWELL EQUATIONS

In 2 dimensions polar coordinates, the vector potential in the permanent magnet synchronous motor has one component in z direction and satisfy Div(B) = 0.

(2.1)

The vector potential A and J have one component in z direction.

(2.2)

(2.3)

One equation of Maxwell:

 

(2.4)

The studied machine has two source of magnetic field, permanent magnet and stator current.

 

(2.5)

Magnetic material is represented by the equation below where permanent magnet is also represented.

(2.6)

The second equation of Maxwell:


(2.7)

(2.8)



(2.9)

When solving above Poisson equation, theorem of superposition and separation of variables are applied to take into account separatly the two sources of current: permanent magnet and stator current.

3. ANALYTICAL MODEL FOR FLUX DENSITY DUE TO PERMANENT MAGNET

3.1. Different Type of Magnetization of Permanent Magnet

Different type of magnetization of permanent magnet exists, radial, parallel, Quasi-Halbach and Halbach array. All of these magnetizations can be constituted by one bloc or segmented magnets.

In this study, we consider only the radial magnetization.

3.1.1. Radial permanent magnet


(3.1.1.1)



(3.1.1.2)

(3.1.1.3)

(3.1.1.4)

(3.1.1.5)


3.2. Vector potential and flux density du to permanent magnet

 

Fig. 1: Model of permanent magnet machine

 

The analytical model shown in Fig. 1 is divided into two annular regions, in which region II is magnet, region I is air-gap. In Fig. 1 and for internal rotor machines, Rs, Rm, Rr are

the outer bore radius, the outer and inner radii of the magnet, respectively. In order to obtain an analytical solution for the field distribution produced in a multipole machine, the following assumptions are made [1].

1. The magnet is homogeneous and isotropic.

2. The effect of finite axial length is neglected.

3. The back iron is infinitely permeable

4. Slotless stator is considered.

 

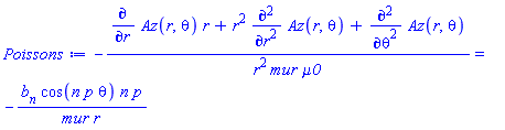
When calculating only vector potential du to radial magnet (Fig. 1) where Mt(theta) = 0 and Jz(r,theta) = 0, Poisson equation is reduced to:



(3.2.1)

This equation is valid on the permanent magnet region where permanent magnet exists.

The second member of Poisson equation above is constituated by two terms in sin(n*p*theta) and cos(n*p*theta). Two particular solutions are found.


(3.2.2)



(3.2.3)



(3.2.4)

(3.2.5)


(3.2.6)

(3.2.7)

(3.2.8)

(3.2.9)


(3.2.10)

(3.2.11)

(3.2.12)



(3.2.13)

In permanent magnet region, the general solution is given by:



(3.2.14)

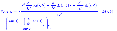
In the air-gap region which is contituated by air-space, the Poisson equation is reduced to Laplace equation:


(3.2.15)

(3.2.16)


(3.2.17)

(3.2.18)

(3.2.19)

(3.2.20)


(3.2.21)

(3.2.22)

(3.2.23)


(3.2.24)

The general solution of potential vector in the air-gap is given by:



(3.2.25)

The radial component of flux density in permanent magnet region is:


(3.2.26)

The tangential component of flux density in permanent magnet region is:


(3.2.27)

The radial component of flux density in the air-gap region is:


(3.2.28)

The tangential component of flux density in the air-gap region is:


(3.2.29)

In the air-gap, the radial magnetic excitation H is given by:


(3.2.30)

In the air-gap, the tangential magnetic excitation H is given by:


(3.2.31)

In the permanent magnet region, the radial and tangential magnetic excitation H take into account the radial and tangential magnetization of permanent magnet as:



(3.2.32)


(3.2.33)

The first boundary condition is:


(3.2.34)

This above boundary condition is du to the ferromagnetic material of stator where relative permeability is considered infinity.

