Advanced Physics with Maple
Overview
Maple 15 allows you to study and tackle a large range of problems in computational physics, including problems in classical mechanics, quantum physics, and relativistic field theory. It also provides material of use in a first course in field theories at the graduate level.
The Physics package implements computational representations and related operations for most of the objects used in computational physics, including a representation for the spacetime metrics , the Kronecker and Levi-Civita symmetric and antisymmetric symbols, the Pauli and Dirac matrices, the differentiation operators and d'Alembertian ?, an n-dimensional Dirac function , quantum operators, commutators and commutator algebras and many more.
• The Physics package extends the standard computational domain with operations over anticommutative and noncommutative variables and functions and related product and power operations, appropriate for quantum physics formulations; tensor indices of spacetime, spinor and/or gauge types, functional differentiation, differentiation with respect to anticommutative variables, differentiation and simplification of tensorial expressions using the Einstein summation convention for repeated indices. In this way, you can take advantage of the computational power of the Maple environment without having to change the flexible notation used when computing with paper and pencil.
• The extension of the computational domain includes the Vectors subpackage, to perform standard abstract vector calculus. The package includes representations for non-projected 3-D vectors, inert and active representations for the non-projected differential operators nabla, gradient, divergent, curl and the Laplacian, as well as algebraic (non-matricial) representations for projected 3-D vectors in the Cartesian, cylindrical, and spherical vector basis. It is then possible to compute using coordinate-free vectorial formulations, exploring the coordinate-free properties of the vectors and vectorial operations involved, without specifying the vector basis until that is desired, and to input /work with vectorial expressions involving both non-projected and projected vectors using essentially the same notation found in textbooks that you use when computing by hand.
• All the conventions for a given computation can be easily set using a compact and versatile interactive assistant. In order to perform this extension of the computational domain, a set of conventions for distinguishing between commutative, anticommutative and noncommutative variables, 3-D vectors, tensors, etc. are established. An advanced default setup of conventions is loaded when you load the Physics package. You can change these conventions using the Setup assistant.
• Textbook mathematical notation: Anticommutative and noncommutative variables are displayed in different colors, non-projected vectors and unit vectors are respectively displayed with an arrow and a hat on top, the vectorial differential operators Nabla and Laplacian with V and ?, Bras<ψJand KetsJψ> are displayed as in textbooks, as are most of the other Physics commands/operations.
• Extensive documentation with examples for each Physics command, as well as examples illustrating the use of the package to tackle problems in analytical Geometry, mechanics, electrodynamics and quantum mechanics, are provided.
• A complete set of computational tools for advanced general relativity is provided within the Differential Geometry package. With Maple 15, seventeen new commands have been introduced in this area.
• Maple is the leading system in terms of computing closed-form solutions to ODEs and PDEs, relevant in many areas of physics. Maple 15 further enhances this area with a large number of new solving algorithms.
• Special functions, used to represent solutions in computational physics, are another strong area for Maple, which has seen further improvements in Maple 15. In particular, a new class of special functions, the Bell polynomials, have been introduced with this latest release.
Some examples of computations in Physics
Mechanics: Lagrangian for a pendulum
Problem
Determine the Lagrangian of a plane pendulum having a mass m in its extremity and whose suspension point:
a) moves uniformly over a vertical circumference with a constant frequency
b) oscillates horizontally on the plane of the pendulum according to .
Solution
a) A figure for this part of the problem is
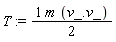
The Lagrangian is defined as
where T and U are the kinetic and potential energy of the system, respectively, in this case constituted by a single point of mass m. The potential energy U is the gravitational energy
where g is the gravitational constant and we choose the y-axis along the vertical, pointing downwards, so that the gravitational force . The kinetic energy is:
To compute this velocity, the position vector of the suspension point of the pendulum,
must be determined. Choosing the x axis horizontally and the origin of the reference system at the center of the circle (see figure above), the x and y coordinates are given by:
This expression contains products of trigonometric functions, so one simplification consists of combining these products.
For the gravitational energy, expressed in terms of the parametric equations of the point of mass m, we have
So the requested Lagrangian is
Taking into account that the Lagrangian of a system is defined up to a total derivative with respect to t, we can eliminate the two terms that can be rewritten as total derivatives; these are and so
__________________________________________________________
b) The steps are the same as in part a:
Now, regarding part a), the only change is in the expression of the y coordinate, which for this part b) is:
So the parametric equations in this case are
The terms in L that can be expressed as total derivatives can be discarded, so
So the Lagrangian is
Electrodynamics: Magnetic field of a rotating charged disk
A disk of radius a, uniformly charged with a surface density of charge rotates around its axis with a constant angular velocity , where is the cylindrical coordinate (the polar angle). Calculate the magnetic field on the axis of the disk.
