Countercurrent Double-Pipe
Heat Exchanger
Introduction
This application models the temperature dynamics of a countercurrent double pipe heat exchanger. Three partial differential equations describe
heat balances across the tube- and shell-side liquids,
and a heat balance across the tube-wall (taking into account the heat flow from the shell- and tube-side liquids, and conduction along the length of the tube)
The equations are solved numerically, and the temperature profiles are plotted. The heat exchanger is assumed to be perfectly insulated. Densities, specific heat capacities, heat transfer coefficients, and thermal conductivities are assumed to be constant.
Parameters
Specific heat capacities for the tube-side fluid, shell-side fluid and the tube wall
Densities
Flowrates
Heat transfer coefficients
Thermal conductivity of tube-wall
Length of heat exchanger
Internal and external diameter of inner tube, and internal diameter of outer tube.
Partial Differential Equations Derived From Energy Balances
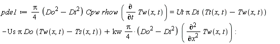
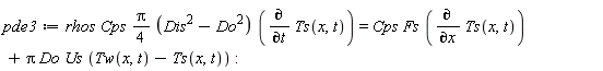
Tube wall heat balance
Tube-side heat balance
Shell-side heat balance
Initial and boundary conditions
Solution and Results