The interface condition between magnet and air-gap regions in term of radial flux density is given by:


(3.2.35)

The interface condition between magnet and air-gap regions in term of tangential magnetic excitation is given by:


(3.2.36)

 

Below boundary condition is du to the ferromagnetic material of rotor where relative permeability is considered infinity.


(3.2.37)

From eq1, we can write the two equations below:

(3.2.38)

(3.2.39)

From eq2, we have:


(3.2.40)


(3.2.41)

From eq3, we have:


(3.2.42)


(3.2.43)

From eq4, we have:

(3.2.44)

(3.2.45)

We have 8 equations with 8 variables. The solution is given by:


In this study, where we are interested to the electromagnetic torque and back E.M.F. in the air-gap, the vector potential in the air-gap is given by:



(3.2.46)

3.3. Flux and E.m.f. and Electromagnetic Torque


(3.3.1)

(3.3.2)


(3.3.3)





3.4. Results

Vector potential at the middle of air-gap:

Radial flux density at the middle of air-gap:

 


Tangential flux density at the middle of air-gap:


Back E.M.F. of phase a:

 

 

Current in phase a:

 

Electromagnetic torque:


4. ANALYTICAL MODEL FOR FLUX DENSITY DUE TO STATOR CURRENT   

Fig. 2: Model of permanent magnet machine

 

In a similar manner to the prediction of the open-circuit magnetic field described above, the two-dimensional armature reaction field distribution is obtained for slotless PM machine with iron-cored internal rotor assuming a smooth air gap in polar coordinates and recoil permeability of the permanent magnets to be unity. A multiple pole case is analyzed in this paper as above [1]; the case with p = 1 can be studied separately in the same way.

The current sheet is distributed such that the current density is uniform along an arc at r = Rs whose length is equal to the slot opening.

 




the current sheet density for one phase is given by:

(4.1)

In the magnetic air-gap (Fig. 2), the Laplace equation to be solved is:


(4.2)

By applying the method of separation of variables, the general solution is given by:

(4.3)

(4.4)

(4.5)

(4.6)

(4.7)

(4.8)

Two boundary conditions are applied to determine constants _C1 and _C2:

(4.9)

(4.10)

(4.11)

(4.12)

(4.13)


(4.14)

 

To determine flux density created by the three phases current, the entire winding must be stated as [2] :


(4.15)


(4.16)


(4.17)


(4.18)

(4.19)


(4.20)

(4.21)

(4.22)


(4.23)


(4.24)


(4.25)


(4.26)



(4.27)



(4.28)



(4.29)


(4.30)


(4.31)



(4.32)



(4.33)



(4.34)


4.1. Results

Radial flux density created by three phases current is given by:

Tangential flux density created by the three phases current is given by:

5. CONCLUSION

The analytical model in polar coordinate and using vector potential to analyze open circuit magnetic field and armature reaction field in slotless PM machine with internal iron-cored rotor is presented. With given flux density distribution created by magnets alone, back-emf and electromagnetic torque are determined for 120° rectangular current. Results issued from analytical calculation can be compared for validation to those obtained from finite element method.

With the developed model, expressions of flux density due to radial magnet and armature reaction are given. The expression given in this study can be used in an analytical optimizer to determine the effect on magnetic field of different geometric parameters with any type of magnet magnetization for any slotless PM motors.   

6. REFERENCES

[1]           K. Boughrara, “Analytical Complete Model for Magnetic Field Analysis of Any Slotless Surface Mounted Permanent Magnet Motor”.

 

[2]           D. Zarko, D. Ban and T. A. Lipo, “Analytical Solution for Electromagnetic Torque in Surface Permanent-Magnet Motors Using Conformal Mapping,” IEEE Trans. Magnetics, vol.45, no.7, 2009,   pp.2943-2954.

 

 

All worksheets must contain the following disclaimer:


Legal Notice: © Maplesoft, a division of Waterloo Maple Inc. 2009. Maplesoft and Maple are trademarks of Waterloo Maple Inc. Neither Maplesoft nor the authors are responsible for any errors contained within and are not liable for any damages resulting from the use of this material.  This application is intended for non-commercial, non-profit use only. Contact the authors for permission if you wish to use this application in for-profit activities.