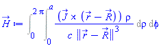
The expression of the magnetic field due to a current of charges is
where is the position vector of any point in space, is the position vector of any point where the current exists, in this case a disk of radius a, and is the surface element. represents the integration domain and the above expression is a surface integral.
The expression for can be entered as a double integral in cylindrical coordinates (); the element of the surface of a disk in these coordinates is , with varying from 0 to a and from 0 to .
We choose the system of references as in the previous problem, with the origin in the center of the disk, and the z axis oriented perpendicular to the disk. So again the position vector of a point over the z axis is
and the position vector of a point of the disk is
By definition, the current at a point is equal to the value of the density of charge times the velocity of this charge; that is,
Finally, the velocity of a point of the disk can be computed as the derivative of with respect to t (the time), and in doing so we need to take into account that the unit vector and the disk is rotating.
This derivative of can be computed in two different ways. One way is to make explicit this dependence of on by changing the basis onto which is projected from the cylindrical to the Cartesian basis.
Now make depend on t and differentiate.
Introduce , and remove the explicit dependence of with respect to t to arrive at an expression for .
Alternatively (simpler), knowing that and so depends on the time only through , you can compute = For this purpose, use VectorDiff , to automatically take into account this dependence of on .
At this point, we have all the quantities defined in the system of coordinates chosen and in terms of the constant angular velocity, and the radius of the disk, a. The expression of the magnetic field looks like
However, to perform the integrals, we still need to express as a function of , one of the integration variables. For that purpose, it suffices to change the vectors involved ( and ) to the Cartesian basis.
With this change, looks like
and so the integrals can be performed, leading to the desired value of the magnetic field on the axis of the rotating disk.
Quantum Mechanics: Angular momentum: and
1. Consider the angular momentum operators , , , and in quantum mechanics. We want to verify that the Commutator of with any of the components of is zero (see, for instance, Chapter VI of Cohen-Tannoudji). For that purpose, a 3-D vector-quantum-operator representation of is constructed with the Vectors package ( vectorpostfix identifier is '_'), and , and as well as and and their components are set as quantum operators.
To set the components and as quantum operators, it suffices to set and .
So for and for itself in terms of the vector operators and , you have
where
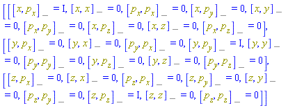
The Commutator rules for the components of are a consequence of the Commutator rules for the components of and . These rules can be set by using the Setup command. A convenient alternative for situations such as this, where there are many commutators to be entered, is to work with indexed (tensor) notation (see problem 2 below) or create an indexing procedure for a Matrix . For example,
The commutators are then generated by the Matrix constructor and the whole Matrix can be passed to Setup .
The components of are:
To verify that commutes with each of , and , an expansion of the Commutator is not sufficient.
To verify that the above is actually equal to 0, these commutator rules:
must be taken into account. For that purpose, use Simplify .
______________________________________________________________
2. Using tensor notation to represent the quantum operator components of , show that (see the exercises of Chap VI in Cohen-Tannoudji).
For this purpose, set the dimension of spacetime to 3 and its signature to Euclidean, so that "spacetime" tensors are actually 3-D space tensors. To follow textbook notation, use also lowercaselatin tensor indices (see Setup ).
To set Commutator rules for r and p using tensor notation and have Simplify tackling their products using Einstein's summation convention for repeated indices, Define r and p as tensors of this 3-D Euclidean space.
Now set the related Commutator rules for the algebra in tensor notation; in doing so, erase previous settings for quantum operators and algebra rules (by using the redo option of Setup ; this erasure of previous definitions is not necessary in this example, but it is sometimes desired).
Note in the above how compact the algebra rules are when written in tensor notation: you have only three instead of fifteen Commutator rules. Verify how these algebra rules work:
Enter now , and for the in terms of and . In doing so, use the default abbreviation ep_ for the LeviCivita pseudo-tensor.
At this point, is given by
You can either expand this rule, to see the actual value, then Simplify it,
or you can Simplify the rule without expanding first.
Legal Notice: © Maplesoft, a division of Waterloo Maple Inc. 2011. Maplesoft and Maple are trademarks of Waterloo Maple Inc. This application may contain errors and Maplesoft is not liable for any damages resulting from the use of this material. This application is intended for non-commercial, non-profit use only. Contact Maplesoft for permission if you wish to use this application in for-profit activities.